Đề kiểm tra Toán 12 Kết nối tri thức Chương 5 (có lời giải)
Đề kiểm tra Toán 12 Kết nối tri thức Chương 5: Phương pháp tọa độ trong không gian có đáp án chi tiết theo cấu trúc mới với bài tập đa dạng đầy đủ các mức độ sẽ giúp học sinh lớp 12 ôn luyện Toán 12.
Đề kiểm tra Toán 12 Kết nối tri thức Chương 5 (có lời giải)
Chỉ từ 250k mua trọn bộ Bài tập ôn tập + Đề kiểm tra Toán 12 Kết nối tri thức theo chương theo cấu trúc mới bản word có lời giải chi tiết, trình bày đẹp mắt, dễ dàng chỉnh sửa:
- B1: gửi phí vào tk:
1133836868- CT TNHH DAU TU VA DV GD VIETJACK - Ngân hàng MB (QR) - B2: Nhắn tin tới Zalo VietJack Official - nhấn vào đây để thông báo và nhận đề thi
Phần 1. Trắc nghiệm nhiều phương án lựa chọn
Mỗi câu hỏi thí sinh chỉ chọn một phương án.
Câu 1. Trong không gian Oxyz, mặt phẳng nào dưới đây nhận là một vectơ pháp tuyến?
A. 3x + z + 7 = 0.
B. 3x - y - 7z + 1 = 0.
C. 3x + y - 7 = 0.
D. 3x + y - 7z - 3 = 0.
Câu 2. Trong không gian Oxyz, cho đường thẳng . Điểm nào sau đây thuộc đường thẳng d?
A. M (3; 4; -5).
B. N (2; -5; 3).
C. P (-3; -4; 5).
D. Q (2; 5; -3).
Câu 3. Trong không gian với hệ tọa độ Oxyz, phương trình nào sau đây là phương trình mặt cầu (S) tâm A (2; 1; 0), đi qua điểm B (0; 1; 2)?
A.
B.
C.
D.
Câu 4. Trong không gian tọa độ Oxyz, cho đường thẳng (d) có phương trình . Vectơ nào sau đây là một vectơ chỉ phương của đường thẳng (d)?
A.
B.
C.
D.
Câu 5. Trong không gian với hệ trục tọa độ Oxyz, cho đường thẳng . Phương trình mặt phẳng đi qua A (1; 2; 3) và vuông góc với đường thẳng d là
A. 4x + 3y + 7z - 11 = 0.
B. 4x + 3y + 7z + 11 = 0.
C. 4x + 3y - 7z + 11 = 0.
D. 4x + 3y - 7z - 11 = 0.
Câu 6. Trong không gian Oxyz, cho hai điểm A (1; 3; -2), B (2; -2; -1). Phương trình đường thẳng AB là
A.
B.
C.
D.
Phần 2. Trắc nghiệm đúng sai
Trong mỗi ý a), b), c), d) ở mỗi câu, thí sinh chọn đúng hoặc sai.
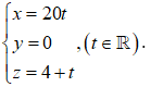
Câu 1. Một đơn vị thiết kế theo đơn đặt hàng làm một nhà vườn ngoài trời để trồng rau. Người thiết kế đã vẽ mô hình nhà vườn trong hệ trục tọa độ Dxyz như hình vẽ, với các cột nhà là các đoạn thẳng AE, BF, CG và DH; phần mái là tứ giác EFGH và hình vuông ABCD nằm trên mặt đất. Biết độ dài các đoạn thẳng AB = 20 m, DH = 4 m, AE = 3 m (mét được ký hiệu là m).
a) Tọa độ điểm B (20; 20; 0) và H (0; 0; 4).
b) Đường thẳng có phương trình tham số là
c) Mái nhà hợp với mặt đất một góc khoảng .
d) Khách hàng đặt một camera ở vị trí L trên cột DH và cách mặt đất 8 m. Một vật ở vị trí M (a; b; c) thỏa mãn MA = MB = MC = MD = m thì cách camera m.
Câu 2. Một đài kiểm soát không lưu tại sân bay có nhiệm vụ kiểm soát, điều hành hoạt động bay của máy bay trong vòng bán kính 70 km. Để theo dõi hành trình của máy bay, ta có thể thiết lập hệ trục toạ độ Oxyz có gốc toạ độ O trùng với vị trí trung tâm của kiểm soát không lưu, mặt phẳng (Oxy) trùng với mặt đất (được coi là mặt phẳng) với trục Ox hướng về phía tây, trục Oy hướng về phía nam và trục Oz hướng thẳng đứng lên trời và đơn vị độ dài trên mỗi trục tọa độ là 1 km. Một máy bay trực thăng đang ở vị trí A (-65; -25; 30) bay theo hướng Tây Nam với độ cao không đổi, vận tốc không đổi 200 km/h, quỹ đạo bay theo đường thẳng.
a) Khi máy bay ở vị trí A (-65; -25; 30) thì đài kiểm soát không lưu của sân bay đã theo dõi được máy bay.
b) Máy bay di chuyển theo hướng Tây Nam với quỹ đạo bay là đường thẳng d có phương trình:
c) Thời gian máy bay di chuyển trong phạm vi đài kiểm soát không lưu của sân bay theo dõi được là 35 phút.
d) Vùng kiểm không lưu của đài kiểm soát trên là vùng ở bên trong và trên bề mặt của mặt cầu (S) có phương trình:
Phần 3. Trắc nghiệm trả lời ngắn
Câu 1. Một chiếc bàn gấp gọn đã được thiết lập hệ tọa độ Oxyz. Điểm A là chân bàn tiếp xúc với mặt đất thuộc đường thẳng và a cắt mặt bàn (P): x + y - 2z + 6 = 0 tại điểm F. Độ dài chân bàn FA = cm, khi đó độ cao của mặt bàn tính từ mặt đất là bao nhiêu?
