Cách giải các dạng hệ phương trình đặc biệt (cực hay, chi tiết)
Bài viết Cách giải các dạng hệ phương trình đặc biệt với phương pháp giải chi tiết giúp học sinh ôn tập, biết cách làm bài tập Cách giải các dạng hệ phương trình đặc biệt.
Cách giải các dạng hệ phương trình đặc biệt (cực hay, chi tiết)
(199k) Xem Khóa học Toán 10 KNTTXem Khóa học Toán 10 CDXem Khóa học Toán 10 CTST
Lý thuyết & Phương pháp giải
DẠNG TOÁN 1: HỆ GỒM MỘT PHƯƠNG TRÌNH BẬC NHẤT VÀ MỘT BẬC HAI
1. Phương pháp giải
Sử dụng phương pháp thế
- Từ phương trình bậc nhất rút một ẩn theo ẩn kia.
- Thế vào phương trình bậc hai để đưa về phương trình bậc hai một ẩn.
- Số nghiệm của hệ tuỳ theo số nghiệm của phương trình bậc hai này.
DẠNG TOÁN 2: HỆ PHƯƠNG TRÌNH ĐỐI XỨNG
1. Phương pháp giải
a. Hệ đối xứng loại 1
Hệ phương trình đối xứng loại 1 là hệ phương trình có dạng:
(Có nghĩa là khi ta hoán vị giữa x và y thì f(x, y) và g(x, y) không thay đổi).
Cách giải
- Đặt S = x + y, P = xy
- Đưa hệ phương trình (I) về hệ (I') với các ẩn là S và P.
- Giải hệ (I') ta tìm được S và P
- Tìm nghiệm (x; y) bằng cách giải phương trình: X2 - SX + P = 0
b. Hệ đối xứng loại 2
Hệ phương trình đối xứng loại 2 là hệ phương trình có dạng:
(Có nghĩa là khi hoán vị giữa x và y thì (1) biến thành (2) và ngược lại)
- Trừ (1) và (2) vế theo vế ta được: (II) ⇔
- Biến đổi (3) về phương trình tích: (3) ⇔ (x-y).g(x,y) = 0 ⇔
- Như vậy (II) ⇔
- Giải các hệ phương trình trên ta tìm được nghiệm của hệ (II)
c. Chú ý: Hệ phương trình đối xứng loại 1, 2 nếu có nghiệm là (x0; y0) thì (y0; x0) cũng là một nghiệm của nó
DẠNG TOÁN 3: HỆ PHƯƠNG TRÌNH ĐẲNG CẤP BẬC HAI
1. Phương pháp giải
Hệ phương trình đẳng cấp bậc hai là hệ phương trình có dạng:
- Giải hệ khi x = 0 (hoặc y = 0)
- Khi x ≠ 0, đặt y = tx. Thế vào hệ (I) ta được hệ theo k và x. Khử x ta tìm được phương trình bậc hai theo k. Giải phương trình này ta tìm được k, từ đó tìm được (x; y)
Ví dụ minh họa
Bài 1: Giải hệ phương trình
Lời giải:
a. Đặt S = x + y, P = xy (S2 - 4P ≥ 0)
Ta có :
⇒S2 - 2(5-S) = 5 ⇒ S2 + 2S - 15 = 0
⇒ S = -5; S = 3
S = -5⇒ P = 10 (loại)
S = 3⇒ P = 2(nhận)
Khi đó : x, y là nghiệm của phương trình X2 - 3X + 2 = 0
⇔ X = 1; X = 2
Vậy hệ có nghiệm (2; 1), (1; 2)
b. ĐKXĐ: x ≠ 0
Hệ phương trình tương đương với
Vậy hệ phương trình có nghiệm (x; y) là (1; 1) và (2; -3/2)
Bài 2: Giải hệ phương trình
Lời giải:
a. Hệ phương trình tương đương
Với x-y = 4 ⇒ x = y + 4 ⇒ y(y+4) + y + 4 - y = -1
⇔ y2 + 4y + 5 = 0 (vn)
Vậy nghiệm của hệ phương trình là (x; y) = {(0; 1), (-1; 0)}
