Giải Toán lớp 6 trang 21 Tập 2 Kết nối tri thức
Với Giải Toán lớp 6 trang 21 Tập 2 trong Bài 26: Phép nhân và phép chia phân số Toán 6 Kết nối tri thức hay nhất, chi tiết sẽ giúp học sinh lớp 6 dễ dàng làm bài tập Toán 6 trang 21.
Giải Toán 6 trang 21 Tập 2 Kết nối tri thức
Hoạt động 3 trang 21 Toán lớp 6 Tập 2: Em hãy nhắc lại quy tắc chia hai phân số (có tử và mẫu đều dương), rồi tính

Lời giải:
Quy tắc chia hai phân số (có tử và mẫu đều dương), ta nhân số bị chia với phân số nghịch đảo của số chia.

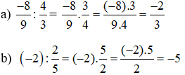
Luyện Tập 3 trang 21 Toán lớp 6 Tập 2: Tính:

Lời giải:

Vận dụng 2 trang 21 Toán lớp 6 Tập 2: Trong một công thức làm bánh, An cần 3/4 cốc đường để làm 9 cái bánh. Nếu An chỉ muốn làm 6 cái bánh thì cần bao nhiêu cốc đường?
Lời giải:
Một cái bánh cần số phần của cốc đường là:

Làm 6 cái bánh cần số phần cốc đường là:

Vậy An làm 6 cái bánh thì cần 1/2 cốc đường.
Bài 6.27 trang 21 Toán lớp 6 Tập 2: Thay dấu “?” bằng số thích hợp

Lời giải:

Ta có bảng sau:

Bài 6.28 trang 21 Toán lớp 6 Tập 2: Tính

Lời giải:


Bài 6.29 trang 21 Toán lớp 6 Tập 2: Tính một cách hợp lí.

Lời giải:

Bài 6.30 trang 21 Toán lớp 6 Tập 2: Mỗi buổi sáng, Nam thường đi xe đạp từ nhà đến trường với vận tốc 15km/h và hết 20 phút. Hỏi quãng đường từ nhà Nam đến trường dài bao nhiêu ki lô mét?
Lời giải:

Quãng đường từ nhà Nam đến trường dài số ki lô mét là:

Vậy quãng đường từ nhà Nam đến trường dài 5km.
Bài 6.31 trang 21 Toán lớp 6 Tập 2: Một hình chữ nhật có chiều dài là
cm, diện tích là
cm2. Tìm chiều rộng của hình chữ nhật.
Lời giải:
Chiều rộng của hình chữ nhật là:

Vậy chiều rộng của hình chữ nhật dài
cm
Bài 6.32 trang 21 Toán lớp 6 Tập 2: Tìm x, biết:

Lời giải:

Bài 6.33 trang 21 Toán lớp 6 Tập 2: Lớp 6A có 1/3 số học sinh thích môn Toán. Trong số các học sinh thích môn Toán, có 1/2 số học sinh thích môn Ngữ văn. Hỏi có bao nhiêu phần số học sinh lớp 6A thích cả hai môn Toán và Ngữ văn?
Lời giải:
Số phần số học sinh lớp 6A thích cả môn toán và môn ngữ văn là:

Vậy có 1/6 số học sinh lớp 6A thích cả môn Toán và Ngữ Văn.
Lời giải bài tập Toán lớp 6 Bài 26: Phép nhân và phép chia phân số hay khác:
Xem thêm lời giải bài tập Toán lớp 6 Kết nối tri thức hay, chi tiết khác:
Xem thêm các tài liệu học tốt lớp 6 hay khác:
- Giải sgk Toán 6 Kết nối tri thức
- Giải SBT Toán 6 Kết nối tri thức
- Giải lớp 6 Kết nối tri thức (các môn học)
- Giải lớp 6 Chân trời sáng tạo (các môn học)
- Giải lớp 6 Cánh diều (các môn học)
Tủ sách VIETJACK shopee lớp 6-8 (2025):
Đã có app VietJack trên điện thoại, giải bài tập SGK, SBT Soạn văn, Văn mẫu, Thi online, Bài giảng....miễn phí. Tải ngay ứng dụng trên Android và iOS.
Theo dõi chúng tôi miễn phí trên mạng xã hội facebook và youtube:Loạt bài dựa trên đề bài và hình ảnh của sách giáo khoa Toán lớp 6 - bộ sách Kết nối tri thức với cuộc sống (NXB Giáo dục). Bản quyền lời giải bài tập Toán lớp 6 Tập 1 & Tập 2 thuộc VietJack, nghiêm cấm mọi hành vi sao chép mà chưa được xin phép.
Nếu thấy hay, hãy động viên và chia sẻ nhé! Các bình luận không phù hợp với nội quy bình luận trang web sẽ bị cấm bình luận vĩnh viễn.
- Soạn Văn 6 (hay nhất) - KNTT
- Soạn Văn 6 (ngắn nhất) - KNTT
- Giải sgk Toán 6 - KNTT
- Giải sgk Tiếng Anh 6 Global Success
- Giải sgk Tiếng Anh 6 Friends plus
- Giải sgk Tiếng Anh 6 Smart World
- Giải sgk Tiếng Anh 6 Explore English
- Giải sgk Khoa học tự nhiên 6 - KNTT
- Giải sgk Lịch Sử 6 - KNTT
- Giải sgk Địa Lí 6 - KNTT
- Giải sgk Giáo dục công dân 6 - KNTT
- Giải sgk Hoạt động trải nghiệm 6 - KNTT
- Giải sgk Tin học 6 - KNTT
- Giải sgk Công nghệ 6 - KNTT
- Giải sgk Âm nhạc 6 - KNTT


Giải bài tập SGK & SBT
Tài liệu giáo viên
Sách
Khóa học
Thi online
Hỏi đáp

