Bài tập phương trình quy về phương trình bậc hai (chọn lọc, có lời giải)
Bài viết Bài tập phương trình quy về phương trình bậc hai với phương pháp giải chi tiết giúp học sinh ôn tập, biết cách làm bài tập phương trình quy về phương trình bậc hai.
Bài tập phương trình quy về phương trình bậc hai (chọn lọc, có lời giải)
(199k) Xem Khóa học Toán 10 KNTTXem Khóa học Toán 10 CDXem Khóa học Toán 10 CTST
Câu 1. Khẳng định nào đúng về phương trình:
A. vô nghiệm
B. Có 2 nghiệm
C. Có 2 nghiệm
D. Có 4 nghiệm
Câu 2. Phương trình -x4 - 2(√2 - 1)x2 + (3 - 2√2) = 0 có bao nhiêu nghiệm?
A. 2 B. 3 C. 4 D. 0
Câu 3.Số nghiệm của phương trình 2x4 + 3x3 - 16x2 + 3x + 2 = 0 là:
A. 1 nghiệm B. 2 nghiệm C. 3 nghiệm D. 4 nghiệm
Câu 4. Số nghiệm của phương trình 2x4 - 21x3 + 74x2 - 105x + 50 = 0 là:
A. 1 nghiệm B. 2 nghiệm C. 3 nghiệm D. 4 nghiệm
Câu 5. Số nghiệm của phương trình (x+3)4 + (x-5)4 = 1312 là:
A. 1 nghiệm B. 2 nghiệm C. 3 nghiệm D. 4 nghiệm
Câu 6. Số nghiệm của phương trình (2x-1)(4x+5)(8x+3)(16x-15) = 99x2 là:
A. 1 nghiệm B. 2 nghiệm C. 3 nghiệm D. 4 nghiệm
Câu 7. Số nghiệm của phương trình 10√(x3 + 1) = 3(x2 + 2) là:
A. 1 nghiệm B. 2 nghiệm C. 3 nghiệm D. 4 nghiệm
Câu 8. Số nghiệm của phương trình 4x(x-1) = |2x-1| + 1 là:
A. 1 nghiệm B. 2 nghiệm C. 3 nghiệm D. 4 nghiệm
Câu 9. Số nghiệm của phương trình là:
A. 1 nghiệm B. 2 nghiệm C. 3 nghiệm D. 4 nghiệm
Câu 10. Cho phương trình ax4 + bx2 + c = 0 (1) (a ≠ 0). Đặt: Δ = b2-4ac, S = (-b)/a, P = c/a. Ta có (1) vô nghiệm khi và chỉ khi:
Câu 11. Cho phương trình x4 + x2 + m = 0. Khẳng định nào sau đây là đúng ?
A. Phương trình có nghiệm ⇔ m ≤ 1/4
B. Phương trình có nghiệmm ≤ 0
C. Phương trình vô nghiệm với mọi m
D. Phương trình có nghiệm duy nhất ⇔ m = -2
Câu 12. Có bao nhiêu giá trị nguyên của a để phương trình: có đúng 4 nghiệm.
