13 Bài tập Phương trình mặt cầu (có đáp án) - Cánh diều Trắc nghiệm Toán 12
Với 13 bài tập trắc nghiệm Phương trình mặt cầu Toán 12 có đáp án và lời giải chi tiết đầy đủ các mức độ, có đúng sai, trả lời ngắn sách Cánh diều sẽ giúp học sinh lớp 12 ôn luyện trắc nghiệm để biết cách làm các dạng bài tập Toán 12.
13 Bài tập Phương trình mặt cầu (có đáp án) - Cánh diều Trắc nghiệm Toán 12
PHẦN I. TRẮC NGHIỆM NHIỀU LỰA CHỌN
I. Nhận biết
Câu 1. Trong không gian Oxyz, mặt cầu tâm bán kính R có phương trình là:
A.
B.
C.
D.
Câu 2. Trong không gian với hệ trục tọa độ Oxyz, phương trình nào sau đây là phương trình mặt cầu
A.
B.
C.
D.
Câu 3. Trong không gian với hệ trục tọa độ Oxyz, cho mặt cầu có phương trình (S): có tâm là
A.
B.
C.
D.
Câu 4. Cho điểm M nằm ngoài mặt cầu . Khẳng định nào sau đây là đúng?
A.
B.
C.
D.
Câu 5. Điều kiện đề phương trình là phương trình mặt cầu là
A.
B.
C.
D.
II. Thông hiểu
Câu 6. Trong không gian với hệ trục tọa độ Oxyz, cho mặt cầu và một điểm . Mệnh đề nào sau đây là đúng?
A. Điểm M là tâm của mặt cầu (S).
B. Điểm M nằm trên mặt cầu (S).
C. Điểm M nằm trong mặt cầu (S).
D. Điểm M nằm ngoài mặt cầu (S).
Câu 7. Trong không gian với hệ trục tọa độ Oxyz, cho mặt cầu có phương trình đi qua điểm có tọa độ nào sau đây
A.
B.
C.
D.
Câu 8. Phương trình mặt cầu tâm bán kính R = 3 là
A.
B.
C.
D.
Câu 9. Xác định tâm và bán kính mặt cầu ta được
A. Tâm và bán kính R = 6
B. Tâm và bán kính R = 36
C. Tâm và bán kính R = 6
D. Tâm và bán kính R = 36
III. Vận dụng
Câu 10. Trong không gian Oxyz, mặt cầu (S) đi qua điểm O và cắt các tia Ox, Oy, Oz lần lượt tại các điểm A, B, C khác O thỏa mãn tam giác ABC có trọng tâm là điểm . Tọa độ tâm của mặt cầu (S) là
A.
B.
C.
D.
PHẦN II. TRẮC NGHIỆM ĐÚNG – SAI
Câu hỏi. Trong không gian với hệ tọa độ Oxyz, cho điểm M(2; 0; 2) và mặt cầu . Khi đó:
a) Điểm M(2; 0; 2) thuộc mặt cầu (S).
b) Bán kính mặt cầu (S) là
c) Tọa độ tâm mặt cầu (S) là I(0; −2; 2).
d) Hình chiếu của tâm mặt cầu lên trục Ox là điểm có tọa độ (0; 0; 2).
PHẦN III. TRẢ LỜI NGẮN
Câu 1. Một quả bóng hình cầu có bán kính 2 m được treo lơ lửng trên một mặt phẳng. Tâm quả bóng cách mặt đất 10 m. Chọn hệ trục tọa độ Oxyz có gốc tọa độ O là hình chiếu của tâm quả cầu trên mặt đất, tia Oz chứa tâm quả cầu, các trục Ox, Oy thuộc mặt đất. Khi đó, phương trình mặt cầu bề mặt của quả bóng là . Tính giá trị của a+b+c+d.
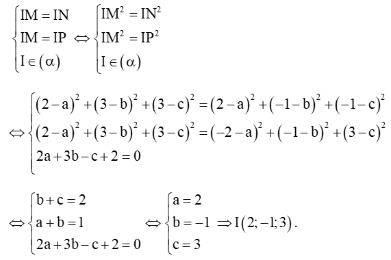
Câu 2. Cho 3 điểm M(2; 3; 3), N(2; −1; −1), P(−2; −1; 3) và mặt phẳng . Phương trình mặt cầu đi qua 3 điểm M, N, P và có tâm thuộc mặt phẳng (α) có bán kính bằng bao nhiêu?
Xem thêm bài tập trắc nghiệm Toán lớp 12 Cánh diều có đáp án hay khác:
Xem thêm các tài liệu học tốt lớp 12 hay khác:
- Giải sgk Toán 12 Cánh diều
- Giải Chuyên đề học tập Toán 12 Cánh diều
- Giải SBT Toán 12 Cánh diều
- Giải lớp 12 Cánh diều (các môn học)
- Giải lớp 12 Kết nối tri thức (các môn học)
- Giải lớp 12 Chân trời sáng tạo (các môn học)
Đã có app VietJack trên điện thoại, giải bài tập SGK, SBT Soạn văn, Văn mẫu, Thi online, Bài giảng....miễn phí. Tải ngay ứng dụng trên Android và iOS.
Theo dõi chúng tôi miễn phí trên mạng xã hội facebook và youtube:Nếu thấy hay, hãy động viên và chia sẻ nhé! Các bình luận không phù hợp với nội quy bình luận trang web sẽ bị cấm bình luận vĩnh viễn.
- Soạn văn 12 Cánh diều (hay nhất)
- Soạn văn 12 Cánh diều (ngắn nhất)
- Giải sgk Toán 12 Cánh diều
- Giải Tiếng Anh 12 Global Success
- Giải sgk Tiếng Anh 12 Smart World
- Giải sgk Tiếng Anh 12 Friends Global
- Giải sgk Vật Lí 12 - Cánh diều
- Giải sgk Hóa học 12 - Cánh diều
- Giải sgk Sinh học 12 - Cánh diều
- Giải sgk Lịch Sử 12 - Cánh diều
- Giải sgk Địa Lí 12 - Cánh diều
- Giải sgk Giáo dục KTPL 12 - Cánh diều
- Giải sgk Tin học 12 - Cánh diều
- Giải sgk Công nghệ 12 - Cánh diều
- Giải sgk Hoạt động trải nghiệm 12 - Cánh diều
- Giải sgk Giáo dục quốc phòng 12 - Cánh diều
- Giải sgk Âm nhạc 12 - Cánh diều


Giải bài tập SGK & SBT
Tài liệu giáo viên
Sách
Khóa học
Thi online
Hỏi đáp