Câu 2. Hệ Thống Định Vị Vệ Tinh Toàn Cầu Beidou (Bắc Đẩu) hiện tại có 35 vệ tinh, mỗi vệ tinh cách Trái Đất khoảng 35000 km, ta coi Trái Đất là khối cầu có bán kính R = 6,4 (nghìn km). Với hệ tọa độ Oxyz đã chọn, O là tâm Trái Đất và đơn vị trên mỗi trục là nghìn km, hai vệ tinh có tọa độ A (30; 0; 0), B (0; 30; 0). Xét điểm M (x; y; z) thuộc bề mặt Trái Đất. Đặt T là tổng khoảng cách từ M đến hai vệ tinh A và B. Tìm giá trị nhỏ nhất của T theo đơn vị nghìn km (làm tròn kết quả đến hàng phần chục).
Câu 3. Trạm kiểm soát không quân đang theo dõi hai máy bay chiến đấu Su-30 và MiG-31. Giả sử trong không gian với hệ trục tọa độ Oxyz, đơn vị đo mỗi trục là 1 km và xem mặt phẳng (Oxy) là mặt đất, tại cùng một thời điểm theo dõi ban đầu: máy bay chiến đấu Su-30 ở tọa độ A (0; 35; 10), bay theo hướng vectơ với tốc độ không đổi 900 (km/h) và máy bay chiến đấu MiG-31 ở tọa độ B (31; 10; 11), bay theo hướng với tốc độ không đổi 910 (km/h). Khu vực này có gió mạnh thổi với vận tốc 80 (km/h) theo hướng vectơ , gió ảnh hưởng đến cả hai máy bay trong quá trình bay. Một khu vực không phận bị hạn chế bay đã được một quốc gia khác thiết lập, có dạng hình trụ với tâm đáy tại C (178; 430; 0), bán kính đáy 7 km, trục vuông góc với mặt đất và chiều cao 43 km. Máy bay MiG-31 có nhiệm vụ bay vào khu vực không phận bị hạn chế để thăm dò. Tại thời điểm máy bay chiến đấu MiG-31 bay ra khỏi khu vực không phận bị hạn chế thì khoảng cách giữa hai máy bay chiến đấu là bao nhiêu km? (làm tròn kết quả đến hàng đơn vị).
................................
................................
................................
Xem thêm đề kiểm tra Toán lớp 12 Kết nối tri thức có đáp án hay khác:
Xem thêm các tài liệu học tốt lớp 12 hay khác:
- Giải sgk Toán 12 Kết nối tri thức
- Giải Chuyên đề học tập Toán 12 Kết nối tri thức
- Giải SBT Toán 12 Kết nối tri thức
- Giải lớp 12 Kết nối tri thức (các môn học)
- Giải lớp 12 Chân trời sáng tạo (các môn học)
- Giải lớp 12 Cánh diều (các môn học)
Đã có app VietJack trên điện thoại, giải bài tập SGK, SBT Soạn văn, Văn mẫu, Thi online, Bài giảng....miễn phí. Tải ngay ứng dụng trên Android và iOS.
Theo dõi chúng tôi miễn phí trên mạng xã hội facebook và youtube:Nếu thấy hay, hãy động viên và chia sẻ nhé! Các bình luận không phù hợp với nội quy bình luận trang web sẽ bị cấm bình luận vĩnh viễn.
- Soạn văn 12 (hay nhất) - KNTT
- Soạn văn 12 (ngắn nhất) - KNTT
- Giải sgk Toán 12 - KNTT
- Giải Tiếng Anh 12 Global Success
- Giải sgk Tiếng Anh 12 Smart World
- Giải sgk Tiếng Anh 12 Friends Global
- Giải sgk Vật Lí 12 - KNTT
- Giải sgk Hóa học 12 - KNTT
- Giải sgk Sinh học 12 - KNTT
- Giải sgk Lịch Sử 12 - KNTT
- Giải sgk Địa Lí 12 - KNTT
- Giải sgk Giáo dục KTPL 12 - KNTT
- Giải sgk Tin học 12 - KNTT
- Giải sgk Công nghệ 12 - KNTT
- Giải sgk Hoạt động trải nghiệm 12 - KNTT
- Giải sgk Giáo dục quốc phòng 12 - KNTT
- Giải sgk Âm nhạc 12 - KNTT
- Giải sgk Mĩ thuật 12 - KNTT


Giải bài tập SGK & SBT
Tài liệu giáo viên
Sách
Khóa học
Thi online
Hỏi đáp

