Bài tập phương trình chứa ẩn ở mẫu (chọn lọc, có lời giải)
Bài viết Bài tập phương trình chứa ẩn ở mẫu với phương pháp giải chi tiết giúp học sinh ôn tập, biết cách làm bài tập phương trình chứa ẩn ở mẫu .
Bài tập phương trình chứa ẩn ở mẫu (chọn lọc, có lời giải)
(199k) Xem Khóa học Toán 10 KNTTXem Khóa học Toán 10 CDXem Khóa học Toán 10 CTST
Câu 1. Tập nghiệm của phương trình là:
A. S = {1; 3/2} B. S = {1} C. S = {3/2} D. S = ∅
Câu 2. Gọi x0 là nghiệm của phương trình . Mệnh đề nào sau đây đúng?
A. x0 ∈ (-5; -3)
B. x0 ∈ [-3; -1]
C. x0 ∈ (-1; 4)
D. x0 ∈ [4; +∞)
Câu 3. Số nghiệm của phương trình
là:
A. 1 nghiệm B. 2 nghiệm C. 3 nghiệm D. 4 nghiệm
Câu 4. Số nghiệm của phương trìnhlà:
A. 1 nghiệm B. 2 nghiệm C. 3 nghiệm D. 4 nghiệm
Câu 5. Số nghiệm của phương trình
A. 1 nghiệm B. 2 nghiệm C. 3 nghiệm D. 4 nghiệm
Câu 6. Số nghiệm của phương trình
A. 1 nghiệm B. 2 nghiệm C. 3 nghiệm D. 4 nghiệm
Câu 7. Số nghiệm của phương trình
A. 1 nghiệm B. 2 nghiệm C. 3 nghiệm D. 4 nghiệm
Câu 8. Cho phương trình:. Để phương trình vô nghiệm thì:
Câu 9. Tìm m để phương trình vô nghiệm:(m là tham số)
A. m = 3
B. m = 4
C. m = 3 ∨ m = 4
D. m = 3 ∨ m = -4
Câu 10. Phương trình có nghiệm duy nhất khi:
A. m ≠ 0
B. m ≠ -1
C. m ≠ 0 và m ≠ -1
D. Không có m
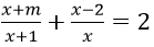
Câu 11. Biết phương trình: x - 2 + (x+a)/(x-1) = a có nghiệm duy nhất và nghiệm đó là nghiệm nguyên. Vậy nghiệm đó là :
A. -2 B. -1 C. 2 D. 0
Câu 12. Trong các khẳng định sau, khẳng định nào đúng về phương trình (x-m)/(x+1) = 2
