Các dạng bài tập về đường tròn trong mặt phẳng (chọn lọc, có lời giải)
Bài viết Các dạng bài tập về đường tròn trong mặt phẳng với phương pháp giải chi tiết giúp học sinh ôn tập, biết cách làm bài tập Các dạng bài tập về đường tròn trong mặt phẳng.
Các dạng bài tập về đường tròn trong mặt phẳng (chọn lọc, có lời giải)
(199k) Xem Khóa học Toán 10 KNTTXem Khóa học Toán 10 CDXem Khóa học Toán 10 CTST
Ví dụ 1: Cho đường tròn ( C): x2 + y2 – 4x - 6y + 5 = 0. Hỏi có bao nhiêu điểm có tọa độ nguyên thuộc đường tròn?
A. 2 B. 5 C. 4 D . 7
Lời giải
Xét phương trình ( C) với ẩn y; x là tham số
y2 - 6y + (x2 - 4x + 5) = 0
Để phương trình có nghiệm khi và chỉ khi: ∆' ≥ 0
⇔ 9 - x2 + 4x - 5 ≥ 0 ⇔ x2 - 4x - 4 ≤ 0
⇔ 2 - √8 ≤ x ≤ 2 + √8
⇒ Các điểm M(x;y) thuộc (C) có hoành độ nguyên là 0; 1; 2; 3; 4 ta có:
| X | 0 | 1 | 2 | 3 | 4 |
| Y | 1 hoặc 5 | y không nguyên | y không nguyên | y không nguyên | 1 hoặc y = 5 |
Vậy tồn tại bốn điểm thuộc (C) có tọa độ nguyên là:
(0; 1); (0; 5); (4; 1) và (4; 5)
Chọn C.
Ví dụ 2: Tìm tọa độ điểm M thuộc (C): x2 + y2 – 4x - 6y + 11 = 0 sao cho MA lớn nhất, biết A(3; 2).
A. M( - 2; 8) B. M(9; 2) C. M(1; 4) D. M(3; 8)
Lời giải
+ Đường tròn (C) có tâm I(2; 3).
+ Thay tọa độ điểm A vào phương trình đường tròn ta được :
32 + 22 - 4.3 - 6.2 + 11 = 0 ( đúng)
⇒ Điểm A thuộc đường tròn ( C).
⇒ Để MA đạt lớn nhất thì MA là đường kính
⇒ M đối xứng với A qua I hay I là trung điểm của MA.
Tọa độ điểm M là:
⇒ M(1; 4)
Chọn C.
Ví dụ 3: Cho đường tròn ( C): (x - 2)2 + (y - 3)2 = 5. Tìm trên
( C) điểm M sao cho
MB = 4 biết rằng B(1; 5)?
A. M(1; - 1)
B. M(
;
)
C. M(
;
)
D. Đáp án khác
Lời giải
Gọi tọa độ điểm M(x0; y0).
+ Vì điểm M nằm trên đường tròn ( C) nên (x0 – 2)2 + (y0 - 3)2 = 5
Hay x02 - 4x0 + y02 - 6y0 + 8 = 0 (1)
+ Theo giả thiết BM = 4 nên BM2 = 16 ⇔ (x0 - 1)2 + (y0 - 5)2 = 16
Hay x02 - 2x0 + y02 - 10y0 + 10 = 0 (2)
+ Lấy (2) trừ (1) vế trừ vế ta được :
2x0 – 4y0 + 2 = 0 ⇔ x0 - 2y0 + 1 = 0
⇔ x0 = 2y0 – 1 thay vào (1) ta được :
( 2y0 - 1)2 – 2(2y0 – 1) + y02 - 10y0 + 10 = 0
⇔ 5 y02 - 18y0 + 13 = 0
⇔
Vậy có hai điểm M thỏa mãn là M(1; 1) và M(
;
) .
Chọn D.
Ví dụ 4: Cho đường tròn (C): (x - 3)2 + ( y - 2)2 = 5. Tìm điểm E thuộc đường tròn sao cho tam giác OEF vuông tại O, biết rằng điểm F (4; - 2)?
A. E1(2; 4) và E2(
;
) .
B. E1(1; - 4) và E2(
;
) .
