Tổng hợp lý thuyết Toán 11 Chương 8 Chân trời sáng tạo
Tổng hợp lý thuyết Toán 11 Chương 8: Quan hệ vuông góc trong không gian sách Chân trời sáng tạo hay nhất, chi tiết với bài tập có lời giải sẽ giúp học sinh lớp 11 nắm vững kiến thức trọng tâm Toán 11 Chương 8.
Tổng hợp lý thuyết Toán 11 Chương 8 Chân trời sáng tạo
(199k) Xem Khóa học Toán 11 CTST
Lý thuyết tổng hợp Toán 11 Chương 8
1. Góc giữa hai đường thẳng trong không gian
Định nghĩa
Góc giữa hai đường thẳng a, b trong không gian, kí hiệu (a, b), là góc giữa hai đường thẳng a' và b' cùng đi qua một điểm và lần lượt song song hoặc trùng với a và b.
Chú ý:
a) Để xác định góc giữa hai đường thẳng a, b ta có thể lấy một điểm O nằm trên một trong hai đường thẳng đó và vẽ đường thẳng song song với đường thẳng còn lại.
b) Góc giữa hai đường thẳng nhận giá trị từ 0° đến 90°.
2. Hai đường thẳng vuông góc trong không gian
Định nghĩa
Hai đường thẳng a, b được gọi là vuông góc với nhau nếu góc giữa chúng bằng 90°.
Chú ý:
a) Hai đường thẳng vuông góc có thể cắt nhau hoặc chéo nhau.
b) Cho hai đường thẳng song song, đường thẳng nào vuông góc với đường này thì cũng vuông góc với đường kia.
c) Trong không gian, khi có hai đường thẳng phân biệt a, b cùng vuông góc với một đường thẳng thứ ba c thì ta chưa kết luận được a // b như trong hình học phẳng.
3. Đường thẳng vuông góc với mặt phẳng
Định nghĩa
Đường thẳng d gọi là vuông góc với mặt phẳng nếu nó vuông góc với mọi đường thẳng a nằm trong , kí hiệu .
Định lí 1
Nếu đường thẳng d vuông góc với hai đường thẳng cắt nhau a và b cùng nằm trong mặt phẳng thì .
Định lí 2
• Có duy nhất một mặt phẳng đi qua một điểm và vuông góc với một đường thẳng cho trước.
• Có duy nhất một đường thẳng đi qua một điểm và vuông góc với một mặt phẳng cho trước.
4. Liên hệ giữa tính song song và tính vuông góc của đường thẳng và mặt phẳng
Định lí 3
a) Cho hai đường thẳng song song. Mặt phẳng nào vuông góc với đường thẳng này thì cũng vuông góc với đường thẳng kia.
b) Hai đường thẳng phân biệt cùng vuông góc với một mặt phẳng thì song song với nhau.
Định lí 4
a) Cho hai mặt phẳng song song. Đường thẳng nào vuông góc với mặt phẳng này thì cũng vuông góc với mặt phẳng kia.
b) Hai mặt phẳng phân biệt cùng vuông góc với một đường thẳng thì song song với nhau.
Định lí 5
a) Cho đường thẳng a song song với mặt phẳng . Đường thẳng nào vuông góc với thì cũng vuông góc với a.
b) Nếu đường thẳng a và mặt phẳng (không chứa a) cùng vuông góc với một đường thẳng b thì chúng song song với nhau.
5. Phép chiếu vuông góc
Định nghĩa
Cho mặt phẳng (P) và đường thẳng d vuông góc với (P). Phép chiếu song song theo phương của d lên mặt phẳng (P) được gợi là phép chiếu vuông góc lên (P).
Chú ý:
a) Phép chiếu vuông góc lên một mặt phẳng là một trường hợp đặc biệt của phép chiếu song song nên có đầy đủ các tính chất của phép chiếu song song.
b) Người ta còn dùng “phép chiếu lên (P)” thay cho “phép chiếu vuông góc lên (P)” và dùng là hình chiếu của trên (P) thay cho là hình chiếu vuông góc của trên (P).