A. 0 B. 1 C. 2 D. 3
Câu 13. Xác định m để phương trình :(x2 + 1/x2) - 2m(x + 1/x) + 1 + 2m = 0 có nghiệm
A. -3/4 ≤ m ≤ 3/4
B. m ≥ 3/4
C. m ≤ -3/4
Câu 14. Xác định k để phương trình: x2 + 4/x2 - 4(x - 2/x) + k - 1 = 0 có đúng hai nghiệm lớn hơn 1:
A. k < -8 B. -8 < k < 1 C. 0 < k < 1 D. Không tồn tại k
Câu 15. Tìm m để phương trình: (x2 + 2x + 4)2 – 2m(x2 + 2x + 4) + 4m – 1 = 0 có đúng hai nghiệm
A. 3 < m < 4
B. m < 2 - √3 ∨ m > 2 + √3
C. 2 + √3 < m < 4
Đáp án và hướng dẫn giải
| Câu | 1 | 2 | 3 | 4 | 5 | 6 | 7 | 8 | 9 | 10 | 11 | 12 | 13 | 14 | 15 |
| Đáp án | D | A | D | D | B | D | B | B | D | B | B | A | D | B | D |
Câu 1. Chọn D
Đặt t = x2 (t ≥ 0)
Phương trình (1) thành √2.t2 - 2(√2 + √3)t + √12 = 0 (2)
Ta có Δ' = 5 + 2√6 - 2√6 = 5
Ta có
Suy ra phương trình (2) có 2 nghiệm dương phân biệt
Vậy phương trình (1) có 4 nghiệm
Câu 2. Chọn A
Đặt t = x2 (t ≥ 0)
Phương trình (1) thành -t2 - 2(√2 - 1)t + (3 - 2√2) = 0 (2)
Phương trình (2) có a.c = (-1)(3 - 2√2) < 0
Suy ra phương trình (2) có 2 nghiệm trái dấu
Suy ra phương trình (2) có 2 nghiệm phân biệt
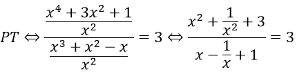
Câu 3. Chọn D
Ta thấy x = 0 không là nghiệm của phương trình
Với x ≠ 0 ta có PT ⇔ 2x2 + 3x - 16 + 3/x + 2/x2 = 0 ⇔ 2(x2 + 1/x2) + 3(x + 1/x) - 16 = 0
Đặt y = x + 1/x thì y2 - 2 = x2 + 1/x2
Phương trình trở thành: 2(y2 - 2) + 3y - 16 = 0 ⇔ 2y2 + 3y - 20 = 0
Phương trình này có nghiệm là y1 = -4, y2 = 5/2
Vì vậy x + 1/x = -4 và x+1/x = 5/2 tức là x2 + 4x + 1 = 0 và 2x2 - 5x + 2 = 0
Từ đó ta tìm đuợc các nghiệm là: x = -2 ± √3, x = 1/2, x = 2
Câu 4. Chọn D
Ta thấy x = 0 không phải là nghiệm của phương trình nên chia hai vế phương trình cho x2 ta được:
Vậy phương trình có nghiệm là x ∈ {1; 2; 5/2; 5}
Câu 5. Chọn B
Đặt x = t + 1, ta có: (t+4)4 + (t-4)4 = 1312
⇔ t4 + 96t2 - 400 = 0 ⇔ t2 = 4 ⇔ t = ±2
Suy ra x = 3, x = -1 là nghiệm của phương trình đã cho
Câu 6. Chọn D
Ta thấy x = 0 không là nghiệm của phương trình nên
Phương trình ⇔(32x2 + 52x + 15)(32x2 - 46x + 15) - 99x2 = 0
⇔(36x + 52 + 15/x)(32x - 46 + 15/x) - 99 = 0
Đặt t = 32x + 15/x. Ta có: (t + 52)(t - 46) - 99 = 0 ⇔ t2 + 6t - 2491 = 0
⇔ t = 47, t = -53
+ t = 47 ⇔ 32x2 - 47x + 15 = 0⇔ x = 1, x = 15/32
+ t = -53 ⇔ 32x2 - 53x + 15 = 0⇔ x = (53 ± √889)/64
Vậy tập nghiệm phương trình đã cho là: {1, 15/32, (53±√889)/64}
Câu 7. Chọn B
ĐKXĐ: x3 + 1 ≥ 0 ⇔ x ≥ -1
Phương trình ⇔
Đặt √(x+1) = a, √(x2 - x + 1) = b, a ≥ 0, b ≥ 0
Suy ra a2 + b2 = x2 + 2 khi đó
Phương trình trở thành
10ab = 3(a2 + b2) ⇔ 3a2 - 10ab + 3b2 = 0 ⇔ (3a-b)(a-3b) = 0
⇔
Với 3a = b ta có 3√(x+1) = √(x2 - x + 1) ⇔ 9(x+1) = x2 - x + 1
⇔ x2 - 10x - 8 = 0 ⇔ x = 5 ± √33 (thỏa mãn điều kiện)