C. E1(3; - 6) và E2( -
;
) .
D. E1(2; 4) và E2(
;
) .
Lời giải
+ Do tam giác OEF vuông tại O nên OE vuông OF.
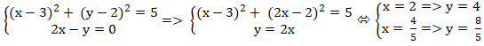
+ Đường thẳng OE:
⇒ Phương trình OE: 2(x - 0) – 1(y - 0) = 0 hay 2x - y = 0.
+ Đường tròn và đường thẳng cắt nhau tại E nên tọa độ E là nghiệm hệ
Vậy có hai điểm thỏa mãn là E1(2; 4) và E2(
;
) .
Chọn A.
Ví dụ 5: Cho đường tròn tâm O ngoại tiếp tam giác ABC biết B( 2; m) và
C( n; 1). Tìm tọa độ điểm B? Biết rằng
là góc nội tiếp chắn nửa đường tròn?
A. B(2; 1) B. B( 2; 2) C. B(2; -1) D. B(2; -3)
Lời giải
+ Do góc
là góc nội tiếp chắn nửa đường tròn nên góc
= 900.
⇒ Tam giác BAC vuông tại A và BC là đường kính .
⇒ O (0; 0) là trung điểm của BC.
⇒
Vậy tọa độ điểm B(2; -1) và điểm C(-2; 1)
Chọn C.
Ví dụ 6 : Cho đường tròn (C): x2 + y2 - 4x + 4y - 2 = 0; đường thẳng ∆: x + y - 2 = 0. Tìm trên d điểm A sao cho từ A kẻ được đúng một tiếp tuyến đến đường tròn ( C) ?
A. ( 1, 1) B. ( 2; 0) C. ( 3; -1) D. (1;1) hoặc ( 5; -3)
Lời giải
+ Đường tròn ( C) tâm I( 2; -2) và bán kính R = 3.
+ Ta có nhận xét:
- Nếu điểm A nằm trong hình tròn( C) thì qua A không kẻ được tiếp tuyến nào đến đường tròn.
- Nếu điểm A nằm trên đường tròn ( C) thì qua A kẻ được đúng một tiếp tuyến đến đường tròn .
- Nếu điểm A nằm bên ngoài hình tròn ( C) thì qua A kẻ được hai tiếp tuyến nào với đường tròn.
⇒ Theo đề bài; từ điểm A kẻ được đúng một tiếp tuyến đến đường tròn (C) thì điểm A nằm trên đường tròn.
⇒ A là giao điểm của đường tròn ( C) và đường thẳng d. Nên tọa độ A là nghiệm hệ:
(*)
Giải phương trình ( *) :
(*) ⇔ 4 - 4y + y2 + y2 – 8 + 4y + 4y - 2 = 0
⇔ 2y2 + 4y - 6 = 0
⇔
Vậy có hai điểm A thỏa mãn đề bài là (1;1) và ( 5; -3)
Chọn D.
Ví dụ 7 . Trong mặt phẳng Oxy, cho đường tròn( C): x2 + y2 - 2x + 4y + 4 = 0 có tâm I và điểm M( - 1; - 3) . Viết phương trình đường thẳng ∆ đi qua M và cắt (C) tại hai điểm phân biệt A và B sao cho tam giác IAB có diện tích lớn nhất.
A. x - y - 2 = 0 và x - 7y - 20 = 0 B. x + 2y - 7 = 0 và x - 3y - 20 = 0
C. 2x + y - 3 = 0 và x - 7y - 20 = 0 D. x - 4y = 0 và x + 2y - 20 = 0
Lời giải
+ Đường tròn ( C): tâm I( 1; -2); bán kính R = 1
+ Đường thẳng ∆:
⇒ Phương trình ∆: a( x + 1) + b( y + 3) = 0 ( *)
+ Do A; B thuộc đường tròn ( C) nên IA = IB = R = 1
Diện tích tam giác IAB là:
SIAB =
IA.IB.sin(
) =
.1.1.sin(
) ≤
⇒ SIAB lớn nhất khi:
= 900 ⇒ IH =
với H là hình chiếu I lên Δ
Suy ra d(I; Δ) = IH =
⇔
⇔ 2( 2a + b)2 = a2 + b2
⇔ 7a2 + 8ab + b2 = 0
⇔
+ Nếu a = -
b; chọn b = - 7; a = 1 thay vào ( *) ta được phương trình đường thẳng:
∆ : 1( x + 1) – 7 ( y + 3) = 0 hay x - 7y - 20 = 0
+ Nếu a = - b; chọn a = 1; b = -1 thay vào ( *) ta được :
∆: 1( x + 1) - 1.(y + 3) = 0 hay x - y - 2 = 0
Vậy có hai đường thẳng thỏa mãn là: x - y - 2 = 0 và x - 7y - 20 = 0.