Định lí ba đường vuông góc
Cho đường thẳng a nằm trong mặt phẳng (P) và b là đường thẳng không nằm trong (P) và không vuông góc với (P). Gọi b' là hình chiếu vuông góc của b trên (P). Khi đó a vuông góc với b khi và chi khi a vuông góc với b'.
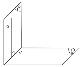
6. Góc giữa hai mặt phẳng
Định nghĩa
Góc giữa hai mặt phẳng và là góc giữa hai đường thẳng lần lượt vuông góc với và , kí hiệu .
Ta có: với (xem hình dưới).
Người ta chứng minh được góc giữa hai mặt phẳng cắt nhau bằng góc giữa hai đường thẳng lần lượt nằm trong hai mặt phẳng và vuông góc với giao tuyến của hai mặt phẳng.
Cho : với (xem hình dưới).
7. Hai mặt phẳng vuông góc
Định nghĩa
Hai mặt phẳng được gọi là vuông góc nếu góc giữa hai mặt phẳng đó là một góc vuông.
Hai mặt phẳng (P) và (Q) vuông góc được kí hiệu là .
Điều kiện để hai mặt phẳng vuông góc
Điều kiện cần và đủ để hai mặt phẳng vuông góc là mặt phẳng này chứa một đường thẳng vuông góc với mặt phẳng kia.
8. Tính chất cơ bản về hai mặt phẳng vuông góc
Định lí
Nếu hai mặt phẳng vuông góc với nhau thì bất cứ đường thằng nào nằm trong mặt phẳng này và vuông góc với giao tuyến cũng vuông góc với mặt phẳng kia.
Định lí
Nếu hai mặt phẳng cắt nhau cùng vuông góc với mặt phẳng thứ ba thì giao tuyến của chúng vuông góc với mặt phẳng thứ ba.
9. Hình lăng trụ đứng, hình hộp chữ nhật, hình lập phương
Định nghĩa
Hình lăng trụ đứng là hình lăng trụ có cạnh bên vuông góc với mặt đáy.
Hình lăng trụ đều là hình lăng trụ đứng có mặt đáy là đa giác đều.
Hình hộp đứng là hình hộp có cạnh bên vuông góc với mặt đáy.
Hình hộp chữ nhật là hình hộp đứng có mặt đáy là hình chữ nhật.
Hình lập phương là hình hộp chữ nhật có tất cả các cạnh bằng nhau.
Sử dụng quan hệ song song và vuông góc giữa đường thẳng và mặt phẳng ta chứng minh được các tính chất sau đây của các hình vừa nêu:
Tên |
Hình vẽ |
Tính chất cơ bản |
Hình lăng trụ đứng |
- Cạnh bên vuông góc với hai đáy. - Mặt bên là các hình chữ nhật. |
|
Hình lăng trụ đều |
- Hai đáy là hai đa giác đều. - Mặt bên là các hình chữ nhật. - Cạnh bên và đường nối tâm hai đáy vuông góc với hai đáy. |
|
Hình hộp đứng |
- Bốn mặt bên là hình chữ nhật. - Hai đáy là hình bình hành. |
|
Hình hộp chữ nhật |
- Sáu mặt là hình chữ nhật. - Độ dài a, b, c của ba cạnh cùng đi qua một đỉnh gọi là ba kích thước của hình hộp chữ nhật. - Độ dài đường chéo d được tính theo ba kích thước:
|
|
Hình lập phương |
- Sáu mặt là hình vuông. - Độ dài đường chéo d được tính theo độ dài cạnh a:
|
Chú ý: Lăng trụ đều có đáy tứ giác thường được gọi là lăng trụ tứ giác đều. Tương tự ta cũng có lăng trụ tam giác đều, lăng trụ lục giác đều, ...
10. Hình chóp đều. Hình chóp cụt đều
• Hình chóp đều
Định nghĩa
Hình chóp đều là hình chóp có đáy là đa giác đều và các cạnh bên bằng nhau.
