Đề kiểm tra Toán 12 Chân trời sáng tạo Chương 5 (có lời giải)
Đề kiểm tra Toán 12 Chân trời sáng tạo Chương 5: Phương trình mặt phẳng, đường thẳng, mặt cầu có đáp án chi tiết theo cấu trúc mới với bài tập đa dạng đầy đủ các mức độ sẽ giúp học sinh lớp 12 ôn luyện Toán 12.
Đề kiểm tra Toán 12 Chân trời sáng tạo Chương 5 (có lời giải)
Chỉ từ 250k mua trọn bộ Bài tập ôn tập + Đề kiểm tra Toán 12 Chân trời sáng tạo theo chương theo cấu trúc mới bản word có lời giải chi tiết, trình bày đẹp mắt, dễ dàng chỉnh sửa:
- B1: gửi phí vào tk:
1133836868- CT TNHH DAU TU VA DV GD VIETJACK - Ngân hàng MB (QR) - B2: Nhắn tin tới Zalo VietJack Official - nhấn vào đây để thông báo và nhận đề thi
Phần 1. Trắc nghiệm nhiều phương án lựa chọn
Mỗi câu hỏi thí sinh chỉ chọn một phương án.
Câu 1. Trong không gian Oxyz, đường thẳng có một vectơ chỉ phương là
A.
B.
C.
D.
Câu 2. Trong không gian Oxyz, đường thẳng đi qua điểm A (1; 1; 1) và vuông góc với mặt phẳng tọa độ (Oxy) có phương trình tham số là:
Câu 3. Trong không gian với hệ tọa độ Oxyz, phương trình nào dưới đây là phương trình mặt phẳng đi qua điểm A (1; 2; -3) và có vectơ pháp tuyến ?
A. x - 2y - 3z + 6 = 0.
B. x - 2y + 3z - 12 = 0.
C. x - 2y - 3z - 6 = 0.
D. x - 2y + 3z + 12 = 0.
Câu 4. Trong không gian Oxyz, phương trình mặt cầu (S) có tâm I (-1; 2; 1) và đi qua điểm A (0; 4; -1) là
A.
B.
C.
D.
Câu 5. Trong không gian Oxyz, khoảng cách giữa hai mặt phẳng (P): x + 2y + 2z - 10 = 0 và (Q): x + 2y + 2z - 3 = 0 bằng
A.
B.
C.
D.
Câu 6. Trong không gian với hệ trục tọa độ Oxyz, cho mặt cầu (S) có phương trình . Đường kính của mặt cầu (S) bằng
A. 8.
B. 16.
C. .
D. 4.
Phần 2. Trắc nghiệm đúng sai
Trong mỗi ý a), b), c), d) ở mỗi câu, thí sinh chọn đúng hoặc sai.
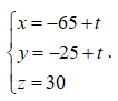
Câu 1. Một đài kiểm soát không lưu tại sân bay có nhiệm vụ kiểm soát, điều hành hoạt động bay của máy bay trong vòng bán kính 70 km. Để theo dõi hành trình của máy bay, ta có thể thiết lập hệ trục toạ độ Oxyz có gốc toạ độ O trùng với vị trí trung tâm của kiểm soát không lưu, mặt phẳng (Oxy) trùng với mặt đất (được coi là mặt phẳng) với trục Ox hướng về phía tây, trục Oy hướng về phía nam và trục Oz hướng thẳng đứng lên trời và đơn vị độ dài trên mỗi trục tọa độ là 1 km. Một máy bay trực thăng đang ở vị trí A (-65; -25; 30) bay theo hướng Tây Nam với độ cao không đổi, vận tốc không đổi 200 km/h, quỹ đạo bay theo đường thẳng.
a) Khi máy bay ở vị trí A (-65; -25; 30) thì đài kiểm soát không lưu của sân bay đã theo dõi được máy bay.
b) Máy bay di chuyển theo hướng Tây Nam với quỹ đạo bay là đường thẳng d có phương trình:
c) Thời gian máy bay di chuyển trong phạm vi đài kiểm soát không lưu của sân bay theo dõi được là 35 phút.
d) Vùng kiểm không lưu của đài kiểm soát trên là vùng ở bên trong và trên bề mặt của mặt cầu (S) có phương trình:
Câu 2. Một đơn vị thiết kế theo đơn đặt hàng làm một nhà vườn ngoài trời để trồng rau. Người thiết kế đã vẽ mô hình nhà vườn trong hệ trục tọa độ Dxyz như hình vẽ, với các cột nhà là các đoạn thẳng AE, BF, CG và DH; phần mái là tứ giác EFGH và hình vuông ABCD nằm trên mặt đất. Biết độ dài các đoạn thẳng AB = 20 m, DH = 4 m, AE = 3 m (mét được ký hiệu là m).
