Bài tập giải và biện luận hệ phương trình bậc nhất chọn lọc
Bài viết Bài tập giải và biện luận hệ phương trình bậc nhất với phương pháp giải chi tiết giúp học sinh ôn tập, biết cách làm bài tập giải và biện luận hệ phương trình bậc nhất.
Bài tập giải và biện luận hệ phương trình bậc nhất chọn lọc
(199k) Xem Khóa học Toán 10 KNTTXem Khóa học Toán 10 CDXem Khóa học Toán 10 CTST
Câu 1. Hệ phương trìnhcó nghiệm
A. (x; y) = (√3; -2√2)
B. (x; y) = (-√3; 2√2)
C. (x; y) = (√3; 2√2)
D. (x; y) = (-√3; 2√2)
Câu 2.Nghiệm của hệ phương trìnhlà:
Câu 3. Hệ phương trình: . Có nghiệm là :
A. (1/2; 13/2) B. (-1/2; -13/2) C. (13/2; 1/2) D. (-13/2; -1/2)
Câu 4. Hệ phương trình: có nghiệm là ?
A. x = -3; y = 2
B. x = 2; y = -1
C. x = 4; y = -3
D. x = -4; y = 3
Câu 5. Hệ phương trình: có nghiệm là ?
A. (x; y) = (2/3; 4)
B. (x; y) = (-2/3; 4)
C. (x; y) = (2; 4)
D. (x; y) = (-2; -4)
Câu 6. Hệ phương trình: có nghiệm là ?
A. (x; y) = (-1; -1/2)
B. (x; y) = (3/4; -2/3)
C. (x; y) = (-3/4; -2/3)
D. (x; y) = (1; 1/2)
Câu 7. Bộ (x; y; z) = (1; 0; 1) là nghiệm của hệ phương trình nào sau đây ?
Câu 8. Gọi (x0; y0; z0) là nghiệm của hệ phương trình
. Tính giá trị của biểu thức P = x02 + y02 + z02
A. P = 1 B. P = 2 C. P = 3 D. P = 14
Câu 9. Hệ phương trìnhcó nghiệm duy nhất khi
A. m ≠ 1 B. m ≠ -1 C. m ≠ 0 D. m ≠ ±1
Câu 10. Cho hệ phương trình. Để hệ này vô nghiệm, điều kiện thích hợp cho tham số m là :
A. m = 0
B. m = 1 hay m = 2
C. m = -1 hay m = 1/2
D. m = -1/2 hay m = 3
Câu 11. Với giá trị nào của m thì hai đường thẳng sau trùng nhau (d1): (m2 – 1)x – y + 2m + 5 = 0 và (d2): 3x – y + 1 = 0
A. m = -2
B. m = 2
C. m = 2 hay m = -2
D. Không có giá trị m
Câu 12. Cho hệ phương trình. Xét các mệnh đề sau
I. Hệ phương trình có nghiệm duy nhất khi a ≠ -3
II. Hệ có vô số nghiệm khi a = -3
III. Hệ vô nghiệm khi a = -3
Mệnh đề nào sau đây là đúng?
A. Chỉ I B. Chỉ II C. I và II D. I và III
Câu 13. Cho hệ phương trình: . Các giá trị thích hợp của tham số m để hệ phương trình có nghiệm nguyên là:
A. m = 0, m = –2
B. m = 1, m = 2, m = 3
C. m = 0, m = 2
D. m = 1, m = –3, m = 4
Câu 14. Cho hệ phương trình. Xác định m để hệ phương trình có nghiệm.
A. m ≠ -4 B. m = -4 C. m = 3 D. m ≠ -4.
Câu 15. Tìm giá trị thực của tham số m để hệ phương trình
vô nghiệm.