Chú ý: Hình chóp đều có:
a) Các mặt bên là các tam giác cân tại đỉnh hình chóp và bằng nhau.
b) Đoạn thẳng nối từ đỉnh hình chóp đến tâm của đáy thì vuông góc với mặt đáy và gọi là đường cao của hình chóp.
c) Độ dài đường cao gọi là chiều cao của hình chóp đều.
• Hình chóp cụt đều
Định nghĩa
Phần của hình chóp đều nằm giữa đáy và một mặt phẳng song song với đáy cắt các cạnh bên của hình chóp đều được gọi là hình chóp cụt đều.
Trong hình chóp cụt đều , ta gọi:
+ Các điểm là các đỉnh.
+ Đa giác là đáy lớn, đa giác là đáy nhỏ. Đáy lớn và đáy nhỏ nằm trên hai mặt phẳng song song.
+ Cạnh của hai đa giác đáy là cạnh đáy. Các cạnh đáy tương ứng song song từng đôi một.
+ Các hình thang cân là các mặt bên.
+ Cạnh bên của mặt bên gọi là cạnh bên của hình chóp cụt đều.Hình chóp cụt đều có các cạnh bên bằng nhau, các mặt bên là những hình thang cân.
+ Đoạn thẳng nối tâm hai đáy là đường cao. Độ dài đường cao là chiều cao.
11. Khoảng cách
11.1. Khoảng cách từ một điểm đến một đường thẳng, đến một mặt phẳng
Định nghĩa
Nếu H là hình chiếu vuông góc của điểm M trên đường thẳng a thì độ dài đoạn MH được gọi là khoảng cách từ M đến đường thẳng a, kí hiệu d(M, a).
Nếu H là hình chiếu vuông góc của điểm M trên mặt phẳng (P) thì độ dài đoạn MH được gọi là khoảng cách từ M đến (P), kí hiệu d(M, (P)).
Chú ý:
Ta quy ước:
• d(M, a) = 0 khi và chỉ khi M thuộc a;
• d(M, (P)) = 0 khi và chỉ khi M thuộc (P).
Nhận xét:
a) Lấy điểm K tùy ý trên đường thẳng a, ta luôn có d(M, a) ≤ MK.
b) Lấy điểm K tùy ý trên đường thẳng (P), ta luôn có d(M, (P)) ≤ MK.
11.2. Khoảng cách giữa các đường thẳng và mặt phẳng song song, giữa hai mặt phẳng song song
Định nghĩa
Khoảng cách giữa hai đường thẳng song song a và b là khoảng cách từ một điểm bất kì trên a đến b, kí hiệu d(a, b).
Khoảng cách giữa đường thẳng a và mặt phẳng (P) song song với a là khoảng cách từ một điểm bất kì trên a đến (P), kí hiệu d(a, (P)).
Khoảng cách giữa hai mặt phẳng song song (P) và (Q) là khoảng cách một điểm bất kì trên (P) đến (Q), kí hiệu d((P), (Q)).
11.3. Khoảng cách giữa hai đường thẳng chéo nhau
Định nghĩa
Đường thẳng c vừa vuông góc vừa cắt hai đường thẳng chéo nhau a và b được gọi là đường vuông góc chung của a và b.
Nếu đường vuông góc chung của hai đường thẳng chéo nhau a và b cắt chúng lần lượt tại I và J thì đoạn IJ gọi là đoạn vuông góc chung của a và b.
Khoảng cách giữa hai đường thẳng chéo nhau là độ dài đoạn vuông góc chung của hai đường thẳng đó, kí hiệu d(a, b).
Chú ý:
a) Khoảng cách giữa hai đường thẳng chéo nhau a và b bằng khoảng cách giữa một trong hai đường đến mặt phẳng song song với nó và chứa đường còn lại.
b) Khoảng cách giữa hai đường thẳng chéo nhau bằng khoảng cách giữa hai mặt phẳng song song lần lượt chứa hai đường thẳng đó.