Chọn A
Ví dụ 8. Trong mặt phẳng với hệ tọa độ Oxy, cho hai đường tròn
(C): x2 + y2 – 4x - 6y = 0 và
(C’): x2 + y2 + 4x = 0. Một đường thẳng đi qua giao điểm của (C) và (C') lần lượt cắt lại
(C) và (C') tại M và N. Viết phương trình đường thẳng khi MN đạt giá trị lớn nhất.
A. 2x - y = 0 và x + 4y + 12 = 0 B. 3x - 4y = 0 và 3x - 4y + 12 = 0
C. x + y - 10 = 0 và 3x - y + 12 = 0 D. Tất cả sai
Lời giải
+ Đường tròn (C) có tâm I(2; 3) và bán kính R = √13
Đường tròn (C') có tâm J( - 2; 0) và bán kính R’ = 2.
⇒ IJ = 5 nên |R - r| < IJ < R + r
⇒ (C) cắt (C') tại hai điểm A, B
+ Xét ∆ bất kì qua A cắt (C) và (C') tại M và N. Gọi ∆' là đường thẳng qua A vuông góc với AB, cắt (C), (C') lần lượt tại C và D. Gọi K, H lần lượt là là hình chiếu của I, J lên ∆' . Gọi P, Q lần lượt là là hình chiếu của I, J lên ∆ .
Khi đó ta có MN = 2PQ ≤ 2IJ = 2KH = CD
⇒ MNmax = CD.
+ Tọa độ A, B là nghiệm của hệ
Từ đó suy ra có hai đường thẳng thỏa mãn:
- ( ∆1) :
⇒ Phương trình : 3( x - 0) – 4( y - 0) = 0 hay 3x - 4y = 0
- ( ∆2) :
⇒ Phương trình : 3(x +
) - 4( y -
) = 0 hay 3x - 4y + 12 = 0
Vậy có hai đường thẳng thỏa mãn là: 3x - 4y = 0 và 3x - 4y + 12 = 0.
Chọn B.
C. Bài tập vận dụng
Câu 1: Cho phương trình đường cong : x2 + y2 + (m + 2)x - (m + 4)y + m + 1 = 0 (*) . Tìm mệnh đề sai?
A. ( Cm) là phương trình của đường tròn với mọi m.
B. Tập hợp tâm các đường tròn khi m thay đổi là đường thẳng x + y - 1 = 0
C. Khi m thay đổi họ các đường tròn ( Cm) có đúng một điểm cố định.
D. Họ các đường tròn (Cm) luôn đi qua điểm M(1 ; 2) với mọi m.
Lời giải:
Đáp án: C
+ Ta có a2 + b2 - c =
- m - 1 =
> 0
Suy ra (*) là phương trình đường tròn với mọi m
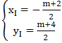
+ Đường tròn có tâm I :
suy ra xI + yI - 1 = 0
Vậy tập hợp tâm các đường tròn là đường thẳng ∆: x + y - 1 = 0
+ Gọi M(x0 ; y0) là điểm cố định mà họ (Cm) luôn đi qua.
Khi đó ta có: x02 + y02 + (m + 2)x0 - (m + 4)y0 + m + 1 = 0, ∀m
⇔ (x0 - y0 - 1)m + x02 + y02 + 2x0 - 4y0 + 1 = 0, ∀m
⇔
Vậy có hai điểm cố định mà họ ( Cm) luôn đi qua với mọi m là A( - 1 ; 0) và M(1 ; 2)
Câu 2: Cho hai điểm A(8; 0) và B(0; 6). Viết phương trình đường tròn nội tiếp tam giác OAB?