A. m ≠ -1 phương trình (1) có nghiệm là x = -m - 2
B. m = -1 phương trình (1) vô nghiệm
C. Cả A, B đều đúng
D. Cả A, B đều sai
Câu 13. Tìm điều kiện a, b để phương trìnhcó hai nghiệm phân biệt
A. a ≠ ±2b; a ≠ 0, b ≠ 0
B. 2a ≠ ±b; a ≠ 0, b ≠ 0
C. 3a ≠ ±b; a ≠ 0, b ≠ 0
D. a ≠ ±b; a ≠ 0, b ≠ 0
Câu 14. Trong các khẳng định sau, khẳng định nào đúng về phương trình
A. m = -5/3 phương trình (3) có nghiệm là x = -2
B. m ≠ -5/3 phương trình có nghiệm là x = 2 và x = -3m - 8
C. Cả A, B đều đúng
D. Cả A, B đều sai
Câu 15. Trong các khẳng định sau, khẳng định nào đúng về phương trình
A. Với a ≠ -1 và a ≠ -2 thì phương trình có nghiệm duy nhất x = (a+3)/(a+1)
B. Với a = -1 hoặc a = -2 thì phương trình vô nghiệm.
C. Cả A, B đều đúng
D. Cả A, B đều sai
Đáp án và hướng dẫn giải
| Câu | 1 | 2 | 3 | 4 | 5 | 6 | 7 | 8 | 9 | 10 | 11 | 12 | 13 | 14 | 15 |
| Đáp án | C | D | A | B | A | B | D | A | A | C | D | C | D | C | C |
Câu 1. Chọn C
Điều kiện: x ≠ 1
Phương trình 2x + 3/(x-1) = 3x/(x-1) ⇔ 2x(x-1) + 3 = 3x ⇔ 2x2 - 5x + 3 = 0
Vậy S = {3/2}
Câu 2. Chọn D
Điều kiện:
Phương trình tương đương
⇔ (2-x)(x+3) - 2(x+3) = 10(2-x) - 50 ⇔ x2 - 7x - 30 = 0 ⇔
Câu 3. Chọn A
Điều kiện: x ∉ {-10; -7; -4; -1; 1/2}
Phương trình tương đương với
Đối chiếu với điều kiện thì phương trình có nghiệm duy nhất x = -3
Câu 4. Chọn B
ĐKXĐ: x ≠ 0 và x ≠ 2
Phương trình tương đương với
Đặt t = x2/(2-x), phương trình trở thành
t2 + 4t - 5 = 0 ⇔
Với t = 1 ta có x2/(2-x) = 1 ⇔ x2 + x - 2 = 0 ⇔
Với t = -5 ta có x2/(2-x) = -5 ⇔ x2 - 5x + 10 = 0 (vô nghiệm)
Vậy phương trình có nghiệm là x = -2 và x = 1
Câu 5. Chọn A
ĐKXĐ: x ≠ ±3; x ≠ -7/2
Vậy phương trình có nghiệm x = -4
Câu 6. Chọn B
Điều kiện: x ∉ {-3; -2; 1; 4}
Đối chiếu với điều kiện phương trình có nghiệm là x = (1/2)(-1 ± √(69/5))
Câu 7. Chọn D
Điều kiện: x ≠ -1; x ≠ 0
Đặt 1/(x(x+1)) = t ta được phương trình t2 + 2t - 15 = 0 ⇔ t = 3; t = -5
Đối chiếu với điều kiện (*) thì phương trình có bốn nghiệm x = (-3 ± √21)/6; x = (-5 ± √5)/10
Câu 8. Chọn A
Điều kiện:
Phương trình thành x2 + mx + x2 - x - 2 = 2(x2 + x) ⇔ (m-3)x = 2 (2)
Phương trình (1) vô nghiệm
⇔ Phương trình (2) vô nghiệm hoặc phương trình (2) có nghiệm duy nhất bằng 0 hoặc bằng -1
Câu 9. Chọn A
Điều kiện: x ≠ 2
Phương trình thành 2x - m = mx - 2m - x + 2 ⇔ (m-3)x = m - 2 (2)
Phương trình (1) vô nghiệm
⇔ Phương trình (2) vô nghiệm hoặc phương trình (2) có nghiệm duy nhất bằng 2
Câu 10. Chọn C
Điều kiện:
Phương trình (1) thành
Phương trình (1) có nghiệm duy nhất
⇔ Phương trình (2) có nghiệm duy nhất khác -1 và 1
Câu 11. Chọn D
Điều kiện: x ≠ 1
Phương trình (1) thành
x-2 + (x+a)/(x-1) = a ⇔ x2 - 3x + 2 + x + a = ax - a ⇔ x2 - (2+a)x + 2a + 2 = 0 (2)
Phương trình (1) có nghiệm duy nhất
⇔ Phương trình (2) có nghiệm duy nhất khác 1hoặc phương trình (2) có 2 nghiệm phân biệt có một nghiệm bằng 1
Với a = 2 + 2√2 phương trình có nghiệm là x = 2 + √2
Với a = 2 - 2√2 phương trình có nghiệm là x = 2 - √2
Với a = -1 phương trình có nghiệm là
Câu 12. Chọn C
ĐKXĐ: x ≠ -1
Phương trình tương đương với x - m = 2(x + 1)
⇔ x = -m - 2
Đối chiếu với điều kiện ta xét -m-2 ≠ -1 ⇔ m ≠ -1
Kết luận
m ≠ -1 phương trình (1) có nghiệm là x = -m - 2
m = -1 phương trình (1) vô nghiệm
Câu 13. Chọn D
Điều kiện: x ≠ a, x ≠ b:
Ta có: PT ⇔ 2(x-a)(x-b) = a(x-a) + b(x-b)
⇔ 2x2 - 3(a+b)x + a2 + b2 + 2ab = 0 ⇔ 2x2 - 3(a+b)x + (a+b)2 = 0
Phương trình có hai nghiệm là x1 = a + b và x2 = (a+b)/2
Ta có x1 ≠ a ⇔ b ≠ 0, x1 ≠ b ⇔ a ≠ 0, x2 ≠ a ⇔ x2 ≠ b ⇔ a ≠ b
x1 ≠ x2 ⇔ a+b ≠ (a+b)/2 ⇔ a ≠ -b
Vậy với a ≠ ±b; a ≠ 0, b ≠ 0 thì pt có hai nghiệm phân biệt
Câu 14. Chọn C
ĐKXĐ: x ≠ 3
Phương trình (3) ⇔ x2 + mx + 2 = (3-x)(2m+6)
⇔ x2 + (3m+4)x - 6m - 16 = 0
⇔ (x - 2)(x + 3m + 8) = 0 ⇔
Đối chiếu điều kiện ta xét -3m-8 ≠ 3 ⇔ m ≠ -5/3
Kết luận
m = -5/3 phương trình (3) có nghiệm là x = -2
m ≠ -5/3 phương trình có nghiệm là x = 2 và x = -3m-8
Câu 15. Chọn C
ĐKXĐ: x ≠ ±1
PT ⇔ (ax-1)(x+1)+2(x-1) = a(x2+1) ⇔ ax2 + ax - x - 1 + 2x - 2 = ax2 + a ⇔ (a+1)x = a + 3
+ Nếu a ≠ -1 thì x = (a+3)/(a+1). Ta có (a+3)/(a+1) ≠ 1, xét (a+3)/(a+1) ≠ -1 ⇔ a ≠ -2
+ Nếu a = -1 thì phương trình vô nghiệm.