A. m = -1 B. m = 0 C. m = 1 D. m = 1
Câu 16. Các cặp nghiệm (x; y) của hệ phương trình : là :
A. (1; 1) hay (11/19; 23/19)
B. (-1; -1) hay (-11/19; 23/19)
C. (1; -1) hay (-11/19; 23/19)
D. (-1; 1) hay (11/19; 23/19)
Câu 17. Cho hệ phương trình :. Để hệ phương trình có nghiệm âm, giá trị cần tìm của tham số m là
A. m < 2 hay m > 5/2
B. 2 < m < 5/2
C. m < -5/2 hay m > -2
D. -5/2 < m < -1
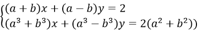
Câu 18. Cho hệ phương trình:
. Với a ≠ ±b, a.b ≠ 0, hệ có nghiệm duy nhất bằng :
Câu 19. Có ba lớp học sinh 10A, 10B, 10C gồm 128 em cùng tham gia lao động trồng cây. Mỗi em lớp 10A trồng được 3 cây bạch đàn và 4 cây bàng. Mỗi em lớp 10B trồng được 2 cây bạch đàn và 5 cây bàng. Mỗi em lớp 10C trồng được 6 cây bạch đàn. Cả ba lớp trồng được là 476 cây bạch đàn và 375 cây bàng. Hỏi mỗi lớp có bao nhiêu học sinh ?
A. 10A có 40 em, lớp 10B có 43 em, lớp 10C có 45 em
B. 10A có 45 em, lớp 10B có 43 em, lớp 10C có 40 em
C. 10A có 45 em, lớp 10B có 40 em, lớp 10C có 43 em
D. 10A có 43 em, lớp 10B có 40 em, lớp 10C có 45 em
Câu 20. Một đoàn xe tải chở 290 tấn xi măng cho một công trình xây đập thủy điện. Đoàn xe gồm ba loại, xe chở 3 tấn, xe chở 5 tấn và xe chở 7,5 tấn. Nếu dùng tất cả xe 7,5 tấn chở ba chuyến thì được số xi măng bằng tổng số xi măng do xe 5 tấn chở ba chuyến và xe 3 tấn chở hai chuyến. Hỏi số xe mỗi loại ?
A. 18 xe chở 3 tấn, 19 xe chở 5 tấn và 20 xe chở 7,5 tấn
B. 20 xe chở 3 tấn, 19 xe chở 5 tấn và 18 xe chở 7,5 tấn
C. 19 xe chở 3 tấn, 20 xe chở 5 tấn và 18 xe chở 7,5 tấn
D. 20 xe chở 3 tấn, 18 xe chở 5 tấn và 19 xe chở 7,5 tấn
Đáp án và hướng dẫn giải
| Câu | 1 | 2 | 3 | 4 | 5 | 6 | 7 | 8 | 9 | 10 |
| Đáp án | C | D | B | B | A | C | C | C | D | A |
| Câu | 11 | 12 | 13 | 14 | 15 | 16 | 17 | 18 | 19 | 20 |
| Đáp án | A | D | A | A | A | C | D | B | A | B |
Câu 1. Chọn C
Câu 2. Chọn D
Từ phương trình z + 2x = 3 suy ra z = 3 - 2x. Thay vào hai phương trình còn lại ta được hệ phương trình, ta được
Từ đó ta được z = 3 - 2.1 = 1.
