Cách giải phương trình chứa ẩn dưới dấu căn (cực hay, chi tiết)
Bài viết Cách giải phương trình chứa ẩn dưới dấu căn với phương pháp giải chi tiết giúp học sinh ôn tập, biết cách làm bài tập Cách giải phương trình chứa ẩn dưới dấu căn.
Cách giải phương trình chứa ẩn dưới dấu căn (cực hay, chi tiết)
(199k) Xem Khóa học Toán 10 KNTTXem Khóa học Toán 10 CDXem Khóa học Toán 10 CTST
Lý thuyết & Phương pháp giải
Để giải phương trình chứa ẩn dưới dấu căn ta tìm cách để khử dấu căn, bằng cách:
– Nâng luỹ thừa hai vế.
– Phân tích thành tích.
– Đặt ẩn phụ.
Các dạng phương trình sau ta có thể giải bằng cách thực hiện phép biến đổi tương đương:
Phương trình có dạng a.f(x) + b.√(f(x) ) + c = 0 ta đặt √(f(x)) = t
Ngoài ra ta còn có phương pháp phân tích thành tích bằng cách nhân liên hợp
Với A, B không đồng thời bằng không
Ví dụ minh họa
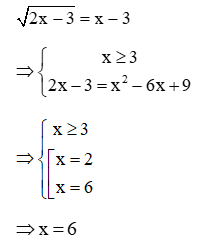
Bài 1: Giải phương trình sau √(2x-3) = x-3
Lời giải:
Ta có
Bài 2: Giải phương trình sau
Lời giải:
Phương trình tương đương với phương trình
Vậy phương trình có nghiệm là x = 0 và x = 1
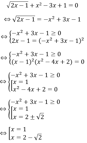
Bài 3: Giải phương trình sau √(2x-1) + x2 - 3x + 1 = 0
Lời giải:
Ta có
Vậy phương trình có nghiệm là x = 1 và x = 2 - √2
Bài 4: Giải phương trình sau x2 + √(x2 + 11) = 31
Lời giải:
Đặt t = √(x2 + 11), t ≥ 0. Khi đó phương trình đã cho trở thành:
t2 + t - 42 = 0 ⇔
Vì t ≥ 0 ⇒ t = 6, thay vào ta có √(x2 + 11) = 6
x2 + 11 = 36 ⇔ x = ±5
Vậy phương trình có nghiệm là x = ±5
Bài 5: Giải phương trình sau
Lời giải:
Đặt t = √(3x2 - 2x + 2), điều kiện t ≥ 0. Khi đó √(3x2 - 2x + 9) = √(t2 + 7)
Phương trình trở thành √(t2 + 7) + t = 7
Vậy phương trình có hai nghiệm x = (1 ± √22)/3
Bài tập tự luyện
Bài 1. Giải phương trình .
Hướng dẫn giải:
Điều kiện xác định
5x + 6 = 4x + 3
x = -3
Ta thấy x = –3 không thỏa mãn điều kiện xác định nên phương trình vô nghiệm.
Bài 2. Giải phương trình .
Hướng dẫn giải:
Xét phương trình x2 + 3x + 2 = 0, phương trình có 2 nghiệm phân biệt x = –1 (thỏa mãn) và x = –2 (thỏa mãn)
Vậy phương trình có 2 nghiệm là x = –1 và x = –2.
Bài 3. Giải phương trình .
Hướng dẫn giải:
Điều kiện xác định: x ≥ –1
Đặt
Ta có
Khi đó phương trình đã cho trở thành: t2 – 1 – t – 5 = 0 hay t2 – t – 6 = 0.
Xét phương trình t2 – t – 6 = 0 có: ∆= (–1)2 – 4.1.(–6) = 25.
Phương trình có hai nghiệm phân biệt t = 3 (thỏa mãn) và t = –2 (không thỏa mãn).
Với t = 3 ta có x = 8.
Vậy phương trình có nghiệm là x = 8.
Bài 4. Giải phương trình:
Hướng dẫn giải:
Điều kiện xác định: x > –4
Ta có
(thỏa mãn)
Vậy phương trình có nghiệm
Bài 5. Giải phương trình .
Hướng dẫn giải:
Vậy phương trình có nghiệm x = 6.
Bài 6. Giải phương trình .
