Đề kiểm tra Toán 12 Chân trời sáng tạo Chương 6 (có lời giải)
Đề kiểm tra Toán 12 Chân trời sáng tạo Chương 6: Xác suất có điều kiện có đáp án chi tiết theo cấu trúc mới với bài tập đa dạng đầy đủ các mức độ sẽ giúp học sinh lớp 12 ôn luyện Toán 12.
Đề kiểm tra Toán 12 Chân trời sáng tạo Chương 6 (có lời giải)
Chỉ từ 250k mua trọn bộ Bài tập ôn tập + Đề kiểm tra Toán 12 Chân trời sáng tạo theo chương theo cấu trúc mới bản word có lời giải chi tiết, trình bày đẹp mắt, dễ dàng chỉnh sửa:
- B1: gửi phí vào tk:
1133836868- CT TNHH DAU TU VA DV GD VIETJACK - Ngân hàng MB (QR) - B2: Nhắn tin tới Zalo VietJack Official - nhấn vào đây để thông báo và nhận đề thi
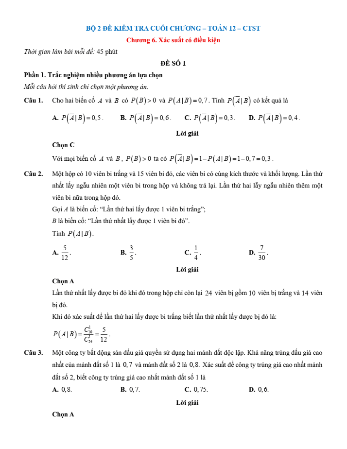
Phần 1. Trắc nghiệm nhiều phương án lựa chọn
Mỗi câu hỏi thí sinh chỉ chọn một phương án.
Câu 1. Cho hai biến cố A và B có P (B) > 0 và P (A| B) = 0,7. Tính P (| B) có kết quả là
A. P (| B) = 0,5.
B. P (| B) = 0,6.
C. P (| B) = 0,3.
D. P (| B) = 0,4.
Câu 2. Một hộp có 10 viên bi trắng và 15 viên bi đỏ, các viên bi có cùng kích thước và khối lượng. Lần thứ nhất lấy ngẫu nhiên một viên bi trong hộp và không trả lại. Lần thứ hai lẫy ngẫu nhiên thêm một viên bi nữa trong hộp đó.
Gọi A là biến cố: “Lần thứ hai lấy được 1 viên bi trắng”;
B là biến cố: “Lần thứ nhất lấy được 1 viên bi đỏ”.
Tính P (A| B).
A.
B.
C.
D.
Câu 3. Một công ty bất động sản đấu giá quyền sử dụng hai mảnh đất độc lập. Khả năng trúng đấu giá cao nhất của mảnh đất số 1 là 0,7 và mảnh đất số 2 là 0,8. Xác suất để công ty trúng giá cao nhất mảnh đất số 2, biết công ty trúng giá cao nhất mảnh đất số 1 là
A. 0,8.
B. 0,7.
C. 0,75.
D. 0,6.
Câu 4. Cho hai biến cố A, B thỏa mãn P () = 0,2; P (A| B) = 0,5; P (A| ) = 0,3. Khi đó, P (A) bằng
A. 0,46.
B. 0,34.
C. 0,15.
D. 0,31.
Câu 5. Cho hai biến cố A, B thỏa mãn P (A) = 0,4, P (B) = 0,3, P (A| B) = 0,25. Khi đó, P (B| A) bằng
A. 0,1875.
B. 0,48.
C. 0,333.
D. 0,95.
Câu 6. Cho hai biến cố A và B, với P (B) = 0,8, P(A| B) = 0,7, P (A| ) = 0,45. Tính P (B| A).
A. 0,25.
B.
C. 0,65.
D. 0,5.
Phần 2. Trắc nghiệm đúng sai
Trong mỗi ý a), b), c), d) ở mỗi câu, thí sinh chọn đúng hoặc sai.
Câu 1. Các thí sinh tham dự một cuộc thi hoa khôi phải trải qua ba vòng thi: Vòng sơ khảo, Vòng bán kết và Vòng chung kết. Biết rằng, ban tổ chức sẽ chọn ra 50% thí sinh đã đăng kí để vào Vòng sơ khảo. Khi kết thúc vòng sơ khảo, ban tổ chức sẽ chọn ra 30% thí sinh của Vòng sơ khảo để vào Vòng bán kết. Khi kết thúc vòng bán kết, ban tổ chức sẽ chọn ra 20% thí sinh của Vòng bán kết để vào Vòng chung kết. Chọn ngẫu nhiên 1 thí sinh đăng kí tham dự cuộc thi hoa khôi.
a) Xác suất để thí sinh được chọn lọt vào Vòng sơ khảo là 0,5.
b) Xác suất để thí sinh được chọn lọt vào Vòng bán kết là 0,3.
c) Xác suất thí sinh được chọn lọt vào Vòng chung kết là 0,03.
d) Biết rà̀ng thí sinh được chọn không lọt vào Vòng chung kết, xác suất thí sinh đó lọt vào Vòng sơ khảo nhỏ hơn 0,49.
