13 Bài tập Công thức tính góc trong không gian (có đáp án) - Kết nối tri thức Trắc nghiệm Toán 12
Với 13 bài tập trắc nghiệm Công thức tính góc trong không gian Toán 12 có đáp án và lời giải chi tiết đầy đủ các mức độ, có đúng sai, trả lời ngắn sách Kết nối tri thức sẽ giúp học sinh lớp 12 ôn luyện trắc nghiệm để biết cách làm các dạng bài tập Toán 12.
13 Bài tập Công thức tính góc trong không gian (có đáp án) - Kết nối tri thức Trắc nghiệm Toán 12
Phần I. Trắc nghiệm nhiều lựa chọn
I. Nhận biết
Câu 1. Trong hệ tọa độ Oxyz, góc giữa đường thẳng Ox và đường thẳng Oy là
A.
B.
C.
D.
Câu 2. Trong hệ tọa độ Oxyz, góc giữa đường thẳng Ox và mặt phẳng (Oxyz) là
A.
B.
C.
D.
Câu 3. Trong hệ tọa độ Oxyz, cho hai đường thẳng và có vectơ chỉ phương lần lượt là , . Khi đó, khẳng định nào sau đây là sai?
A.
B.
C.
D. hoặc
Câu 4. Trong hệ tọa độ Oxyz, cho đường thẳng Tính cosin của góc giữa đường thẳng và trục Ox.
A.
B.
C.
D. 0
Câu 5. Trong không gian Oxyz, cho hai đường thẳng và có vectơ chỉ phương lần lượt là . Gọi là góc giữa hai đường thẳng và .Xét các khẳng định sau:
a)
b)
c)
d)
Số khẳng định đúng trong các khẳng định trên là
A. 1
B. 0
C. 2
D. 3.
II. Thông hiểu
Câu 6. Cho hai đường thẳng . Góc giữa và là
A.
B.
C.
D.
Câu 7. Tính góc tạo bởi đường thẳng và mặt phẳng
A.
B.
C.
D.
Câu 8. Trong hệ tọa độ Oxyz, cho mặt phẳng và . Góc giữa hai mặt phẳng (P) và (Q) bằng
A.
B.
C.
D.
Câu 9. Trong hệ tọa độ Oxyz, cho ba điểm và . Cosin của góc giữa hai mặt phẳng và bằng
A.
B.
C.
D.
III. Vận dụng
Câu 10. Trong không gian Oxyz, cho mặt phẳng và đường thẳng d là giao tuyến của hai mặt phẳng và . Hãy tính số đo góc giữa d và (P)
A.
B.
C.
D.
Phần II. Trắc nghiệm đúng - sai
Câu hỏi. Trong không gian Oxyz, cho đường thẳng và mặt phẳng .
a) là một vectơ pháp tuyến của (P).
b) Điểm M(0; 4; 4) thuộc .
c) Góc giữa và (P) bằng 60°.
d) Đường thẳng d đi qua điểm M(0; 4; 4), song song với (P) và tạo với một góc 45° có phương trình là .
Phần III. Trả lời ngắn
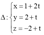
Câu 1. Trong không gian Oxyz cho hai đường thẳng và . Gọi là góc giữa hai đường thẳng d1, d2. Giá trị có dạng . Tính giá trị biểu thức .
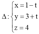
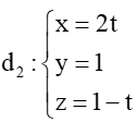
Câu 2. Trong không gian Oxyz, cho đường thẳng và . Gọi d là đường thẳng đi qua điểm A(−1; 0; −1) cắt đường thẳng ∆1 và tạo với mặt phẳng (P) một góc nhỏ nhất. Vectơ chỉ phương . Tính tổng .
Xem thêm bài tập trắc nghiệm Toán lớp 12 Kết nối tri thức có đáp án hay khác:
Trắc nghiệm Toán 12 Bài 15: Phương trình đường thẳng trong không gian
Trắc nghiệm Toán 12 Bài 19: Công thức xác suất toàn phần và công thức Bayes
Xem thêm các tài liệu học tốt lớp 12 hay khác:
- Giải sgk Toán 12 Kết nối tri thức
- Giải Chuyên đề học tập Toán 12 Kết nối tri thức
- Giải SBT Toán 12 Kết nối tri thức
- Giải lớp 12 Kết nối tri thức (các môn học)
- Giải lớp 12 Chân trời sáng tạo (các môn học)
- Giải lớp 12 Cánh diều (các môn học)
Đã có app VietJack trên điện thoại, giải bài tập SGK, SBT Soạn văn, Văn mẫu, Thi online, Bài giảng....miễn phí. Tải ngay ứng dụng trên Android và iOS.
Theo dõi chúng tôi miễn phí trên mạng xã hội facebook và youtube:Nếu thấy hay, hãy động viên và chia sẻ nhé! Các bình luận không phù hợp với nội quy bình luận trang web sẽ bị cấm bình luận vĩnh viễn.
- Soạn văn 12 (hay nhất) - KNTT
- Soạn văn 12 (ngắn nhất) - KNTT
- Giải sgk Toán 12 - KNTT
- Giải Tiếng Anh 12 Global Success
- Giải sgk Tiếng Anh 12 Smart World
- Giải sgk Tiếng Anh 12 Friends Global
- Giải sgk Vật Lí 12 - KNTT
- Giải sgk Hóa học 12 - KNTT
- Giải sgk Sinh học 12 - KNTT
- Giải sgk Lịch Sử 12 - KNTT
- Giải sgk Địa Lí 12 - KNTT
- Giải sgk Giáo dục KTPL 12 - KNTT
- Giải sgk Tin học 12 - KNTT
- Giải sgk Công nghệ 12 - KNTT
- Giải sgk Hoạt động trải nghiệm 12 - KNTT
- Giải sgk Giáo dục quốc phòng 12 - KNTT
- Giải sgk Âm nhạc 12 - KNTT
- Giải sgk Mĩ thuật 12 - KNTT


Giải bài tập SGK & SBT
Tài liệu giáo viên
Sách
Khóa học
Thi online
Hỏi đáp