A. (x - 2)2 + (y - 2)2 = 4 B. ( x - 2)2 + (y + 2)2 = 1
C. ( x - 1)2 + (y + 1)2 = 1 D. (x - 2)2 + (y - 2)2 = 9
Lời giải:
Đáp án: A
Ta có: OA = 8; OB = 6 và AB =
= 10.
Mặt khác
OA.OB = pr (vì cùng bằng diện tích tam giác ABC)
Suy ra r =
= 2
Gọi I là tâm đường tròn nội tiếp tam giác OAB
⇒ đường tròn tiếp xúc với hai trục tọa độ nên |a| = |b| = r = 2
Mà đường tròn có tâm thuộc góc phần tư thứ nhất nên a > 0; b > 0
⇒ a = b = r = 2
Vậy tâm đường tròn nội tiếp tam giác OAB là I( 2; 2) bán kính đường tròn nội tiếp là
r = 2.
Vậy phương trình đường tròn nội tiếp tam giác OAB là
( x - 2)2 + (y – 2)2 = 4
Câu 3: Trong mặt phẳng tọa độ Oxy, cho hai đường thẳng d1: √3x + y = 0 và
d2: √3x - y = 0 . Gọi (C) là đường tròn tiếp xúc với d1 tại A, cắt d2 tại hai điểm B, C sao cho tam giác ABC
vuông tại B. Viết phương trình của (C), biết tam giác ABC có diện tích bằng
và điểm A có hoành độ dương.
A. (x -
)2 + (y +
)2 = 4
B. (x +
)2 + (y +
)2 = 1
C. (x +
)2 + (y -
)2 = 1
D. (x -
)2 + (y -
)2 = 1
Lời giải:
Đáp án: B
+ Vì A ∈ d1 ⇒ A(a; -√3a), a > 0; B,C ∈ d2 ⇒ B(b; √3b), C(c; √3c)
Suy ra AB→(b - a; √3(a + b)), AC→(c - a; √3(c + a))
+ Tam giác ABC vuông tại B do đó AC là đường kính của đường tròn C.
Do đó AC ⊥ d1 ⇒ AC→.u1→ = 0 ⇔ -1.(c - a) + √3.√3(a + c) = 0 ⇔ 2a + c = 0 (1)
AB ⊥ d2 ⇒ AB→.u2→ = 0 ⇔ 1.(b - a) + 3(a + b) = 0 ⇔ 2b + a = 0 (2)
Mặt khác SABC =
d(A; d2).BC ⇒
⇔ 2a|c- b| = 1 (3)
Từ (1), (2) suy ra 2( c - b) = - 3a thế vào (3) ta được a|-3a| = 1 ⇔ a =
Do đó b = -
, c = -
⇒ A(
; -1), C(-
; -2)
Suy ra (C) nhận I(-
; -
) là trung điểm AC làm tâm và bán kính là R =
= 1
Vậy phương trình đường tròn cần tìm là (C): (x +
)2 + (y +
)2 = 1
Câu 4: Trong mặt phẳng Oxy cho tam giác ABC, hai cạnh AB; AC theo thứ tự có phương trình x + y - 2 = 0 và x + 3y - 4 = 0. Cạnh BC có trung điểm M( - 1; 1). Tìm tâm của đường tròn ngoại tiếp tam giác ABC.
A. ( - 5; - 7) B. ( 4; - 3) C. ( - 7; 3) D. ( 1; 3)
Lời giải:
Đáp án: A
+ Hai đường thẳng AB và AC cắt nhau tại A nên tọa độ điểm A là nghiệm hệ
⇒ A(1; 1)
+ Gọi P là trung điểm của AC. Khi đó MP// AB ( vì MP là đường trung bình của tam giác) .
⇒ Đường thẳng MP có dạng : x + y + c = 0 ( c ≠ - 2)
Mà M( - 1; 1) thuộc MP nên : - 1 + 1 + c = 0 ⇔ c = 0
Phương trình MP: x + y = 0.
+ MP và AC cắt nhau tại P ta tìm được P( - 2; 2) .