Câu 3. Chọn B
Đặt u = x + y, v = x - y
Ta có hệ
Câu 4. Chọn B
Câu 5. Chọn A
ĐK: xy ≠ 0. Đặt 1/x = a; 2/y = b
⇒
Vậy nghiệm của hệ phương trình là (x; y) = (2/3; 4)
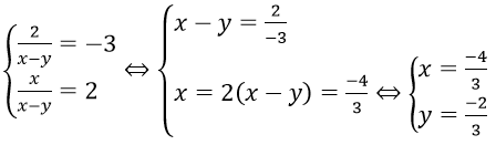
Câu 6. Chọn C
ĐK: x ≠ y. Khi đó HPT
Câu 7. Chọn C
Bằng cách sử dụng máy tính bỏ túi ta được (x; y; z) = (1; 0; 1) là nghiệm của hệ phương trình
Câu 8. Chọn C
Ta có
Phương trình (2)⇔ x = y - 2z + 2. Thay vào (1), ta được
3(y - 2z + 2) + y - 3z = 1 ⇔ 4y - 9z = -5 (*)
Phương trình (3) ⇔ x = 2y + 2z - 3. Thay vào (1), ta được
3(2y + 2z - 3) + y - 3z = 1 ⇔ 7y + 3z = 10 (**)
Từ (*) và (**), ta có
Vậy hệ phương trình có nghiệm (x; y; z) = (1; 1; 1) ⇒ P = 12 + 12 + 12 = 3
Câu 9. Chọn D
Hệ có nghiệm duy nhất ⇔ = -1 + m2 ≠ 0 ⇔ m ≠ ±1
Câu 10. Chọn A
Ta có : Hệ trở thành ⇒ D = m(m+1) - m(m+4) = -3m
Hệ vô nghiệm ⇒ D = 0 ⇒ m = 0
Thử lại thấy m = 0 thoả mãn điều kiện
Câu 11. Chọn A
Ta có : Hai đường thẳng d1 và d2 trùng nhau khi
Câu 12. Chọn D
Ta có
Khi D = -a-3 ≠ 0⇔ a ≠ -3 khi đó hệ có nghiệm duy nhất
Khi D = -a-3 = 0⇔ a = -3 thì Dx = 5 ≠ 0 nên hệ vô nghiệm
Câu 13. Chọn A
Ta có: D = m2 - 1 , Dx = m - 1, Dy = 2m2 + m - 3
Hệ phương trình có nghiệm x = Dx/D = 1/(m+1), y = Dy/D = (2m-1)/(m+1)
Hệ phương trình có nghiệm nguyên khi m = 0; m = -2
Câu 14. Chọn A
Ta có:
thế vào PT (3) ta có:
Do vậy để hệ phương trình có nghiệm ⇔ (-m)/2 - 2 ≠ 0 ⇔ m ≠ -4
Câu 15. Chọn A
Từ hệ phương trình đã cho suy ra z = 1 - my
Thay vào hai phương trình còn lại, ta được
Hệ phương trình đã cho vô nghiệm khi
Câu 16. Chọn C
Khi x, y ≥ 0 thì hệ trở thành
Khi x, y < 0 thì hệ trở thành
Khi x ≥ 0, y < 0 thì hệ trở thành
Khi x < 0, y ≥ 0 thì hệ trở thành
Câu 17. Chọn D
Ta có : D = m2 - m - 2, Dx = -2m2 - 2m - 6, Dy = 2m2 + 3m - 5
Hệ phương trình có nghiệm khi D ≠ 0 ⇔ m ≠ -1; m ≠ 2
Hệ có nghiệm
Câu 18. Chọn B
Ta có : D = (a+b)(a3-b3) - (a3+b3)(a-b) = 2ab(a2-b2)
Dx = 2(a3-b3) - 2(a2+b2)(a-b) = 2ab(a-b)
Dy = (a-b)2(a2+b2) - 2(a3-b3)= 2ab(a+b)
Hệ có nghiệm
Câu 19. Chọn A
Gọi số học sinh của lớp 10A, 10B, 10C lần lượt là x, y, z
Điều kiện: x, y, z nguyên dương
Theo đề bài, ta lập được hệ phương trình
Giải hệ ta được x = 40, y = 43, z = 45
Câu 20. Chọn B
Gọi x là số xe tải chở 3 tấn, y là số xe tải chở 5 tấn và z là số xe tải chở 7,5 tấn
Điều kiện: x, y, z nguyên dương
Theo giả thiết của bài toán ta có
Giải hệ ta được x = 20, y = 19, z = 18
(199k) Xem Khóa học Toán 10 KNTTXem Khóa học Toán 10 CDXem Khóa học Toán 10 CTST
Xem thêm các dạng bài tập Toán 10 có đáp án hay khác:
- Phương trình chứa ẩn dưới dấu căn
- Bài tập phương trình chứa ẩn dưới dấu căn
- Các dạng phương trình quy về phương trình bậc hai
- Bài tập phương trình quy về phương trình bậc hai
Để học tốt lớp 10 các môn học sách mới:
- Giải bài tập Lớp 10 Kết nối tri thức
- Giải bài tập Lớp 10 Chân trời sáng tạo
- Giải bài tập Lớp 10 Cánh diều
Tủ sách VIETJACK shopee lớp 10-11 (cả 3 bộ sách):
Đã có app VietJack trên điện thoại, giải bài tập SGK, SBT Soạn văn, Văn mẫu, Thi online, Bài giảng....miễn phí. Tải ngay ứng dụng trên Android và iOS.
