Bài 2 trang 40 Toán 11 Tập 1 Cánh diều
Giải Toán 11 Bài 4: Phương trình lượng giác cơ bản - Cánh diều
Bài 2 trang 40 Toán 11 Tập 1: Giải phương trình:
a) sin = sinx;
b) sin2x = cos3x;
c) .
Lời giải:
a) sin = sinx
Vậy phương trình đã cho có các nghiệm là x = + k2π và với k ∈ ℤ.
b) sin2x = cos3x
cos = cos3x
cos3x = cos
Vậy phương trình đã cho có các nghiệm là và với k ∈ ℤ.
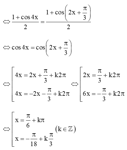
c)
Vậy phương trình đã cho có các nghiệm là x = +k và x = -+k với k ∈ ℤ.
Lời giải bài tập Toán 11 Bài 4: Phương trình lượng giác cơ bản hay, chi tiết khác:
Hoạt động 1 trang 32 Toán 11 Tập 1: Cho hai phương trình (với cùng ẩn x): x2 ‒ 3x + 2 = 0 (1) ....
Luyện tập 1 trang 32 Toán 11 Tập 1: Hai phương trình x – 1 = 0 và =0 có tương đương không? ....
Hoạt động 2 trang 33 Toán 11 Tập 1: Khẳng định 3x ‒ 6 = 0 3x = 6 đúng hay sai? ....
Luyện tập 2 trang 33 Toán 11 Tập 1: Giải phương trình: (x – 1)2 = 5x – 11 ....
Hoạt động 3 trang 33 Toán 11 Tập 1: a) Đường thẳng d: y = cắt đồ thị hàm số y = sinx ....
Luyện tập 3 trang 34 Toán 11 Tập 1: a) Giải phương trình: sin x = ....
Luyện tập 4 trang 35 Toán 11 Tập 1: Giải phương trình sin2x = sin ....
Hoạt động 4 trang 35 Toán 11 Tập 1: a) Đường thẳng d: y = cắt đồ thị hàm số y = cosx ....
Luyện tập 5 trang 36 Toán 11 Tập 1: a) Giải phương trình: cosx = - ....
Luyện tập 6 trang 37 Toán 11 Tập 1: Giải phương trình được nêu trong bài toán mở đầu ....
Luyện tập 7 trang 37 Toán 11 Tập 1: a) Giải phương trình: tanx = 1 ....
Luyện tập 8 trang 39 Toán 11 Tập 1: a) Giải phương trình: cotx = 1 ....
Các bài học để học tốt Toán 11 Bài 4: Phương trình lượng giác cơ bản:
Xem thêm lời giải bài tập Toán lớp 11 Cánh diều hay, chi tiết khác:
Xem thêm các tài liệu học tốt lớp 11 hay khác:
- Giải sgk Toán 11 Cánh diều
- Giải Chuyên đề học tập Toán 11 Cánh diều
- Giải SBT Toán 11 Cánh diều
- Giải lớp 11 Cánh diều (các môn học)
- Giải lớp 11 Kết nối tri thức (các môn học)
- Giải lớp 11 Chân trời sáng tạo (các môn học)
Tủ sách VIETJACK shopee lớp 10-11 (cả 3 bộ sách):
Đã có app VietJack trên điện thoại, giải bài tập SGK, SBT Soạn văn, Văn mẫu, Thi online, Bài giảng....miễn phí. Tải ngay ứng dụng trên Android và iOS.
Theo dõi chúng tôi miễn phí trên mạng xã hội facebook và youtube:Nếu thấy hay, hãy động viên và chia sẻ nhé! Các bình luận không phù hợp với nội quy bình luận trang web sẽ bị cấm bình luận vĩnh viễn.
- Soạn văn 11 Cánh diều (hay nhất)
- Soạn văn 11 Cánh diều (ngắn nhất)
- Giải sgk Toán 11 - Cánh diều
- Giải Tiếng Anh 11 Global Success
- Giải sgk Tiếng Anh 11 Smart World
- Giải sgk Tiếng Anh 11 Friends Global
- Giải sgk Vật Lí 11 - Cánh diều
- Giải sgk Hóa học 11 - Cánh diều
- Giải sgk Sinh học 11 - Cánh diều
- Giải sgk Lịch Sử 11 - Cánh diều
- Giải sgk Địa Lí 11 - Cánh diều
- Giải sgk Giáo dục KTPL 11 - Cánh diều
- Giải sgk Tin học 11 - Cánh diều
- Giải sgk Công nghệ 11 - Cánh diều
- Giải sgk Hoạt động trải nghiệm 11 - Cánh diều
- Giải sgk Giáo dục quốc phòng 11 - Cánh diều
- Giải sgk Âm nhạc 11 - Cánh diều


Giải bài tập SGK & SBT
Tài liệu giáo viên
Sách
Khóa học
Thi online
Hỏi đáp