+ Mà P là trung điểm của AC nên tọa độ điểm C( - 5; 3) .
+ Điểm M là trung điểm BC nên tọa độ điểm B:
⇒ B( 3; - 1)
+ Lập phương trình đường tròn đi qua ba điểm A; B và C.
Gọi phương trình đường tròn là: x2 + y2 – 2ax - 2by + c = 0 ( a2 + b2 - c > 0)
Do A; B và C thuộc đường tròn nên :
Vậy phương trình đường tròn cần tìm có tâm là I( - 5; - 7)
Câu 5: Viết phương trình đường tròn nội tiếp tam giác ABC tạo bởi ba đường thẳng
4x - 3y - 65 = 0; 7x - 24y + 55 = 0; 3x + 4y - 5 = 0.
A. (x - 10)2 + y2 = 25 B. (x - 1)2 + (y - 2)2 = 25
C. (x - 10)2 + (y - 2)2 = 25 D. Tất cả sai
Lời giải:
Đáp án: A
+ Gọi ABC là tam giác đã cho với các cạnh là:
AB : 4x - 3y - 65 = 0 ; BC : 7x - 24y + 55 = 0 ; CA : 3x + 4y - 5 = 0
+ Suy ra A(11 ; - 7) ; B(23 ; 9) ; C( - 1 ; 2)
Ta có : AB→( 12 ; 16) ; AC→( - 12 ; 9)
⇒ AB→.AC→ = 12. ( - 12) + 16.9 = 0
⇒ AB và AC vuông góc với nhau nên tam giác ABC vuông ở A.
Ta có AB = 20 ; BC = 25 ; CA = 15
⇒ S =
. AB. AC = 150.
+ Lại có : S = p.r với p =
= 30 là nửa chu vi của tam giác ABC.
⇒ r =
= 5.
+ Tâm đường tròn nội tiếp tam giác ABC là I( x ;y) suy ra khoảng cách từ tâm I đến đường thẳng đã cho đều bằng r = 5 nên ta có:
5 =
Giải hệ này ta tìm được I(10 ; 0)
Vậy phương trình đường tròn cần tìm là : (x - 10)2 + y2 = 25.
Câu 6: Trong mặt phẳng với hệ tọa độ Oxy, cho điểm M(2; 1) và đường thẳng
∆: x - y + 1 = 0. Viết phương trình đường tròn đi qua M cắt ở 2 điểm A, B phân biệt sao cho tam giác MAB vuông tại M và có diện tích bằng 2.
A. (x + 2)2 + (y - 2)2 = 2 B. (x - 1)2 + (y - 2)2 = 2
C. (x - 1)2 + (y + 3)2 = 16 D. (x - 5)2 + (y - 2)2 = 4
Lời giải:
Đáp án: B
+ Đường tròn (C) tâm I(a, b) bán kính R có phương trình : (x - a)2 + (y - b)2 = R2
+ Tam giác MAB vuông tại M nên AB là đường kính và AB = 2R.
suy ra ∆ qua I do đó : a - b + 1 = 0 (1)
Hạ MH ⊥ AB có MH = d(M, ∆) =
+ Diện tích tam giác MAB là:
SMAB =
MH.AB ⇔ 2 =
.2R.√2 ⇔ R = √2
Vì đường tròn qua M nên ( 2 - a)2 + (1 - b)2 = 2 (2)
Ta có hệ
Giải hệ được a = 1; b = 2. Vậy (C) có phương trình: (x - 1)2 + (y - 2)2 = 2
Câu 7: Cho đường thẳng ∆: x - y + 1 = 0 và đường tròn ( C): x2 + y2 – 4x + 2y - 4 = 0 Viết phương trình đường thẳng ∆' vuông góc với ∆ và cắt đường tròn tại hai điểm phân biệt sao cho khoảng cách của chúng là lớn nhất.
A. x + y - 2 = 0 B. x + y - 1 = 0 C. x + y = 0 D. x + y + 2 = 0
Lời giải:
Đáp án: B
+ Đường tròn ( C): tâm I ( 2; - 1) bán kính R = 3.
