Bài tập về các dạng hệ phương trình đặc biệt chọn lọc
Bài viết Bài tập về các dạng hệ phương trình đặc biệt với phương pháp giải chi tiết giúp học sinh ôn tập, biết cách làm bài tập về các dạng hệ phương trình đặc biệt.
Bài tập về các dạng hệ phương trình đặc biệt chọn lọc
(199k) Xem Khóa học Toán 10 KNTTXem Khóa học Toán 10 CDXem Khóa học Toán 10 CTST
Câu 1. Để hệ phương trình: có nghiệm , điều kiện cần và đủ là :
A. S2 – P < 0 B. S2 – P ≥ 0 C. S2 – 4P < 0 D. S2 – 4P ≥ 0
Câu 2. Cho hệ phương trình . Từ hệ phương trình này ta thu được phương trình sau đây ?
A. x2 + 10x + 24 = 0
B. x2 + 16x + 20 = 0
C. x2 + x – 4 = 0
D. Một kết quá khác
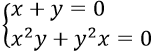
Câu 3. Hệ phương trình
có nghiệm là:
A. (2; 1) B. (3; 3) C. (2;1), (3;3) D. Vô nghiệm
Câu 4. Hệ phương trình có bao nhiêu nghiệm ?
A. 1 B. 2 C. 3 D. 4.
Câu 5. Hệ phương trình
A. có 2 nghiệm (2;3) và (1;5)
B. có 2 nghiệm (2;1) và (3;5)
C. có 1 nghiệm là (5;6)
D. có 4 nghiệm(2;3), (3;2), (1;5), (5;1)
Câu 6. Nghiệm của hệ phương trình
A.(3; 3; 2) B.(1; 2; 3) C.(1; 1; 1) D. (3; 3; 3)
Câu 7. Hệ phương trình có nghiệm là:
A. (3;2); (-2;1) B. (0;1), (1;0) C. (0;2), (2;0) D. (2;1/2); (1/2;2)
Câu 8. Hệ phương trình có nghiệm là :
A. (2;3) hoặc (3;2)
B. (1;2) hoặc (2;1)
C. (-2;-3) hoặc (-3;-2)
D. (-1;-2) hoặc (-2;-1)
Câu 9. Hệ phương trình có nghiệm là :
A. (3;2), (2;3)
B. (-3;-7), (-7;-3)
C. (3;2); (-3;-7)
D. (3;2), (2;3), (-3;-7), (-7;-3)
Câu 10. Hệ phương trình có nghiệm là (x; y) với x ≠ 0 và y ≠ 0 là:
A. (-√11;-√11); (√11;√11)
B. (0;√11); (√11;0)
C. (-√11; 0)
D. (√11; 0)
Câu 11. Hãy chỉ ra các cặp nghiệm khác 0 của hệ phương trình:
A. (3;3)
B. (2;2), (3;1), (-3;6)
C. (1;1), (2;2), (3;3)
D. (-2;-2), (1;-2), (-6;3)
Câu 12. Hệ phương trình có bao nhiêu nghiệm ?
A. 6 B. 4 C. 2 D. 0
Câu 13. Hệ phương trình có bao nhiêu cặp nghiệm (x; y) ?
A. 3 B. 2 C. 1 D. 0
Câu 14. Cho hệ phương trình . Khẳng định nào sau đây là đúng ?
A. Hệ phương trình có nghiệm với mọi m
B. Hệ phương trình có nghiệm ⇔ |m| ≥ √8
C. Hệ phương trình có nghiệm duy nhất ⇔ |m| ≥ 2
D. Hệ phương trình luôn vô nghiệm
Câu 15. Cho hệ phương trình :. Hệ thức biểu diễn x theo y rút ra từ hệ phương trình là ?
Câu 16. Nghiệm của hệ phương trình: là:
A. (1;2), (2;1)
B. (0;1), (1;0)
C. (0;2), (2;0)
D. (2;1/2), (1/2;2)
Câu 17. Hệ phương trìnhcó nghiệm là:
A. x bất kỳ, y = 2; x = 1, y = 3
B. x = 3, y = 2; x = 3, y = –1; x = 2, y = –1/2
C. x = 5, y = 2; x = 1, y = 3; x = 1/2, y = 2
D. x = 4, y = 2; x = 3, y = 1; x = 2, y = 1/2
Câu 18. Cho hệ phương trình:
Các cặp nghiệm (x; y) sao cho x, y đều là các số nguyên là:
A. (2;-2), (3;-3)
B. (-2;2), (-3;3)
C. (1;-1), (3;-3)
D. (-1;1), (-4;4)
Câu 19. Tìm số nghiệm của hệ phương trình sau:
A. 1 nghiệm B. 2 nghiệm C. 3 nghiệm D. 4 nghiệm
Câu 20. Số nghiệm của hệ phương trình: là:
A. 1 nghiệm B. 2 nghiệm C. 3 nghiệm D. 4 nghiệm
Câu 21. Cho hệ phương trình và các mệnh đề:
(I) Hệ có vô số nghiệm khi = -1
(II) Hệ có nghiệm khi > 3/2
(III) Hệ có nghiệm với mọi
Các mệnh đề nào đúng ?