Theo dõi chúng tôi miễn phí trên mạng xã hội facebook và youtube:Nếu thấy hay, hãy động viên và chia sẻ nhé! Các bình luận không phù hợp với nội quy bình luận trang web sẽ bị cấm bình luận vĩnh viễn.
- Giải Tiếng Anh 10 Global Success
- Giải Tiếng Anh 10 Friends Global
- Giải sgk Tiếng Anh 10 iLearn Smart World
- Giải sgk Tiếng Anh 10 Explore New Worlds
- Lớp 10 - Kết nối tri thức
- Soạn văn 10 (hay nhất) - KNTT
- Soạn văn 10 (ngắn nhất) - KNTT
- Soạn văn 10 (siêu ngắn) - KNTT
- Giải sgk Toán 10 - KNTT
- Giải sgk Vật lí 10 - KNTT
- Giải sgk Hóa học 10 - KNTT
- Giải sgk Sinh học 10 - KNTT
- Giải sgk Địa lí 10 - KNTT
- Giải sgk Lịch sử 10 - KNTT
- Giải sgk Kinh tế và Pháp luật 10 - KNTT
- Giải sgk Tin học 10 - KNTT
- Giải sgk Công nghệ 10 - KNTT
- Giải sgk Hoạt động trải nghiệm 10 - KNTT
- Giải sgk Giáo dục quốc phòng 10 - KNTT
- Lớp 10 - Chân trời sáng tạo
- Soạn văn 10 (hay nhất) - CTST
- Soạn văn 10 (ngắn nhất) - CTST
- Soạn văn 10 (siêu ngắn) - CTST
- Giải Toán 10 - CTST
- Giải sgk Vật lí 10 - CTST
- Giải sgk Hóa học 10 - CTST
- Giải sgk Sinh học 10 - CTST
- Giải sgk Địa lí 10 - CTST
- Giải sgk Lịch sử 10 - CTST
- Giải sgk Kinh tế và Pháp luật 10 - CTST
- Giải sgk Hoạt động trải nghiệm 10 - CTST
- Lớp 10 - Cánh diều
- Soạn văn 10 (hay nhất) - Cánh diều
- Soạn văn 10 (ngắn nhất) - Cánh diều
- Soạn văn 10 (siêu ngắn) - Cánh diều
- Giải sgk Toán 10 - Cánh diều
- Giải sgk Vật lí 10 - Cánh diều
- Giải sgk Hóa học 10 - Cánh diều
- Giải sgk Sinh học 10 - Cánh diều
- Giải sgk Địa lí 10 - Cánh diều
- Giải sgk Lịch sử 10 - Cánh diều
- Giải sgk Kinh tế và Pháp luật 10 - Cánh diều
- Giải sgk Tin học 10 - Cánh diều
- Giải sgk Công nghệ 10 - Cánh diều
- Giải sgk Hoạt động trải nghiệm 10 - Cánh diều
- Giải sgk Giáo dục quốc phòng 10 - Cánh diều


Giải bài tập SGK & SBT
Tài liệu giáo viên
Sách
Khóa học
Thi online
Hỏi đáp