+ Vì vuông góc với và cắt đường tròn tại hai điểm phân biệt sao cho khoảng cách của chúng là lớn nhất nên vuông góc với và đi qua tâm I của đường tròn (C).
+ Đường thẳng ∆':
⇒ Phương trình ∆’: 1( x - 2) + 1( y + 1) = 0 hay x + y - 1 = 0
Vậy phương trình đường thẳng cần tìm là ∆’: x + y - 1 = 0 .
Câu 8: Cho đường tròn ( C): x2 + y2 – 2x + 4y - 4 = 0 có tâm I và đường thẳng ∆ . Biết rằng đường thẳng ∆ cắt đường tròn (C) tại hai điểm phân biệt A, B. Tìm m để diện tích tam giác IAB là lớn nhất?
A. m = - 2 B. m = 1 C. m = - 4 D. m = 2
Lời giải:
Đáp án: C
+ Đường tròn (C) có tâm I (1; -2), bán kính R = 3. ∆ cắt (C) tại hai điểm phân biệt khi và chỉ khi
d(I; Δ) < R ⇔
< 3 ⇔ 5m2 + 5m + 17 = 0
(đúng với mọi m)
Vậy với mọi m đường thẳng ∆ luôn cắt đường tròn tại hai điểm phân biệt A; B.
+ Ta có IA = IB = R = 3 nên diện tích tam giác IAB là:
SIAB =
IA.IB.sin
=
sin
≤
Suy maxSIAB =
khi và chỉ khi:
sin
= 1 ⇔
= 900
+ Gọi H là hình chiếu của I lên khi đó
= 450 ⇒ IH = IA.cos450 =
Ta có d(I; Δ) = IH ⇔
⇔ 2( 1 - 2m)2 = 9( 2 + m2 )
⇔ 2 - 8m + 8m2 = 18 + 9m2
⇔ m2 + 8m + 16 = 0 ⇔ m = - 4
Vậy với m = - 4 thỏa mãn yêu cầu bài toán.
Câu 9: Trong mặt phẳng Oxy, viết phương trình đường thẳng qua điểm O và cắt đường tròn ( C): x2 + y2 – 2x + 6y - 15 = 0 (C) tại hai điểm A, B sao cho O là trung điểm của AB.
A. x + 3y = 0 B. x - 3y = 0 C. x - 2y = 0 D. 2x - y = 0
Lời giải:
Đáp án: B
+ Đường tròn (C) có tâm I( 1; -3) và bán kính R = 5.
+ Xét vị trí của điểm O và đường tròn( C):
OI =
= √10 < R
⇒ Điểm O nằm trong đường tròn .
+ Đường thẳng đi qua O và cắt (C) tại A, B với O là trung điểm AB
suy ra Δ ⊥ OI .
+ Đường thẳng AB:
⇒ phương trình của AB: 1( x - 0) – 3( y - 0) = 0 hay x - 3y = 0.
Câu 10: Cho đường tròn ( C): x2 + y2 = 4 và điểm M(2;2) . Có bao nhiêu đường thẳng qua M và cắt (C) tai hai điểm phân biệt A, B sao cho AB = 2.
A. 0 B. 1 C. 2 D. Vô số
Lời giải:
Đáp án: C
+ Đường tròn (C) có tâm O(0 ; 0) và bán kính R = 2.