Với a = 3b ta có √(x+1) = 3√(x2 - x + 1) ⇔ x + 1 = 9(x2 - x + 1)
⇔ 9x2 - 10x + 8 = 0 (phương trình vô nghiệm)
Vậy phương trình có nghiệm là x = 5 ± √33
Câu 8. Chọn B
Phương trình tương đương với 4x2 - 4x - |2x-1| - 1 = 0
Đặt t = |2x-1|, t ≥ 0 ⇒ t2 = 4x2 - 4x + 1 ⇒ 4x2 - 4x = t2 - 1
Phương trình trở thành t2 - 1 - t - 1 = 0 ⇔ t2 - t - 2 = 0
⇔
Vì t ≥ 0 ⇒ t = 2 nên |2x - 1| = 2
Vậy phương trình có nghiệm là x = 3/2 và x = -1/2
Câu 9. Chọn D
Điều kiện: x ∉ {0; (-1±√5)/2}
Đặt t = x - 1/x phương trình trở thành (t2+5)/(t+1) = 3
Từ đó phương trình có nghiệm là x = (1±√5)/2; x = 1±√2
Câu 10. Chọn B
Đặt t = x2 (t ≥ 0)
Phương trình (1) thành at2 + bt + c = 0 (2)
Phương trình (1) vô nghiệm
⇔ phương trình (2) vô nghiệm hoặc phương trình (2) có 2 nghiệm cùng âm
Câu 11. Chọn B
Đặt t = x2 (t ≥ 0)
Phương trình (1) thành t2 + t + m = 0 (2)
Phương trình (1)vô nghiệm
⇔ phương trình (2)vô nghiệm hoặc phương trình(2) có 2 nghiệm âm
Phương trình có nghiệm ⇔ m ≤ 0
Câu 12. Chọn A
Đặt t = x2/(x-1)
Phương trình(1) thành t2 + 2t + a = 0 (2)
Phương trình (1) có đúng 4 nghiệm
⇔ phương trình (2) có 2 nghiệm dương phân biệt
Câu 13. Chọn D
Điều kiện x ≠ 0
Đặt t = x + 1/x suy ra t ≤ -2 hoặc t ≥ 2. Phương trình đã cho trở thành
t2 - 2mt - 1 + 2m = 0, phương trình này luôn có hai nghiệm là
t1 = 1; t2 = 2m - 1. Theo yêu cầu bài toán ta suy ra
Câu 14. Chọn B
Ta có: x2 + 4/x2 - 4(x - 2/x) + k - 1 = 0 ⇔(x - 2/x)2 - 4(x - 2/x) + k + 3 = 0 (1)
Đặt t = x - 2/x, phương trình trở thành t2 - 4t + k + 3 = 0 (2)
Nhận xét : với mỗi nghiệm t của phương trình (2)cho ta hai nghiệm trái dấu của phương trình (1)
Ta có: Δ = 4 - (k+1) = 1 - k
Từ nhận xét trên, phương trình (1) có đúng hai nghiệm lớn hơn 1 khi và chỉ khi
Câu 15. Chọn D
Đặt t = x2 + 2x + 4 = (x+1)2 + 3 ≥ 3, phương trình trở thành
t2 - 2mt + 4m - 1 = 0 (2)
Nhận xét: Ứng với mỗi nghiệm t > 3 của phương trình (2) cho ta hai nghiệm của phương trình (1). Do đó phương trình (1) có đúng hai nghiệm khi phương trình (2) có đúng một nghiệm t > 3
(199k) Xem Khóa học Toán 10 KNTTXem Khóa học Toán 10 CDXem Khóa học Toán 10 CTST
Xem thêm các dạng bài tập Toán 10 có đáp án hay khác:
- Giải và biện luận hệ phương trình bậc nhất
- Bài tập giải và biện luận hệ phương trình bậc nhất
- Các dạng hệ phương trình đặc biệt
- Bài tập các dạng hệ phương trình đặc biệt
Để học tốt lớp 10 các môn học sách mới:
- Giải bài tập Lớp 10 Kết nối tri thức
- Giải bài tập Lớp 10 Chân trời sáng tạo
- Giải bài tập Lớp 10 Cánh diều
Tủ sách VIETJACK shopee lớp 10-11 (cả 3 bộ sách):
Đã có app VietJack trên điện thoại, giải bài tập SGK, SBT Soạn văn, Văn mẫu, Thi online, Bài giảng....miễn phí. Tải ngay ứng dụng trên Android và iOS.