b. Đặt S = x+y; P = xy, ta có hệ:
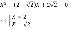
- Với S = 2 + √2; P = 2√2 ta có x, y là nghiệm phương trình:
Với S = -4-√2; P = 6 + 4√2 ta có x, y là nghiệm phương trình:
X2 + (4+√2)X + 6 + 4√2 = 0 (vô nghiệm)
Vậy hệ có nghiệm (x; y) là (2; √2) và (√2; 2)
Bài 3: Giải hệ phương trình
Lời giải:
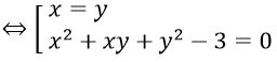
a. Hệ phương trình tương đương
Vậy tập nghiệm của hệ phương trình là: (x; y) = {(0;0), (2;2)}
b. Trừ vế với vế của phương trình đầu và phương trình thứ hai ta được:
(y2 - x2 = x3 - y3 - 3(x2 - y2) + 2(x-y) ⇔ (x-y)(x2 + xy + y2 - 2x - 2y + 2) = 0 ⇔ 1/2(x-y)[x2 + y2 + (x + y - 2)2] = 0 ⇔ x = y)
(vì x2 + y2 + (x+y-2)2 > 0)
Thay x = y vào phương trình đầu ta được:
x3 - 4x2 + 2x = 0 ⇔ x(x2 - 4x + 2) = 0
Vậy hệ phương trình có ba nghiệm: (0; 0); (2+√2; 2+√2) và (2-√2; 2-√2)
Bài 4: Giải hệ phương trình
Lời giải:
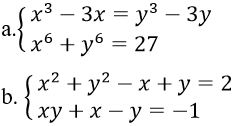
a. Ta có : x3 - 3x = y3 - 3y ⇔ (x-y)(x2 + xy + y2) - 3(x-y) = 0
⇔ (x-y)(x2 + xy + y2 - 3) = 0
Khi x = y thì hệ có nghiệm
Khi x2 + xy + y2 - 3 = 0 ⇔ x2 + y2 = 3 - xy, ta có x6 + y6 = 27
⇔ (x2 + y2)(x4 - x2y2 + y4) = 27
⇒ (3-xy)[(3-xy)2 - 3x2y2] = 27 ⇔ 3(xy)3 + 27xy = 0
Vậy hệ phương trình đã cho có 2 nghiệm
b. Hệ phương trình tương đương
Bài 5: Giải hệ phương trình
Lời giải:
a. Ta có
Nếu x = 0 thay vào (1)⇒ y = 0, thay vào (2) thấy (x; y) = (0; 0) là nghiệm
của phương trình (2) nên không phải là nghiệm của hệ phương trình
Nếu x ≠ 0, đặt y = tx , thay vào hệ ta được
Với t = 1/2 thay vào (**) ta được 4x2 + x2 + 6x = 27 ⇔ 5x2 + 6x - 27 = 0
Với t = 1/3 thay vào (**) ta được 4x2 + (2/3)x2 + 6x = 27
⇔ 14x2 + 18x - 81 = 0
Vậy hệ phương trình có nghiệm (x; y) là:
b. Dễ thấy x = 0 không thoả hệ
Với x ≠ 0, đặt y = tx, thay vào hệ ta được
Suy ra 3(t2 - t + 1) = 2t2 - 3t + 4 ⇒ t = ±1
Thay vào (*) thì
Vậy hệ phương trình có nghiệm (x; y) là (1/√3;(-1)/√3), ((-1)/√3;1/√3), (-1;-1) và (1;1)
Bài 6: Cho hệ phương trình. Tìm giá trị thích hợp của tham số a sao cho hệ có nghiệm (x; y) và tích x.y nhỏ nhất.
Lời giải:
Đặt S = x + y, P = xy (S2 - 4P ≥ 0)
Ta có
Đẳng thức xảy ra khi a = -1 (nhận)
Bài 7: Xác định m để hệ phương trìnhcó nghiệm
Lời giải:
Hệ phương trình tương đương
(x2 + y2 - 2xy) - (x + y - 4xy) = m + 1 - 2m ⇔ (x+y)2 - (x+y) + m - 1 = 0
Để hệ phương trình có nghiệm Δ ≥ 0 ⇔ 1 - 4(m-1) ≥ 0 ⇔ 5 - 4m ≥ 0
⇔ m ≤ 5/4
Từ phương trình thứ 2 ta có(x-y)2 = m + 1 ⇒ m + 1 ≥ 0 ⇔ m ≥ -1
Do đó -1 ≤ m ≤ 5/4
Bài tập tự luyện
Bài 1. Giải hệ phương trình .
Bài 2. Giải hệ phương trình .
Bài 3. Giải hệ phương trình .