12. Công thức tính thể tích của khối chóp, khối lăng trụ, khối hộp
Chúng ta đã biết công thức tính thể tích của một số khối đơn giản.
Thể tích một khối là số đo phần không gian mà nó chiếm chỗ. Ta công nhận hình lập phương có cạnh 1 (đơn vị độ dài) có thể tích là 1 (đơn vị thể tích).
• Thể tích khối hộp chữ nhật
Thể tích khối hộp chữ nhật bằng tích ba kích thước:
V = abc.
• Thể tích khối chóp
Khoảng cách h từ đỉnh đến mặt phẳng đáy của một hình chóp gọi là chiều cao của hình chóp đó.
Thể tích khối chóp bằng một phần ba diện tích đáy nhân với chiều cao:
• Thể tích khối chóp cụt đều
Để tìm thể tích khối chóp cụt đều, ta sử dụng công thức sau đây:
với h là chiều cao và S, S' là diện tích hai đáy.
• Thể tích khối lăng trụ
Khoảng cách h giữa hai mặt phẳng đáy của hình lăng trụ là chiều cao của hình lăng trụ đó.
Thể tích khối lăng trụ bằng tích diện tích đáy và chiều cao:
V = Sh.
Chú ý: Ta gọi khối lăng trụ có cạnh bên vuông góc với đáy là khối lăng trụ đứng.
Chiều dài cạnh bên a của khối lăng trụ đứng bằng chiều cao h và ta có công thức:
V = Sa.
13. Góc giữa đường thẳng và mặt phẳng
Định nghĩa
Nếu đường thẳng a vuông góc với mặt phẳng (P) thì ta nói góc giữa đường thẳng a với (P) bằng 90°.
Nếu đường thẳng a không vuông góc với (P) thì góc giữa a và hình chiếu a' của a trên (P) gọi là góc giữa đường thẳng a và (P).
Góc giữa đường thẳng a và mặt phẳng (P) được kí hiệu là (a, (P)).
Chú ý:
a) Góc α giữa đường thẳng và mặt phẳng luôn thoả mãn .
b) Nếu đường thẳng a nằm trong (P) hoặc a song song với (P) thì .
14. Góc nhị diện và góc phẳng nhị diện
• Góc nhị diện
Định nghĩa
Cho hai nửa mặt phẳng và có chung bờ là đường thẳng d. Hình tạo bởi và d được gọi là góc nhị diện tạo bởi và , kí hiệu [P1,d,Q1].
Hai nửa mặt phẳng gọi là hai mặt của nhị diện và d gọi là cạnh của nhị diện.
Chú ý:
a) Hai mặt phẳng cắt nhau theo giao tuyến d tạo thành bốn góc nhị diện.
b) Góc nhị diện [P1,d,Q1] còn được kí hiệu là [M, d, N] với M, N tương ứng thuộc hai nửa mặt phẳng .
• Góc phẳng nhị diện
Định nghĩa
Góc phẳng nhị diện của góc nhị diện là góc có đỉnh nằm trên cạnh của nhị diện, có hai cạnh lần lượt nằm trên hai mặt của nhị diện và vuông góc với cạnh của nhị diện.
Chú ý:
a) Đối với một góc nhị diện, các góc phẳng nhị diện đều bằng nhau.
b) Nếu mặt phẳng (R) vuông góc với cạnh d của góc nhị diện và cắt hai mặt của góc nhị diện theo hai nửa đường thẳng Ou và Ov thì là góc phẳng nhị diện của góc nhị diện tạo bởi .
c) Góc nhị diện có góc phẳng nhị diện là góc vuông được gọi là góc nhị diện vuông.
d) Số đo góc phẳng nhị diện được gọi là số đo góc nhị diện.
e) Số đo góc nhị diện nhận giá trị từ 0° đến 180°.
Bài tập tổng hợp Toán 11 Chương 8
Bài 1. Cho tứ diện ABCD có tất cả các cạnh bằng nhau. Gọi M, N, K lần lượt là trung điểm của các cạnh AC, BC và AB. Tính góc giữa đường thẳng MN và BD; góc giữa đường thẳng KN và MD.