a) Tọa độ điểm B (20; 20; 0) và H (0; 0; 4).
b) Đường thẳng EH có phương trình tham số là
c) Mái nhà hợp với mặt đất một góc khoảng
d) Khách hàng đặt một camera ở vị trí L trên cột DH và cách mặt đất 8 m. Một vật ở vị trí M (a; b; c) thỏa mãn MA = MB = MC = MD = m thì cách camera
Phần 3. Trắc nghiệm trả lời ngắn
Câu 1. Một chiếc bàn gấp gọn đã được thiết lập hệ tọa độ Oxy. Điểm A là chân bàn tiếp xúc với mặt đất thuộc đường thẳng và a cắt mặt bàn tại điểm F. Độ dài chân bàn , khi đó độ cao của mặt bàn tính từ mặt đất là bao nhiêu centimet?
Câu 2. Trong không gian Oxyz, một cabin cáp treo ở Bà Nà Hill xuất phát từ điểm A (-2; 1; 5) và chuyển động đều theo đường cáp có vectơ chỉ phương là với tốc độ là 4 m/s (đơn vị trên mỗi trục toạ độ là mét). Sau 5 giây kể từ lúc xuất phát, cabin đến điểm M. Gọi tọa độ M (a; b; c). Tính a + 3b + c.
Câu 3. Hệ Thống Định Vị Vệ Tinh Toàn Cầu Beidou (Bắc Đẩu) hiện tại có 35 vệ tinh, mỗi vệ tinh cách Trái Đất khoảng 35000 km, ta coi Trái Đất là khối cầu có bán kính R = 6,4 (nghìn km). Với hệ tọa độ Oxyz đã chọn, O là tâm Trái Đất và đơn vị trên mỗi trục là nghìn km, hai vệ tinh có tọa độ A (30; 0; 0), B (0; 30; 0). Xét điểm M (x; y; z) thuộc bề mặt Trái Đất. Đặt T là tổng khoảng cách từ M đến hai vệ tinh A và B. Tìm giá trị nhỏ nhất của T theo đơn vị nghìn km (làm tròn kết quả đến hàng phần chục).
................................
................................
................................
Xem thêm đề kiểm tra Toán lớp 12 Chân trời sáng tạo có đáp án hay khác:
Đề kiểm tra Toán 12 Chân trời sáng tạo Chương 1 (có lời giải)
Đề kiểm tra Toán 12 Chân trời sáng tạo Chương 2 (có lời giải)
Đề kiểm tra Toán 12 Chân trời sáng tạo Chương 3 (có lời giải)
Đề kiểm tra Toán 12 Chân trời sáng tạo Chương 4 (có lời giải)
Đề kiểm tra Toán 12 Chân trời sáng tạo Chương 6 (có lời giải)
Xem thêm các tài liệu học tốt lớp 12 hay khác:
- Giải sgk Toán 12 Chân trời sáng tạo
- Giải Chuyên đề học tập Toán 12 Chân trời sáng tạo
- Giải SBT Toán 12 Chân trời sáng tạo
- Giải lớp 12 Chân trời sáng tạo (các môn học)
- Giải lớp 12 Kết nối tri thức (các môn học)
- Giải lớp 12 Cánh diều (các môn học)
Đã có app VietJack trên điện thoại, giải bài tập SGK, SBT Soạn văn, Văn mẫu, Thi online, Bài giảng....miễn phí. Tải ngay ứng dụng trên Android và iOS.
Theo dõi chúng tôi miễn phí trên mạng xã hội facebook và youtube:Nếu thấy hay, hãy động viên và chia sẻ nhé! Các bình luận không phù hợp với nội quy bình luận trang web sẽ bị cấm bình luận vĩnh viễn.
- Soạn văn 12 (hay nhất) - CTST
- Soạn văn 12 (ngắn nhất) - CTST
- Giải sgk Toán 12 - CTST
- Giải Tiếng Anh 12 Global Success
- Giải sgk Tiếng Anh 12 Smart World
- Giải sgk Tiếng Anh 12 Friends Global
- Giải sgk Vật Lí 12 - CTST
- Giải sgk Hóa học 12 - CTST
- Giải sgk Sinh học 12 - CTST
- Giải sgk Lịch Sử 12 - CTST
- Giải sgk Địa Lí 12 - CTST
- Giải sgk Giáo dục KTPL 12 - CTST
- Giải sgk Tin học 12 - CTST
- Giải sgk Hoạt động trải nghiệm 12 - CTST
- Giải sgk Âm nhạc 12 - CTST


Giải bài tập SGK & SBT
Tài liệu giáo viên
Sách
Khóa học
Thi online
Hỏi đáp

