Bài 5 trang 56 Toán 11 Tập 1 Chân trời sáng tạo
Giải Toán 11 Bài 2: Cấp số cộng - Chân trời sáng tạo
Bài 5 trang 56 Toán 11 Tập 1: Tìm số hạng đầu và công sai của cấp số cộng (un), biết:
a) ;
b) ;
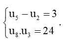
c) .
Lời giải:
a) .
Vậy cấp số cộng (un) có số hạng đầu u1 = 2 và công sai d = 10.
b)
Vậy cấp số cộng (un) có số hạng đầu u1 = – 60 và công sai d = 40.
c)
.
Vậy cấp số cộng (un) có số hạng đầu u1 = 1 và công sai d = 1 hoặc số hạng đầu u1 = – 10 và công sai d = 1.
Lời giải bài tập Toán 11 Bài 2: Cấp số cộng hay, chi tiết khác:
Các bài học để học tốt Toán 11 Bài 2: Cấp số cộng:
Xem thêm lời giải bài tập Toán lớp 11 Chân trời sáng tạo hay, chi tiết khác:
Xem thêm các tài liệu học tốt lớp 11 hay khác:
- Giải sgk Toán 11 Chân trời sáng tạo
- Giải Chuyên đề học tập Toán 11 Chân trời sáng tạo
- Giải SBT Toán 11 Chân trời sáng tạo
- Giải lớp 11 Chân trời sáng tạo (các môn học)
- Giải lớp 11 Kết nối tri thức (các môn học)
- Giải lớp 11 Cánh diều (các môn học)
Tủ sách VIETJACK shopee lớp 10-11 (cả 3 bộ sách):
Đã có app VietJack trên điện thoại, giải bài tập SGK, SBT Soạn văn, Văn mẫu, Thi online, Bài giảng....miễn phí. Tải ngay ứng dụng trên Android và iOS.
Theo dõi chúng tôi miễn phí trên mạng xã hội facebook và youtube:Nếu thấy hay, hãy động viên và chia sẻ nhé! Các bình luận không phù hợp với nội quy bình luận trang web sẽ bị cấm bình luận vĩnh viễn.
- Soạn văn 11 (hay nhất) - CTST
- Soạn văn 11 (ngắn nhất) - CTST
- Giải sgk Toán 11 - CTST
- Giải Tiếng Anh 11 Global Success
- Giải sgk Tiếng Anh 11 Smart World
- Giải sgk Tiếng Anh 11 Friends Global
- Giải sgk Vật Lí 11 - CTST
- Giải sgk Hóa học 11 - CTST
- Giải sgk Sinh học 11 - CTST
- Giải sgk Lịch Sử 11 - CTST
- Giải sgk Địa Lí 11 - CTST
- Giải sgk Giáo dục KTPL 11 - CTST
- Giải sgk Hoạt động trải nghiệm 11 - CTST
- Giải sgk Âm nhạc 11 - CTST


Giải bài tập SGK & SBT
Tài liệu giáo viên
Sách
Khóa học
Thi online
Hỏi đáp