Hướng dẫn giải
Vì MN // AB nên góc giữa hai đường thẳng MN và BD bằng góc giữa hai đường thẳng AB và BD, mà tam giác ABD là tam giác đều nên góc giữa hai đường thẳng AB và BD bằng .
Do đó .
Vì NK // AC nên góc giữa hai đường thẳng NK và MD bằng góc giữa hai đường thẳng AC và MD, mà tam giác ACD là tam giác đều, lại có M là trung điểm của AC nên MD là đường cao của tam giác ACD, do đó góc giữa hai đường thẳng AC và MD bằng 90°.
Do đó .
Bài 2. Cho tứ diện ABCD, gọi M và N lần lượt là trung điểm của AC và BD. Biết và CD = 2a. Chứng minh rằng đường thẳng AB vuông góc với đường thẳng CD.
Hướng dẫn giải
Lấy K là trung điểm của cạnh BC, ta có: NK và MK lần lượt là đường trung bình của tam giác BCD và tam giác ABC nên NK = a và .
Do đó, suy ra tam giác MNK vuông tại K, hay mà MK // AB và NK // CD nên , hay .
Bài 3. Cho hình lăng trụ có tất cả các cạnh bằng nhau. Chứng minh rằng .
Hướng dẫn giải
Vì là hình thoi (do các cạnh bằng nhau) nên .
Do và nên là hình bình hành, suy ra .
Từ đó ta có .
Bài 4. Một chiếc thang có dạng hình thang cân dài 6 m, hai chân thang cách nhau 80 cm, hai ngọn thang cách nhau 60 cm. Thang được dựa vào bờ tường như hình. Tính góc tạo giữa đường thẳng chân tường và cạnh cột thang (tính gần đúng theo đơn vị độ, làm tròn kết quả đến chữ số thập phân thứ hai).
Hướng dẫn giải
Gọi A, B là hai điểm tại hai vị trí chân thang và C, D là hai điểm tại hai vị trí ngọn thang, EF là đường chân tường.
Ta có EF // AB nên .
Kẻ CH vuông góc với AB tại H, khi đó
Tam giác ACH vuông tại H nên .
Suy ra .
Vậy góc tạo giữa đường thẳng chân tường và cạnh cột thang bằng khoảng .
Bài 5. Cho hình chóp S.ABCD, đáy ABCD là hình vuông có tâm O và SA = SB = SC = SD.
a) Xác định hình chiếu vuông góc của S trên mặt phẳng (ABCD).
b) Xác định hình chiếu vuông góc của đường thẳng SA trên mặt phẳng (ABCD).
c) Chứng minh BD ⊥ SA.
d) Tìm hình chiếu vuông góc của tam giác SOB trên mặt phẳng (ABCD).
Hướng dẫn giải
a) Vì ∆SBD, ∆SAC cân tại S nên ta có .
Suy ra O là hình chiếu vuông góc của S trên mặt phẳng (ABCD).
b) Ta có hình chiếu vuông góc của đường thẳng SA trên (ABCD) là OA.
c) Ta có hình chiếu vuông góc của SA trên (ABCD) là OA, mặt khác ta có OA ⊥ BD.
Theo định lí ba đường vuông góc ta suy ra BD ⊥ SA.
d) Hình chiếu vuông góc của S trên (ABCD) là điểm O.
Hình chiếu vuông góc của các điểm O và B trên (ABCD) lần lượt là điểm O và B.
Vậy hình chiếu vuông góc của tam giác SOB trên mặt phẳng (ABCD) là đường thẳng OB.
Bài 6. Cho tứ diện ABCD có ABC và BCD là các tam giác cân tại A và D. Gọi I là trung điểm của BC.
a) Chứng minh rằng .
b) Kẻ AH là đường cao của tam giác ADI. Chứng minh rằng .