Câu 2. Một túi chứa ba đồng xu công bằng (fair coin-tức đồng xu có đủ hai mặt sấp ngửa) và một đồng xu có hai mặt ngửa (double-heađe coin). Một đồng xu được chọn ngẫu nhiên từ túi và được gieo để xem mặt hiện ra là ngửa hay sấp.
a) Xác suất để đồng xu fair coin được chọn và mặt sấp xuất hiện bằng
b) Xác suất xuất hiện mặt ngửa bằng
c) Nếu biết mặt ngửa đã xuất hiện, xác suất đồng xu có hai mặt ngửa đã được chọn bằng
d) Nếu gieo đồng xu lần đầu xuất hiện mặt ngửa, xác suất để khi gieo đồng xu đó lần thứ hai vẫn xuất hiện mặt ngửa bằng
Phần 3. Trắc nghiệm trả lời ngắn
Câu 1. Nhân dịp kỷ niệm 50 năm ngày thành lập trường, các học sinh lựa chọn tham gia thi đấu thể thao hoặc biểu diễn văn nghệ. Lớp 12A có 60% số học sinh tham gia thi đấu thể thao và còn lại 40% số học sinh tham gia biểu diễn văn nghệ. Biết rằng các bạn nữ đều tham gia biểu diễn văn nghệ. Trong số các bạn nam có 20% tham gia văn nghệ và 80% tham gia thi đấu thể thao. Chọn ngẫu nhiên 1 học sinh trong lớp. Biết rằng học sinh này tham gia biểu diễn văn nghệ, xác suất để học sinh này là nữ là bao nhiêu phần trăm?
Câu 2. Bạn Minh làm hai bài tập liên tiếp. Xác suất Minh làm đúng bài thứ nhất là 0,7. Nếu Minh làm đúng bài thứ nhất thì khả năng làm đúng bài thứ hai là 0,8 nhưng nếu Minh làm sai bài thứ nhất thì khả năng làm đúng bài thứ hai là 0,2. Xác suất để Minh làm đúng bài thứ nhất biết rằng Minh làm đúng bài thứ hai là . Biết là phân số tối giản, tính T = 2a + b.
Câu 3. Một nhà đầu tư đang xem xét đầu tư vào hai loại tài sản: Cổ phiếu và trái phiếu. Qua nghiên cứu thị trường có hai kịch bản sau có thể xảy ra:
Kịch bản Kinh tế tăng trưởng: Xác suất xảy ra kịch bản kinh tế tăng trưởng trong năm tới là 60%. Trong kịch bản này, xác suất cổ phiếu mang lại lợi nhuận cao là 80%, và xác suất trái phiếu mang lại lợi nhuận cao là 30%.
Kịch bản Kinh tế suy thoái: Xác suất xảy ra kịch bản kinh tế suy thoái trong năm tới là 40%. Trong kịch bản này, xác suất cổ phiếu mang lại lợi nhuận cao là 10%, và xác suất trái phiếu mang lại lợi nhuận cao là 70%.
Vào cuối năm, nhà đầu tư nhận thấy rằng trái phiếu đã mang lại lợi nhuận cao. Tính xác suất để kịch bản kinh tế trong năm đó là suy thoái (làm tròn kết quả đến hàng phần trăm).
................................
................................
................................
Xem thêm đề kiểm tra Toán lớp 12 Chân trời sáng tạo có đáp án hay khác:
Đề kiểm tra Toán 12 Chân trời sáng tạo Chương 1 (có lời giải)
Đề kiểm tra Toán 12 Chân trời sáng tạo Chương 2 (có lời giải)
Đề kiểm tra Toán 12 Chân trời sáng tạo Chương 3 (có lời giải)
Đề kiểm tra Toán 12 Chân trời sáng tạo Chương 4 (có lời giải)
Đề kiểm tra Toán 12 Chân trời sáng tạo Chương 5 (có lời giải)
Xem thêm các tài liệu học tốt lớp 12 hay khác:
- Giải sgk Toán 12 Chân trời sáng tạo
- Giải Chuyên đề học tập Toán 12 Chân trời sáng tạo
- Giải SBT Toán 12 Chân trời sáng tạo
- Giải lớp 12 Chân trời sáng tạo (các môn học)
- Giải lớp 12 Kết nối tri thức (các môn học)
- Giải lớp 12 Cánh diều (các môn học)
Đã có app VietJack trên điện thoại, giải bài tập SGK, SBT Soạn văn, Văn mẫu, Thi online, Bài giảng....miễn phí. Tải ngay ứng dụng trên Android và iOS.
Theo dõi chúng tôi miễn phí trên mạng xã hội facebook và youtube:Nếu thấy hay, hãy động viên và chia sẻ nhé! Các bình luận không phù hợp với nội quy bình luận trang web sẽ bị cấm bình luận vĩnh viễn.
- Soạn văn 12 (hay nhất) - CTST
- Soạn văn 12 (ngắn nhất) - CTST
- Giải sgk Toán 12 - CTST
- Giải Tiếng Anh 12 Global Success
- Giải sgk Tiếng Anh 12 Smart World
- Giải sgk Tiếng Anh 12 Friends Global
- Giải sgk Vật Lí 12 - CTST
- Giải sgk Hóa học 12 - CTST
- Giải sgk Sinh học 12 - CTST
- Giải sgk Lịch Sử 12 - CTST
- Giải sgk Địa Lí 12 - CTST
- Giải sgk Giáo dục KTPL 12 - CTST
- Giải sgk Tin học 12 - CTST
- Giải sgk Hoạt động trải nghiệm 12 - CTST
- Giải sgk Âm nhạc 12 - CTST


Giải bài tập SGK & SBT
Tài liệu giáo viên
Sách
Khóa học
Thi online
Hỏi đáp