Theo dõi chúng tôi miễn phí trên mạng xã hội facebook và youtube:Nếu thấy hay, hãy động viên và chia sẻ nhé! Các bình luận không phù hợp với nội quy bình luận trang web sẽ bị cấm bình luận vĩnh viễn.
- Giải Tiếng Anh 10 Global Success
- Giải Tiếng Anh 10 Friends Global
- Giải sgk Tiếng Anh 10 iLearn Smart World
- Giải sgk Tiếng Anh 10 Explore New Worlds
- Lớp 10 - Kết nối tri thức
- Soạn văn 10 (hay nhất) - KNTT
- Soạn văn 10 (ngắn nhất) - KNTT
- Soạn văn 10 (siêu ngắn) - KNTT
- Giải sgk Toán 10 - KNTT
- Giải sgk Vật lí 10 - KNTT
- Giải sgk Hóa học 10 - KNTT
- Giải sgk Sinh học 10 - KNTT
- Giải sgk Địa lí 10 - KNTT
- Giải sgk Lịch sử 10 - KNTT
- Giải sgk Kinh tế và Pháp luật 10 - KNTT
- Giải sgk Tin học 10 - KNTT
- Giải sgk Công nghệ 10 - KNTT
- Giải sgk Hoạt động trải nghiệm 10 - KNTT
- Giải sgk Giáo dục quốc phòng 10 - KNTT
- Lớp 10 - Chân trời sáng tạo
- Soạn văn 10 (hay nhất) - CTST
- Soạn văn 10 (ngắn nhất) - CTST
- Soạn văn 10 (siêu ngắn) - CTST
- Giải Toán 10 - CTST
- Giải sgk Vật lí 10 - CTST
- Giải sgk Hóa học 10 - CTST
- Giải sgk Sinh học 10 - CTST
- Giải sgk Địa lí 10 - CTST
- Giải sgk Lịch sử 10 - CTST
- Giải sgk Kinh tế và Pháp luật 10 - CTST
- Giải sgk Hoạt động trải nghiệm 10 - CTST
- Lớp 10 - Cánh diều
- Soạn văn 10 (hay nhất) - Cánh diều
- Soạn văn 10 (ngắn nhất) - Cánh diều
- Soạn văn 10 (siêu ngắn) - Cánh diều
- Giải sgk Toán 10 - Cánh diều
- Giải sgk Vật lí 10 - Cánh diều
- Giải sgk Hóa học 10 - Cánh diều
- Giải sgk Sinh học 10 - Cánh diều
- Giải sgk Địa lí 10 - Cánh diều
- Giải sgk Lịch sử 10 - Cánh diều
- Giải sgk Kinh tế và Pháp luật 10 - Cánh diều
- Giải sgk Tin học 10 - Cánh diều
- Giải sgk Công nghệ 10 - Cánh diều
- Giải sgk Hoạt động trải nghiệm 10 - Cánh diều
- Giải sgk Giáo dục quốc phòng 10 - Cánh diều


Giải bài tập SGK & SBT
Tài liệu giáo viên
Sách
Khóa học
Thi online
Hỏi đáp