Bài 4. Giải hệ phương trình .
Bài 5. Giải hệ phương trình .
Bài 6. Giải hệ phương trình .
Bài 7. Giải hệ phương trình .
Bài 8. Giải hệ phương trình .
Bài 9. Giải hệ phương trình .
Bài 10. Giải hệ phương trình .
(199k) Xem Khóa học Toán 10 KNTTXem Khóa học Toán 10 CDXem Khóa học Toán 10 CTST
Xem thêm các dạng bài tập Toán 10 có đáp án hay khác:
- Các dạng phương trình quy về phương trình bậc hai
- Bài tập phương trình quy về phương trình bậc hai
- Giải và biện luận hệ phương trình bậc nhất
- Bài tập giải và biện luận hệ phương trình bậc nhất
Để học tốt lớp 10 các môn học sách mới:
- Giải bài tập Lớp 10 Kết nối tri thức
- Giải bài tập Lớp 10 Chân trời sáng tạo
- Giải bài tập Lớp 10 Cánh diều
Tủ sách VIETJACK shopee lớp 10-11 (cả 3 bộ sách):
Đã có app VietJack trên điện thoại, giải bài tập SGK, SBT Soạn văn, Văn mẫu, Thi online, Bài giảng....miễn phí. Tải ngay ứng dụng trên Android và iOS.
Theo dõi chúng tôi miễn phí trên mạng xã hội facebook và youtube:Nếu thấy hay, hãy động viên và chia sẻ nhé! Các bình luận không phù hợp với nội quy bình luận trang web sẽ bị cấm bình luận vĩnh viễn.
- Giải Tiếng Anh 10 Global Success
- Giải Tiếng Anh 10 Friends Global
- Giải sgk Tiếng Anh 10 iLearn Smart World
- Giải sgk Tiếng Anh 10 Explore New Worlds
- Lớp 10 - Kết nối tri thức
- Soạn văn 10 (hay nhất) - KNTT
- Soạn văn 10 (ngắn nhất) - KNTT
- Soạn văn 10 (siêu ngắn) - KNTT
- Giải sgk Toán 10 - KNTT
- Giải sgk Vật lí 10 - KNTT
- Giải sgk Hóa học 10 - KNTT
- Giải sgk Sinh học 10 - KNTT
- Giải sgk Địa lí 10 - KNTT
- Giải sgk Lịch sử 10 - KNTT
- Giải sgk Kinh tế và Pháp luật 10 - KNTT
- Giải sgk Tin học 10 - KNTT
- Giải sgk Công nghệ 10 - KNTT
- Giải sgk Hoạt động trải nghiệm 10 - KNTT
- Giải sgk Giáo dục quốc phòng 10 - KNTT
- Lớp 10 - Chân trời sáng tạo
- Soạn văn 10 (hay nhất) - CTST
- Soạn văn 10 (ngắn nhất) - CTST
- Soạn văn 10 (siêu ngắn) - CTST
- Giải Toán 10 - CTST
- Giải sgk Vật lí 10 - CTST
- Giải sgk Hóa học 10 - CTST
- Giải sgk Sinh học 10 - CTST
- Giải sgk Địa lí 10 - CTST
- Giải sgk Lịch sử 10 - CTST
- Giải sgk Kinh tế và Pháp luật 10 - CTST
- Giải sgk Hoạt động trải nghiệm 10 - CTST
- Lớp 10 - Cánh diều
- Soạn văn 10 (hay nhất) - Cánh diều
- Soạn văn 10 (ngắn nhất) - Cánh diều
- Soạn văn 10 (siêu ngắn) - Cánh diều
- Giải sgk Toán 10 - Cánh diều
- Giải sgk Vật lí 10 - Cánh diều
- Giải sgk Hóa học 10 - Cánh diều
- Giải sgk Sinh học 10 - Cánh diều
- Giải sgk Địa lí 10 - Cánh diều
- Giải sgk Lịch sử 10 - Cánh diều
- Giải sgk Kinh tế và Pháp luật 10 - Cánh diều
- Giải sgk Tin học 10 - Cánh diều
- Giải sgk Công nghệ 10 - Cánh diều
- Giải sgk Hoạt động trải nghiệm 10 - Cánh diều
- Giải sgk Giáo dục quốc phòng 10 - Cánh diều


Giải bài tập SGK & SBT
Tài liệu giáo viên
Sách
Khóa học
Thi online
Hỏi đáp