Hướng dẫn giải
a) Tam giác ABC cân tại A và I là trung điểm của BC nên .(1)
Tam giác DCB cân tại D và I là trung điểm của BC nên .(2)
Từ (1) và (2) suy ra , suy ra .
b) Ta có và (vì , ), suy ra .
Bài 7. Cho tứ diện ABCD có là tam giác cân tại A. Gọi M là trung điểm của BC. Vẽ tại H.
a) Chứng minh rằng .
b) Gọi G, K lần lượt là trọng tâm của tam giác ABC và DBC. Chứng minh rằng .
Hướng dẫn giải
a) Ta có , suy ra , suy ra .
Ta lại có , suy ra .
b) Ta có , suy ra GK // AD.
Ta lại có , suy ra .
Bài 8. Cho hình lăng trụ tam giác có AA' vuông góc với mặt phẳng (ABC) và đáy là tam giác ABC vuông tại B. Chứng minh rằng:
a) ;
b) .
Hướng dẫn giải
a) Vì và nên
b) Vì nên .
Mà BC // B'C', suy ra
Bài 9. Cho hình chóp S.ABCD có đáy ABCD là hình thoi tâm O, cạnh bằng a, góc BAD bằng 60°. Kẻ OH vuông góc với SC tại H. Biết và . Chứng minh rằng:
a) ;
b) ;
c) .
Hướng dẫn giải
a) Ta có nên mà , do đó .
Vì mặt phẳng (SBD) chứa BD nên .
b) Ta có nên mà , do đó .
Vì mặt phẳng (SBC) chứa SC nên .
c) Ta có: .
Vì ∆CHO ∽ ∆CAS nên , suy ra .
Do đó, tam giác BDH vuông tại H, suy ra .
Ta lại có nên .
Bài 10. Cho hình chóp S.ABC có đáy là tam giác ABC vuông cân tại A và AB = a, biết . Tính góc giữa mặt phẳng (ABC) và mặt phẳng (SBC).
Hướng dẫn giải
Gọi M là trung điểm của cạnh BC, ta có: nên góc giữa hai mặt phẳng (ABC) và (SBC) bằng góc giữa hai đường thẳng AM và SM.
Ta có nên . Xét tam giác SAM vuông tại A, có:
, suy ra , hay .
Vậy góc giữa hai mặt phẳng (ABC) và (SBC) bằng 60°.
Bài 11. Cho hình chóp cụt tứ giác đều có đáy lớn ABCD có cạnh bằng 2a, đáy nhỏ có cạnh bằng a và cạnh bên 2a. Tính đường cao của hình chóp cụt và đường cao của mặt bên.
Hướng dẫn giải
Gọi O và O' lần lượt là tâm của hai đáy và H là hình chiếu của C' trên AC.
Trong hình thang vuông , vẽ đường cao .
Ta có: , suy ra .
Trong tam giác vuông C'CH, ta có:
Nên .
Trong hình thang , vẽ đường cao .
Ta có .
Trong tam giác vuông , ta có:
Bài 12. Cho hình chóp S.ABC có , đáy là tam giác ABC vuông tại B, biết SA = AB = BC = a. Tính theo a khoảng cách:
a) Từ điểm B đến đường thẳng SC.
b) Từ điểm A đến mặt phẳng (SBC).
c) Giữa hai đường thẳng chéo nhau AB và SC.
Hướng dẫn giải
a) Ta có: nên , suy ra . Kẻ tại H thì d(B, SC) = BH.
Theo định lí Pythagore, ta tính được
Xét tam giác SBC vuông tại B có đường cao BH.
Khi đó: . Vậy .
b) Kẻ tại K, có nên .
Suy ra , do đó .
Xét tam giác SAB vuông tại A có đường cao AK.
Khi đó . Vậy .
c) Dựng hình bình hành ABCD, vì tam giác ABC vuông cân tại B nên ABCD là hình vuông.
Vì nên.
Kẻ tại E, mà nên .
Vì mặt phẳng (SCD) chứa SC và song song với AB nên
Từ (1) và (2), suy ra d(AB, SC) = AE.
Vì tam giác SAD vuông cân tại A, có đường cao AE nên .
