Giải Toán lớp 6 trang 33 Tập 2 Chân trời sáng tạo
Với Giải Toán lớp 6 trang 33 Tập 2 trong Bài 2: Các phép tính với số thập phân Toán 6 Chân trời sáng tạo hay nhất, chi tiết sẽ giúp học sinh lớp 6 làm bài tập Toán 6 trang 33.
Giải Toán lớp 6 trang 33 Tập 2 Chân trời sáng tạo
Thực hành 1 trang 33 Toán lớp 6 Tập 2: Thực hiện các phép tính:
a) 3,7 – 4,32;
b) –5,5 + 90,67;
c) 0,8 – 3,1651;
d) 0,77 – 5,3333;
e) –5,5 + 9,007;
g) 0,008 – 3,9999.
Lời giải:
a) Trong phép tính: 3,7 – 4,32 có số dương là 3,7 nhỏ hơn số đối của số âm là 4,32.
Nên ta lấy số đối của số âm là 4,32 trừ đi số dương là 3,7 và thêm dấu trừ (–) trước kết quả.
Ta thực hiện: 3,7 – 4,32 = – (4,32 – 3,7) = – 0,62.
b) Trong phép tính –5,5 + 90,67 có số dương là 90,67 lớn hơn số đối của số âm là 5,5, ta lấy số dương là 90,67 trừ đi số đối của số âm là 5,5.
Ta thực hiện: –5,5 + 90,67 = 90,67 – 5,5 = 85,17.
c) Trong phép tính 0,8 – 3,1651 có số dương là 0,8 nhỏ hơn số đối của số âm là 3,1651.
Nên ta lấy số đối của số âm là 3,1651 trừ đi số dương là 0,8 và thêm dấu trừ (–) trước kết quả.
Ta thực hiện: 0,8 – 3,1651 = –(3,1651 – 0,8) = –2,3651.
d) Trong phép tính 0,77 – 5,3333 có số dương là 0,77 nhỏ hơn số đối của số âm là 5,3333.
Nên ta lấy số đối của số âm là 5,3333 trừ đi số dương là 0,77 và thêm dấu trừ (–) trước kết quả.
Ta thực hiện: 0,77 – 5,3333 = –(5,3333 – 0,77) = –4,5633.
e) –5,5 + 9,007;
Trong phép tính này: số dương là 9,007 lớn hơn số đối của số âm là 5,5, ta lấy số dương là 90,67 trừ đi số đối của số âm là 5,5.
Ta thực hiện: –5,5 + 9,007 = 9,007 – 5,5 = 3,507.
g) Trong phép tính 0,008 – 3,9999 có số dương là 0,008 nhỏ hơn số đối của số âm là 3,9999.
Nên ta lấy số đối của số âm là 3,9999 trừ đi số dương là 0,008 và thêm dấu trừ (–) trước kết quả.
Ta thực hiện: 0,008 – 3,9999 = –( 3,9999 – 0,008) = –3,9919.
Vận dụng 1 trang 33 Toán lớp 6 Tập 2: Cho biết một quả chuối nặng 100 g có chứa:
- Chất béo: 0,3 g;
- Kali: 0,42 g.

Em hãy cho biết trong quả chuối đó, khối lượng kali nhiều hơn khối lượng chất béo là bao nhiêu?
Lời giải:
Khối lượng kali nhiều hơn khối lượng chất béo là:
0,42 − 0,3 = 0,12 (g).
Vậy trong quả chuối nặng 100 g, khối lượng kali nhiều hơn khối lượng chất béo là 0,12 g.
Hoạt động khám phá 2 trang 33 Toán lớp 6 Tập 2: a) Thực hiện các phép tính sau:
1,2 . 2,5;
125 : 0,25.
b) Thực hiện lại các phép tính ở câu a bằng cách đưa về phép tính với phân số thập phân.
Lời giải:
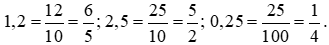
a) Đưa các số thập phân trên về phân số, ta được:

Ta thực hiện:


b) Đưa các số trên về phân số thập phân, ta được:

Ta thực hiện:


Lời giải bài tập Toán lớp 6 Bài 2: Các phép tính với số thập phân hay khác:
Xem thêm lời giải bài tập Toán lớp 6 Chân trời sáng tạo hay, chi tiết khác:
Xem thêm các tài liệu học tốt lớp 6 hay khác:
- Giải sgk Toán 6 Chân trời sáng tạo
- Giải SBT Toán 6 Chân trời sáng tạo
- Giải lớp 6 Chân trời sáng tạo (các môn học)
- Giải lớp 6 Kết nối tri thức (các môn học)
- Giải lớp 6 Cánh diều (các môn học)
Tủ sách VIETJACK shopee lớp 6-8 (2025):
Đã có app VietJack trên điện thoại, giải bài tập SGK, SBT Soạn văn, Văn mẫu, Thi online, Bài giảng....miễn phí. Tải ngay ứng dụng trên Android và iOS.
Theo dõi chúng tôi miễn phí trên mạng xã hội facebook và youtube:Loạt bài dựa trên đề bài và hình ảnh của sách giáo khoa Toán lớp 6 - bộ sách Chân trời sáng tạo (NXB Giáo dục). Bản quyền lời giải bài tập Toán lớp 6 Tập 1 & Tập 2 thuộc VietJack, nghiêm cấm mọi hành vi sao chép mà chưa được xin phép.
Nếu thấy hay, hãy động viên và chia sẻ nhé! Các bình luận không phù hợp với nội quy bình luận trang web sẽ bị cấm bình luận vĩnh viễn.
- Soạn Văn 6 (hay nhất) - CTST
- Soạn Văn 6 (ngắn nhất) - CTST
- Giải sgk Toán 6 - CTST
- Giải sgk Tiếng Anh 6 Global Success
- Giải sgk Tiếng Anh 6 Friends plus
- Giải sgk Tiếng Anh 6 Smart World
- Giải sgk Tiếng Anh 6 Explore English
- Giải sgk Khoa học tự nhiên 6 - CTST
- Giải sgk Lịch Sử 6 - CTST
- Giải sgk Địa Lí 6 - CTST
- Giải sgk Giáo dục công dân 6 - CTST
- Giải sgk Công nghệ 6 - CTST
- Giải sgk Hoạt động trải nghiệm 6 - CTST
- Giải sgk Âm nhạc 6 - CTST


Giải bài tập SGK & SBT
Tài liệu giáo viên
Sách
Khóa học
Thi online
Hỏi đáp

