13 Bài tập trắc nghiệm Toán 12 Kết nối tri thức Chương 4 (có đáp án)
Với 13 bài tập trắc nghiệm tổng hợp Toán 12 Chương 4 có đáp án và lời giải chi tiết đầy đủ các mức độ sách Kết nối tri thức sẽ giúp học sinh ôn luyện trắc nghiệm để biết cách làm các dạng bài tập Toán 12.
13 Bài tập trắc nghiệm Toán 12 Kết nối tri thức Chương 4 (có đáp án)
Phần I. Trắc nghiệm nhiều lựa chọn
Câu 1. Cho hai tích phân và .
Tính .
A. .
B. I = 5 .
C. I = -11.
D. I = 11.
Câu 2. Cho hàm số có một nguyên hàm trên ℝ là . Biết và , giá trị của bằng
A. 6.
B. 4.
C. 2.
D. −4.
Câu 3. bằng
A. .
B. 2x + C.
C. 3x3 + C.
D. x3 + C.
Câu 4. Hàm số là một nguyên hàm của hàm số nào sau đây?
A. .
B. .
C. .
D. .
Câu 5. Diện tích hình phẳng giới hạn bởi hai đường thẳng , đồ thị hàm số và trục Ox là
A. .
B. .
C. .
D. .
Câu 6. Tích phân bằng
A. 1.
B. 2.
C. 0.
D. e.
Câu 7. Tích phân . Khi đó tổng của a + b là
A. 10.
B. 2.
C. 7.
D. 1.
Câu 8. Biết tích phân . Tính .
A. 10.
B. 4.
C. .
D. 2.
Câu 9. Công thức nào sau đây mô tả diện tích của phần gạch chéo trong hình vẽ bên dưới?
A. .
B. .
C. .
D. .
Câu 10. Tìm một nguyên hàm F(x) của hàm số , biết .
A. .
B. .
C. .
D. .
Phần II. Trắc nghiệm đúng - sai
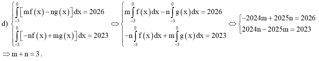
Câu hỏi. Cho và .
a) .
b) .
c) .
d) Cho m,n là các hằng số. Nếu và thì .
Phần III. Trả lời ngắn
Câu 1. Một vật chuyển động chậm dần với vận tốc (m/s). Tính quãng đường mà vật di chuyển trong khoảng thời gian từ thời điểm t = 0 đến thời điểm mà vật dừng lại.
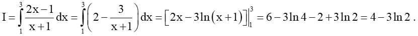
Câu 2. Cho hàm số với a, b là các số hữu tỉ thỏa điều kiện . Tính T = a + b.
Xem thêm bài tập trắc nghiệm Toán lớp 12 Kết nối tri thức có đáp án hay khác:
Trắc nghiệm Toán 12 Bài 15: Phương trình đường thẳng trong không gian
Trắc nghiệm Toán 12 Bài 16: Công thức tính góc trong không gian
Xem thêm các tài liệu học tốt lớp 12 hay khác:
- Giải sgk Toán 12 Kết nối tri thức
- Giải Chuyên đề học tập Toán 12 Kết nối tri thức
- Giải SBT Toán 12 Kết nối tri thức
- Giải lớp 12 Kết nối tri thức (các môn học)
- Giải lớp 12 Chân trời sáng tạo (các môn học)
- Giải lớp 12 Cánh diều (các môn học)
Đã có app VietJack trên điện thoại, giải bài tập SGK, SBT Soạn văn, Văn mẫu, Thi online, Bài giảng....miễn phí. Tải ngay ứng dụng trên Android và iOS.
Theo dõi chúng tôi miễn phí trên mạng xã hội facebook và youtube:Nếu thấy hay, hãy động viên và chia sẻ nhé! Các bình luận không phù hợp với nội quy bình luận trang web sẽ bị cấm bình luận vĩnh viễn.
- Soạn văn 12 (hay nhất) - KNTT
- Soạn văn 12 (ngắn nhất) - KNTT
- Giải sgk Toán 12 - KNTT
- Giải Tiếng Anh 12 Global Success
- Giải sgk Tiếng Anh 12 Smart World
- Giải sgk Tiếng Anh 12 Friends Global
- Giải sgk Vật Lí 12 - KNTT
- Giải sgk Hóa học 12 - KNTT
- Giải sgk Sinh học 12 - KNTT
- Giải sgk Lịch Sử 12 - KNTT
- Giải sgk Địa Lí 12 - KNTT
- Giải sgk Giáo dục KTPL 12 - KNTT
- Giải sgk Tin học 12 - KNTT
- Giải sgk Công nghệ 12 - KNTT
- Giải sgk Hoạt động trải nghiệm 12 - KNTT
- Giải sgk Giáo dục quốc phòng 12 - KNTT
- Giải sgk Âm nhạc 12 - KNTT
- Giải sgk Mĩ thuật 12 - KNTT


Giải bài tập SGK & SBT
Tài liệu giáo viên
Sách
Khóa học
Thi online
Hỏi đáp