A. Chỉ (I) B. Chỉ (II) C. Chỉ (III) D. Chỉ (I) và (III)
Câu 22. Với giá trị nào của m thì hệ: có nghiệm
A. m ≥ -6 B. m ≤ -6 C. m < -6 D. m ≥ 6
Câu 23. Hệ phương trình có đúng 1 nghiệm khi và chỉ khi :
A. m = √2
B. m = -√2
C. m = √2 hoặc m = -√2
D. m tùy ý
Đáp án và hướng dẫn giải
| Câu | 1 | 2 | 3 | 4 | 5 | 6 | 7 | 8 | 9 | 10 | 11 |
| Đáp án | D | D | C | B | D | D | D | B | D | A | A |
| Câu | 12 | 13 | 14 | 15 | 16 | 17 | 18 | 19 | 20 | 21 | 22 | 23 |
| Đáp án | C | B | B | D | A | A | C | B | D | D | A | C |
Câu 1. Chọn D
Ta có : x, y là nghiệm phương trình X2 - SX + P = 0
Hệ phương trình có nghiệm khi Δ = S2 - 4P ≥ 0
Câu 2. Chọn D
Ta có : y = 8-x ⇒ x2 - (8-x)2 + 6x + 2(8-x) = 0 ⇒ 20x - 48 = 0
Câu 3. Chọn C
Ta có : y = 2x-3 ⇒ x2 - 3x(2x-3) + (2x-3)2 + 2x + 3(2x-3) - 6 = 0
⇒ -x2 + 5x - 6 = 0 ⇒ x = 2; x = 3
Với x = 2 ⇒ y = 1
Với x = 3 ⇒ y = 3
Câu 4. Chọn B.
Ta có : y = 1-x ⇒ x2 + (1-x)2 = 5 ⇒ 2x2 - 2x - 4 = 0 ⇒ x = -1; x = 2
Vậy hệ phương trình đã cho có hai nghiệm
Câu 5. Chọn D
Đặt S = x+y, P = xy (S2 - 4P ≥ 0)
Hệ phương trình tương đương
⇒-S2 + 11S - 30 = 0 ⇒ S = 5; S = 6
Khi S = 5 thì P = 6 suy ra hệ có nghiệm (2;3),(3;2)
Khi S = 6 thì P = 5 suy ra hệ có nghiệm (1;5),(5;1)
Câu 6. Chọn D
Ta có : 1/x + 1/y + 1/z = 1 ⇔ xy + yz + zx = xyz ⇒ xyz = 27
⇒ x, y, z là nghiệm của phương trình X3 - 9X2 + 27X - 27 = 0 ⇔ X = 3
Vậy hệ phương trình có nghiệm (3; 3; 3)
Câu 7. Chọn D
Đặt S = x+y, P = xy (S2 - 4P ≥ 0)
Ta có :
⇒ S, P là nghiệm của phương trình X2 - (7/2)X + 5/2 = 0
⇔ X = 1; X = 5/2
Khi S = 1; P = 5/2 (loại)
Khi S = 5/2; P = 1 thì x, y là nghiệm của phương trình X2 - (5/2)X + 1 = 0
⇔ X = 2; X = 1/2
Vậy hệ phương trình có nghiệm (2;1/2); (1/2;2)
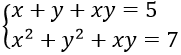
Câu 8. Chọn B
Đặt S = x+y, P = xy (S2 - 4P ≥ 0)
Ta có
⇒ S2 - (5-S) = 7 ⇒ S2 + S - 12 = 0 ⇒ S = 3; S = -4
Khi S = 3 ⇒ P = 2 thì x, y là nghiệm của phương trình X2 - 3X + 2 = 0
⇔ X = 1; X = 2
Khi S = 2 ⇒ P = 3 (loại)
Vậy hệ có nghiệm là (1; 2) hoặc (2; 1)
Câu 9. Chọn D
Đặt S = x+y, P = xy (S2 - 4P ≥ 0)
Ta có
⇒ S2 - 2(11-S) + 3S = 28 ⇒ S2 + 5S - 50 = 0 ⇒ S = 5; S = -10
Khi S = 5 ⇒ P = 6 thì x, y là nghiệm của phương trình X2 - 5X + 6 = 0
⇔ X = 2; X = 3
Khi S = -10 ⇒ P = 21 thì x, y là nghiệm của phương trình
X2 + 10X + 21 = 0 ⇔ X = -3; X = -7
Vậy hệ có nghiệm (3;2), (2;3), (-3;-7), (-7;-3)
Câu 10. Chọn A
Vậy hệ có nghiệm (-√11;-√11); (√11;√11).