Đường thẳng cần tìm có dạng ∆ :
⇒ Phương trình ∆ : a(x - 2) + b( y - 2) = 0
+ Gọi H là hình chiếu của O lên AB khi đó H là trung điểm AB nên AH =
= 1
⇒ OH =
= √3
+ Ta có OH = d(O; Δ) ⇔ √3 =
⇔ 3( a2 + b2) = 4a2 + 8ab + 4b2 ⇔ a2 + 8ab + b2 = 0
⇔ a = ( - 4 ± √15)b
Từ đó ta có hai đường thẳng thỏa mãn là :
Δ1 : (-4 + √15)x + y + 6 - 2√15 = 0 và Δ2 : (-4 - √15)x + y + 6 + 2√15 = 0
(199k) Xem Khóa học Toán 10 KNTTXem Khóa học Toán 10 CDXem Khóa học Toán 10 CTST
Xem thêm các dạng bài tập Toán 10 có đáp án hay khác:
- Viết phương trình đường tròn đi qua 3 điểm (đường tròn ngoại tiếp tam giác)
- Viết phương trình tiếp tuyến của đường tròn tại 1 điểm, đi qua 1 điểm
- Vị trí tương đối của hai đường tròn, của đường thẳng và đường tròn
- Lập phương trình đường tròn thỏa mãn điều kiện cho trước
- Viết phương trình đường tròn C’ đối xứng với đường tròn C qua 1 điểm, 1 đường thẳng
Để học tốt lớp 10 các môn học sách mới:
- Giải bài tập Lớp 10 Kết nối tri thức
- Giải bài tập Lớp 10 Chân trời sáng tạo
- Giải bài tập Lớp 10 Cánh diều
Tủ sách VIETJACK shopee lớp 10-11 (cả 3 bộ sách):
Đã có app VietJack trên điện thoại, giải bài tập SGK, SBT Soạn văn, Văn mẫu, Thi online, Bài giảng....miễn phí. Tải ngay ứng dụng trên Android và iOS.
Theo dõi chúng tôi miễn phí trên mạng xã hội facebook và youtube:Nếu thấy hay, hãy động viên và chia sẻ nhé! Các bình luận không phù hợp với nội quy bình luận trang web sẽ bị cấm bình luận vĩnh viễn.
- Giải Tiếng Anh 10 Global Success
- Giải Tiếng Anh 10 Friends Global
- Giải sgk Tiếng Anh 10 iLearn Smart World
- Giải sgk Tiếng Anh 10 Explore New Worlds
- Lớp 10 - Kết nối tri thức
- Soạn văn 10 (hay nhất) - KNTT
- Soạn văn 10 (ngắn nhất) - KNTT
- Soạn văn 10 (siêu ngắn) - KNTT
- Giải sgk Toán 10 - KNTT
- Giải sgk Vật lí 10 - KNTT
- Giải sgk Hóa học 10 - KNTT
- Giải sgk Sinh học 10 - KNTT
- Giải sgk Địa lí 10 - KNTT
- Giải sgk Lịch sử 10 - KNTT
- Giải sgk Kinh tế và Pháp luật 10 - KNTT
- Giải sgk Tin học 10 - KNTT
- Giải sgk Công nghệ 10 - KNTT
- Giải sgk Hoạt động trải nghiệm 10 - KNTT
- Giải sgk Giáo dục quốc phòng 10 - KNTT
- Lớp 10 - Chân trời sáng tạo
- Soạn văn 10 (hay nhất) - CTST
- Soạn văn 10 (ngắn nhất) - CTST
- Soạn văn 10 (siêu ngắn) - CTST
- Giải Toán 10 - CTST
- Giải sgk Vật lí 10 - CTST
- Giải sgk Hóa học 10 - CTST
- Giải sgk Sinh học 10 - CTST
- Giải sgk Địa lí 10 - CTST
- Giải sgk Lịch sử 10 - CTST
- Giải sgk Kinh tế và Pháp luật 10 - CTST
- Giải sgk Hoạt động trải nghiệm 10 - CTST
- Lớp 10 - Cánh diều
- Soạn văn 10 (hay nhất) - Cánh diều
- Soạn văn 10 (ngắn nhất) - Cánh diều
- Soạn văn 10 (siêu ngắn) - Cánh diều
- Giải sgk Toán 10 - Cánh diều
- Giải sgk Vật lí 10 - Cánh diều
- Giải sgk Hóa học 10 - Cánh diều
- Giải sgk Sinh học 10 - Cánh diều
- Giải sgk Địa lí 10 - Cánh diều
- Giải sgk Lịch sử 10 - Cánh diều
- Giải sgk Kinh tế và Pháp luật 10 - Cánh diều
- Giải sgk Tin học 10 - Cánh diều
- Giải sgk Công nghệ 10 - Cánh diều
- Giải sgk Hoạt động trải nghiệm 10 - Cánh diều
- Giải sgk Giáo dục quốc phòng 10 - Cánh diều


Giải bài tập SGK & SBT
Tài liệu giáo viên
Sách
Khóa học
Thi online
Hỏi đáp