Vậy: Với a ≠ -1 và a ≠ -2 thì phương trình có nghiệm duy nhất x = (a+3)/(a+1)
Với a = -1 hoặc a = -2 thì phương trình vô nghiệm
(199k) Xem Khóa học Toán 10 KNTTXem Khóa học Toán 10 CDXem Khóa học Toán 10 CTST
Xem thêm các dạng bài tập Toán 10 có đáp án hay khác:
- Phương trình chứa ẩn dưới dấu căn
- Bài tập phương trình chứa ẩn dưới dấu căn
- Các dạng phương trình quy về phương trình bậc hai
- Bài tập phương trình quy về phương trình bậc hai
Để học tốt lớp 10 các môn học sách mới:
- Giải bài tập Lớp 10 Kết nối tri thức
- Giải bài tập Lớp 10 Chân trời sáng tạo
- Giải bài tập Lớp 10 Cánh diều
Tủ sách VIETJACK shopee lớp 10-11 (cả 3 bộ sách):
Đã có app VietJack trên điện thoại, giải bài tập SGK, SBT Soạn văn, Văn mẫu, Thi online, Bài giảng....miễn phí. Tải ngay ứng dụng trên Android và iOS.
Theo dõi chúng tôi miễn phí trên mạng xã hội facebook và youtube:Nếu thấy hay, hãy động viên và chia sẻ nhé! Các bình luận không phù hợp với nội quy bình luận trang web sẽ bị cấm bình luận vĩnh viễn.
- Giải Tiếng Anh 10 Global Success
- Giải Tiếng Anh 10 Friends Global
- Giải sgk Tiếng Anh 10 iLearn Smart World
- Giải sgk Tiếng Anh 10 Explore New Worlds
- Lớp 10 - Kết nối tri thức
- Soạn văn 10 (hay nhất) - KNTT
- Soạn văn 10 (ngắn nhất) - KNTT
- Soạn văn 10 (siêu ngắn) - KNTT
- Giải sgk Toán 10 - KNTT
- Giải sgk Vật lí 10 - KNTT
- Giải sgk Hóa học 10 - KNTT
- Giải sgk Sinh học 10 - KNTT
- Giải sgk Địa lí 10 - KNTT
- Giải sgk Lịch sử 10 - KNTT
- Giải sgk Kinh tế và Pháp luật 10 - KNTT
- Giải sgk Tin học 10 - KNTT
- Giải sgk Công nghệ 10 - KNTT
- Giải sgk Hoạt động trải nghiệm 10 - KNTT
- Giải sgk Giáo dục quốc phòng 10 - KNTT
- Lớp 10 - Chân trời sáng tạo
- Soạn văn 10 (hay nhất) - CTST
- Soạn văn 10 (ngắn nhất) - CTST
- Soạn văn 10 (siêu ngắn) - CTST
- Giải Toán 10 - CTST
- Giải sgk Vật lí 10 - CTST
- Giải sgk Hóa học 10 - CTST
- Giải sgk Sinh học 10 - CTST
- Giải sgk Địa lí 10 - CTST
- Giải sgk Lịch sử 10 - CTST
- Giải sgk Kinh tế và Pháp luật 10 - CTST
- Giải sgk Hoạt động trải nghiệm 10 - CTST
- Lớp 10 - Cánh diều
- Soạn văn 10 (hay nhất) - Cánh diều
- Soạn văn 10 (ngắn nhất) - Cánh diều
- Soạn văn 10 (siêu ngắn) - Cánh diều
- Giải sgk Toán 10 - Cánh diều
- Giải sgk Vật lí 10 - Cánh diều
- Giải sgk Hóa học 10 - Cánh diều
- Giải sgk Sinh học 10 - Cánh diều
- Giải sgk Địa lí 10 - Cánh diều
- Giải sgk Lịch sử 10 - Cánh diều
- Giải sgk Kinh tế và Pháp luật 10 - Cánh diều
- Giải sgk Tin học 10 - Cánh diều
- Giải sgk Công nghệ 10 - Cánh diều
- Giải sgk Hoạt động trải nghiệm 10 - Cánh diều
- Giải sgk Giáo dục quốc phòng 10 - Cánh diều


Giải bài tập SGK & SBT
Tài liệu giáo viên
Sách
Khóa học
Thi online
Hỏi đáp