Vậy .
Bài 13. Cho hình hộp có ABCD là hình thoi cạnh , . Tính khoảng cách:
a) Từ điểm A đến mặt phẳng ;
b) Giữa hai mặt phẳng và ;
c) Giữa hai đường thẳng BD và A'C.
Hướng dẫn giải
a) Gọi H là hình chiếu của A trên BC. Khi đó, .
Vì tam giác ABC đều cạnh a nên .
Vậy .
b) Vì là hình hộp nên .
Gọi I là hình chiếu của A trên CD. Vì tam giác ACD đều cạnh a nên .
Khi đó, .
c) Gọi E là hình chiếu của O trên A'C. Vì nên .
Suy ra .
Ta có
Vì nên
Vậy .
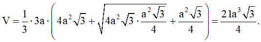
Bài 14. Tính thể tích của khối chóp cụt tam giác đều có chiều cao bằng 3a, .
Hướng dẫn giải
Diện tích tam giác đều ABC là: .
Diện tích tam giác đều A'B'C' là: .
Thể tích khối chóp cụt:
Bài 15. Cho hình chóp S.ABCDcó đáy ABCD là hình thoi cạnh a, . Mặt bên SAB là tam giác đều và nằm trong mặt phẳng vuông góc với đáy. Gọi H, M, N lần lượt là trung điểm AB, SA và CD.
a) Chứng minh .
b) Tính thể tích khối chóp S.ABCD.
c) Tính khoảng cách giữa hai đường thẳng BM và SN.
Hướng dẫn giải
a) Vì tam giác SAB đều nên .
Mà nên .
b) Tam giác SAB đều cạnh .
Diện tích hình thoi ABCD: .
Vậy thể tích khối chóp S.ABCD là: .
c) Ta có tam giác ACD đều
.
Tam giác SAB đều .
Dựng tại là đoạn vuông góc chung của BM và SN.
Suy ra .
Ta có
Vậy .
Bài 16. Cho lăng trụ đứng có đáy ABC là tam giác vuông, AB = BC = a, cạnh bên . Gọi M là trung điểm của cạnh BC. Tính theo a thể tích của khối lăng trụ và khoảng cách giữa hai đường thẳng AM, B'C.
Hướng dẫn giải
Từ giả thiết suy ra tam giác ABC vuông cân tại B. Do đó .
Thể tích khối lăng trụ là: .
Gọi E là trung điểm của BB'. Suy ra ME // B'C.
Khi đó mặt phẳng nên .
Nhận thấy .
Do tứ diện BAME có BA, BM, BE đôi một vuông góc nên:
Vậy khoảng cách giữa hai đường thẳng AM và B'C là .
Bài 17. Cho hình lập phương . Tính góc giữa đường thẳng AB' và mặt phẳng .
Hướng dẫn giải
Gọi O là tâm của hình vuông ABCD khi đó ta có (1).
Mặt khác ta lại có là hình lập phương nên (2).
Từ (1) và (2) ta có .
Khi đó, góc giữa đường thẳng AB' và mặt phẳng chính là góc giữa đường thẳng AB' và B'O.
Xét tam giác vuông AB'O có .
Vậy góc giữa đường thẳng AB' và mặt phẳng bằng 30°.
Bài 18. Cho hình chóp S.ABCD có đáy là hình thoi cạnh a, và . Tính tang góc giữa đường thẳng SC và mặt phẳng (SAD).
Hướng dẫn giải
Xét tam giác ADC cân tại D, có nên tam giác ADC đều.
Kẻ tại I.
Ta có: nên SI là hình chiếu của SC trên mặt phẳng (SAD).
Do đó, góc giữa đường thẳng SC và mặt phẳng (SAD) là góc giữa hai đường thẳng SC và SI, chính là góc CSI.
Ta có: .
Xét vuông tại I có .
Vậy tang góc giữa đường thẳng SC và mặt phẳng (SAD) bằng .