Câu 11. Chọn A
Ta có :
⇒ x2 - y2 = 7x - 7y ⇒ (x-y)(x+y-7) = 0
Khi x = y thì x2 - 3x = 0 ⇔ x = 0; x = 3
Khi y = 7-x thì x2 - 7x + 14 = 0 (phương trình vô nghiệm)
Vậy hệ phương trình có nghiệm (3; 3)
Câu 12. Chọn C
Ta có :
⇒ x2 - y2 + y - x = 0 ⇒ (x - y)(x + y - 1) = 0
Khi x = y thì x2 + x - 6 = 0 ⇔ x = -3; x = 2
Khi y = 1 - x thì x2 - x + 7 = 0 (phương trình vô nghiệm)
Vậy hệ phương trình đã cho có hai nghiệm (-3; -3) và (2; 2)
Câu 13. Chọn B
Ta có :
⇒x2 - y2 = 4x - 4yx ⇒ (x-y)(x+y-1) = 0
Khi x = y thì x2 - 2x = 0 ⇔ x = 0; x = 2
Khi y = 4-x thì x2 - 4x + 4 = 0 ⇔ x = 2
Vậy hệ phương trình có 2 nghiệm (0;0), (2;2)
Câu 14. Chọn B
Câu 15. Chọn D
Câu 16. Chọn A
Đặt S = x+y, P = xy (S2 - 4P ≥ 0)
Ta có:
⇒ S, P là nghiệm của phương trình X2 - 5X + 6 = 0 ⇔ X = 2; X = 3
Khi S = 2, P = 3 (loại)
Khi S = 3, P = 2 thì x, y là nghiệm phương trình X2 - 3X + 2 = 0
⇔ X = 1; X = 2
Vậy nghiệm của hệ là (1;2), (2;1)
Câu 17. Chọn A
Khi y = 3 thì x = 1
Khi y = 2 thì x tuỳ ý
Câu 18. Chọn C
Phương trình (1)⇔ (x+y)(2x-y) = 0 ⇔
Trường hợp 1: x = -y thay vào (2) ta được x2 - 4x + 3 = 0 ⇔
Suy ra hệ phương trình có hai nghiệm là (1; -1), (3; -3)
Trường hợp 2: 2x = y thay vào (2) ta được -5x2 + 17x + 3 = 0 phương trình nay không có nghiệm nguyên
Vậy các cặp nghiệm (x; y) sao cho x, y đều là các số nguyên là (1; -1) và (3; -3)
Câu 19. Chọn B
Ta thấy x = 0 không thoả hệ phương trình
Xét x ≠ 0. Đặt x = ky và thay vào hệ ta được
Với t = 1/3 thì (*) ⇔ x2 = 9 ⇔
Với t = -145/18 thì (*) ⇔ x2 = -15.108/12655 : Phương trình vô nghiệm
Vậy
Câu 20. Chọn D
Dễ thấy x = 0 không thoả hệ
Với x ≠ 0, đặt y = tx , thay vào hệ ta được
Thay vào (*) ta được:
Vậy hệ phương trình có nghiệm (x;y) là (-4/√3,5/√3); (4/√3,-5/√3); (1;2); (-1;-2)
Câu 21. Chọn D
Khi m = -1 thì hệ trở thành
⇒ hệ có vô số nghiệm ⇒ (I) đúng
Ta có:
Câu 22. Chọn A
Dễ thấy x = 0 không thoả hệ
Với x ≠ 0, đặt y = tx , thay vào hệ ta được
Ta có: 3 + 2k + k2 = (k+1)2 + 2 > 0, ∀k ⇒ (*) luôn có nghiệm x với mọi k do đó hệ ban đầu có nghiệm khi và chỉ khi phương trình (**) có nghiệm ẩn k
Với m = 16: Phương trình (**) trở thành 44k + 88 = 0 ⇔ k = -2
Vậy m = 16 thỏa mãn
Với m ≠ 16: Phương trình (**) có nghiệm ⇔Δ'k ≥ 0
⇔(m+6)2 - (m-16)(m+6) ≥ 0 ⇔ 22(m+6) ≥ 0 ⇔ m ≥ -6
Vậy hệ phương trình có nghiệm khi và chỉ khi m ≥ -6
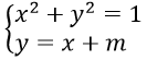
Câu 23. Chọn C
Ta có : x2 + (x+m)2 = 1 ⇔ 2x2 + 2mx + m2 - 1 = 0 (*)
Hệ phương trình có đúng 1 nghiệm khi phương trình (*) có đúng 1 nghiệm
⇒ Δ' = m2 - 2m2 + 2 = 0 ⇔ m = ±√2