Bài 7. Giải phương trình .
Bài 8. Giải phương trình .
Bài 9. Giải phương trình .
Bài 10. Giải phương trình .
(199k) Xem Khóa học Toán 10 KNTTXem Khóa học Toán 10 CDXem Khóa học Toán 10 CTST
Xem thêm các dạng bài tập Toán 10 có đáp án hay khác:
- Các dạng phương trình quy về phương trình bậc hai
- Bài tập phương trình quy về phương trình bậc hai
- Giải và biện luận hệ phương trình bậc nhất
- Bài tập giải và biện luận hệ phương trình bậc nhất
Để học tốt lớp 10 các môn học sách mới:
- Giải bài tập Lớp 10 Kết nối tri thức
- Giải bài tập Lớp 10 Chân trời sáng tạo
- Giải bài tập Lớp 10 Cánh diều
Tủ sách VIETJACK shopee lớp 10-11 (cả 3 bộ sách):
Đã có app VietJack trên điện thoại, giải bài tập SGK, SBT Soạn văn, Văn mẫu, Thi online, Bài giảng....miễn phí. Tải ngay ứng dụng trên Android và iOS.
Theo dõi chúng tôi miễn phí trên mạng xã hội facebook và youtube:Nếu thấy hay, hãy động viên và chia sẻ nhé! Các bình luận không phù hợp với nội quy bình luận trang web sẽ bị cấm bình luận vĩnh viễn.
- Giải Tiếng Anh 10 Global Success
- Giải Tiếng Anh 10 Friends Global
- Giải sgk Tiếng Anh 10 iLearn Smart World
- Giải sgk Tiếng Anh 10 Explore New Worlds
- Lớp 10 - Kết nối tri thức
- Soạn văn 10 (hay nhất) - KNTT
- Soạn văn 10 (ngắn nhất) - KNTT
- Soạn văn 10 (siêu ngắn) - KNTT
- Giải sgk Toán 10 - KNTT
- Giải sgk Vật lí 10 - KNTT
- Giải sgk Hóa học 10 - KNTT
- Giải sgk Sinh học 10 - KNTT
- Giải sgk Địa lí 10 - KNTT
- Giải sgk Lịch sử 10 - KNTT
- Giải sgk Kinh tế và Pháp luật 10 - KNTT
- Giải sgk Tin học 10 - KNTT
- Giải sgk Công nghệ 10 - KNTT
- Giải sgk Hoạt động trải nghiệm 10 - KNTT
- Giải sgk Giáo dục quốc phòng 10 - KNTT
- Lớp 10 - Chân trời sáng tạo
- Soạn văn 10 (hay nhất) - CTST
- Soạn văn 10 (ngắn nhất) - CTST
- Soạn văn 10 (siêu ngắn) - CTST
- Giải Toán 10 - CTST
- Giải sgk Vật lí 10 - CTST
- Giải sgk Hóa học 10 - CTST
- Giải sgk Sinh học 10 - CTST
- Giải sgk Địa lí 10 - CTST
- Giải sgk Lịch sử 10 - CTST
- Giải sgk Kinh tế và Pháp luật 10 - CTST
- Giải sgk Hoạt động trải nghiệm 10 - CTST
- Lớp 10 - Cánh diều
- Soạn văn 10 (hay nhất) - Cánh diều
- Soạn văn 10 (ngắn nhất) - Cánh diều
- Soạn văn 10 (siêu ngắn) - Cánh diều
- Giải sgk Toán 10 - Cánh diều
- Giải sgk Vật lí 10 - Cánh diều
- Giải sgk Hóa học 10 - Cánh diều
- Giải sgk Sinh học 10 - Cánh diều
- Giải sgk Địa lí 10 - Cánh diều
- Giải sgk Lịch sử 10 - Cánh diều
- Giải sgk Kinh tế và Pháp luật 10 - Cánh diều
- Giải sgk Tin học 10 - Cánh diều
- Giải sgk Công nghệ 10 - Cánh diều
- Giải sgk Hoạt động trải nghiệm 10 - Cánh diều
- Giải sgk Giáo dục quốc phòng 10 - Cánh diều


Giải bài tập SGK & SBT
Tài liệu giáo viên
Sách
Khóa học
Thi online
Hỏi đáp