Bài 19. Cho hình chóp tứ giác đều S.ABCD với O là tâm của đáy và có tất cả các cạnh đều bằng a. Tính số đo của các góc nhị diện [S, BC, O];[C, SO, B].
Hướng dẫn giải
Hình chóp S.ABCD đều nên .
Kẻ tại H. Ta có nên .
Suy ra .Do đó, là một góc phẳng của góc nhị diện [S, BC, O].
Ta xác định được , .
Do đó, . Suy ra .
Lại có nên .
Do đó, là một góc phẳng của góc nhị diện [C, SO, B]. Ta có .
Vậy các góc nhị diện [S, BC, O];[C, SO, B] tương ứng có số đo là .
Bài 20. Cho hình chóp S.ABCD có đáy ABCD là hình thang vuông tại A và D, AB = AD = 2a, CD = a. Gọi I là trung điểm cạnh AD, biết hai mặt phẳng (SBI), (SCI) cùng vuông góc với đáy và . Tính số đo góc nhị diện [S, BC, D].
Hướng dẫn giải
Ta có SI vuông góc với đáy (ABCD) và .
Vẽ tại H.
Do đó,IH là hình chiếu của SH lên mặt phẳng (ABCD) nên (theo định lý ba đường vuông góc).
Khi đó, là góc phẳng nhị diện của góc nhị diện[S, BC, D].
Ta có .
Ta có .
Vậy góc nhị diện [S, BC, D] bằng 45°.
Học tốt Toán 11 Chương 8
Các bài học để học tốt Tổng hợp lý thuyết Toán 11 Chương 8 Toán lớp 11 hay khác:
(199k) Xem Khóa học Toán 11 CTST
Xem thêm tóm tắt lý thuyết Toán lớp 11 Chân trời sáng tạo hay khác:
Lý thuyết Toán 11 Bài 5: Góc giữa đường thẳng và mặt phẳng. Góc nhị diện
Lý thuyết Toán 11 Bài 1: Biến cố giao và quy tắc nhân xác suất
Lý thuyết Toán 11 Bài 2: Biến cố hợp và quy tắc cộng xác suất
Xem thêm các tài liệu học tốt lớp 11 hay khác:
- Giải sgk Toán 11 Chân trời sáng tạo
- Giải Chuyên đề học tập Toán 11 Chân trời sáng tạo
- Giải SBT Toán 11 Chân trời sáng tạo
- Giải lớp 11 Chân trời sáng tạo (các môn học)
- Giải lớp 11 Kết nối tri thức (các môn học)
- Giải lớp 11 Cánh diều (các môn học)
Tủ sách VIETJACK shopee lớp 10-11 (cả 3 bộ sách):
Đã có app VietJack trên điện thoại, giải bài tập SGK, SBT Soạn văn, Văn mẫu, Thi online, Bài giảng....miễn phí. Tải ngay ứng dụng trên Android và iOS.
Theo dõi chúng tôi miễn phí trên mạng xã hội facebook và youtube:Nếu thấy hay, hãy động viên và chia sẻ nhé! Các bình luận không phù hợp với nội quy bình luận trang web sẽ bị cấm bình luận vĩnh viễn.
- Soạn văn 11 (hay nhất) - CTST
- Soạn văn 11 (ngắn nhất) - CTST
- Giải sgk Toán 11 - CTST
- Giải Tiếng Anh 11 Global Success
- Giải sgk Tiếng Anh 11 Smart World
- Giải sgk Tiếng Anh 11 Friends Global
- Giải sgk Vật Lí 11 - CTST
- Giải sgk Hóa học 11 - CTST
- Giải sgk Sinh học 11 - CTST
- Giải sgk Lịch Sử 11 - CTST
- Giải sgk Địa Lí 11 - CTST
- Giải sgk Giáo dục KTPL 11 - CTST
- Giải sgk Hoạt động trải nghiệm 11 - CTST
- Giải sgk Âm nhạc 11 - CTST


Giải bài tập SGK & SBT
Tài liệu giáo viên
Sách
Khóa học
Thi online
Hỏi đáp