(199k) Xem Khóa học Toán 10 KNTTXem Khóa học Toán 10 CDXem Khóa học Toán 10 CTST
Xem thêm các dạng bài tập Toán 10 có đáp án hay khác:
- Các dạng phương trình quy về phương trình bậc hai
- Bài tập phương trình quy về phương trình bậc hai
- Giải và biện luận hệ phương trình bậc nhất
- Bài tập giải và biện luận hệ phương trình bậc nhất
Để học tốt lớp 10 các môn học sách mới:
- Giải bài tập Lớp 10 Kết nối tri thức
- Giải bài tập Lớp 10 Chân trời sáng tạo
- Giải bài tập Lớp 10 Cánh diều
Tủ sách VIETJACK shopee lớp 10-11 (cả 3 bộ sách):
Đã có app VietJack trên điện thoại, giải bài tập SGK, SBT Soạn văn, Văn mẫu, Thi online, Bài giảng....miễn phí. Tải ngay ứng dụng trên Android và iOS.
Theo dõi chúng tôi miễn phí trên mạng xã hội facebook và youtube:Nếu thấy hay, hãy động viên và chia sẻ nhé! Các bình luận không phù hợp với nội quy bình luận trang web sẽ bị cấm bình luận vĩnh viễn.
- Giải Tiếng Anh 10 Global Success
- Giải Tiếng Anh 10 Friends Global
- Giải sgk Tiếng Anh 10 iLearn Smart World
- Giải sgk Tiếng Anh 10 Explore New Worlds
- Lớp 10 - Kết nối tri thức
- Soạn văn 10 (hay nhất) - KNTT
- Soạn văn 10 (ngắn nhất) - KNTT
- Soạn văn 10 (siêu ngắn) - KNTT
- Giải sgk Toán 10 - KNTT
- Giải sgk Vật lí 10 - KNTT
- Giải sgk Hóa học 10 - KNTT
- Giải sgk Sinh học 10 - KNTT
- Giải sgk Địa lí 10 - KNTT
- Giải sgk Lịch sử 10 - KNTT
- Giải sgk Kinh tế và Pháp luật 10 - KNTT
- Giải sgk Tin học 10 - KNTT
- Giải sgk Công nghệ 10 - KNTT
- Giải sgk Hoạt động trải nghiệm 10 - KNTT
- Giải sgk Giáo dục quốc phòng 10 - KNTT
- Lớp 10 - Chân trời sáng tạo
- Soạn văn 10 (hay nhất) - CTST
- Soạn văn 10 (ngắn nhất) - CTST
- Soạn văn 10 (siêu ngắn) - CTST
- Giải Toán 10 - CTST
- Giải sgk Vật lí 10 - CTST
- Giải sgk Hóa học 10 - CTST
- Giải sgk Sinh học 10 - CTST
- Giải sgk Địa lí 10 - CTST
- Giải sgk Lịch sử 10 - CTST
- Giải sgk Kinh tế và Pháp luật 10 - CTST
- Giải sgk Hoạt động trải nghiệm 10 - CTST
- Lớp 10 - Cánh diều
- Soạn văn 10 (hay nhất) - Cánh diều
- Soạn văn 10 (ngắn nhất) - Cánh diều
- Soạn văn 10 (siêu ngắn) - Cánh diều
- Giải sgk Toán 10 - Cánh diều
- Giải sgk Vật lí 10 - Cánh diều
- Giải sgk Hóa học 10 - Cánh diều
- Giải sgk Sinh học 10 - Cánh diều
- Giải sgk Địa lí 10 - Cánh diều
- Giải sgk Lịch sử 10 - Cánh diều
- Giải sgk Kinh tế và Pháp luật 10 - Cánh diều
- Giải sgk Tin học 10 - Cánh diều
- Giải sgk Công nghệ 10 - Cánh diều
- Giải sgk Hoạt động trải nghiệm 10 - Cánh diều
- Giải sgk Giáo dục quốc phòng 10 - Cánh diều


Giải bài tập SGK & SBT
Tài liệu giáo viên
Sách
Khóa học
Thi online
Hỏi đáp

