40 bài tập trắc nghiệm Hàm số liên tục có đáp án (phần 1)
Với 40 bài tập trắc nghiệm Hàm số liên tục (phần 1) có lời giải chi tiết sẽ giúp học sinh ôn tập, biết cách làm bài tập trắc nghiệm Hàm số liên tục (phần 1).
40 bài tập trắc nghiệm Hàm số liên tục có đáp án (phần 1)
(199k) Xem Khóa học Toán 11 KNTTXem Khóa học Toán 11 CDXem Khóa học Toán 11 CTST
Bài 1: Cho hàm số:
Với giá trị nào của a thì hàm số f(x) liên tục tại x = - 2?
A. a = -5
B. a = 0
C. a = 5
D. a = 6
Lời giải:
Đáp án: C
Đáp án C
Bài 2: Cho hàm số:
Kết luận nào sau đây không đúng?
A. Hàm số liên tục tại x = -1
B. Hàm số liên tục tại x = 1
C. Hàm số liên tục tại x = -3
D. Hàm số liên tục tại x = 3
Lời giải:
Đáp án: A
Hàm số đã cho không xác định tại x = - 1 nên không liên tục tại điểm đó. Tại các điểm còn lại hàm số đều liên tục. Đáp án A
Bài 3: Cho hàm số:
Với giá trị nào của a thì hàm số f(x) liên tục tại x = 3?
A. a = 3 B. a = 1/3 C. a = -1/3 D. a = -2
Lời giải:
Đáp án: B
Đáp án B
Bài 4: Cho hàm số . Kết luận nào sau đây là đúng?
A. Hàm số f(x) liên tục tại điểm x = -2
B. Hàm số f(x) liên tục tại điểm x = 0
C. Hàm số f(x) liên tục tại điểm x = 0,5
D. Hàm số f(x) liên tục tại điểm x = 2
Lời giải:
Đáp án: C
Hàm số đã cho không xác định tại x = 0, x = -2, x = 2 nên không liên tục tại các điểm đó. Hàm số liên tục tại x = 0,5 vì nó thuộc tập xác định của hàm phân thức f(x). Đáp án là C
Bài 5: Cho hàm số:
Với giá trị nào của m thì hàm số đã cho liên tục tại x = 2?
A. -2
B. -1
C. 1
D. 3
Lời giải:
Đáp án: C
Đáp án C
Bài 6: Cho với x ≠ 0. Phải bổ sung thêm giá trị f(0) bằng bao nhiêu để hàm số f(x) liên tục tại x = 0?
A. 0 B. 1 C. 1/√2 D.1/(2√2)
Lời giải:
Đáp án: C
Đáp án là C
Bài 7: : Cho hàm số:
Giá trị nào của m để hàm số đã cho liên tục tại x = -2?
A. 7
B. -7
C. 5
D. 1
Lời giải:
Đáp án: A
Đáp án A
Bài 8: Cho hàm số:
Hàm số f(x) liên tục tại:
A. Mọi điểm thuộc R
B. Mọi điểm trừ x = 0
C. Mọi điểm trừ x = 1
D. Mọi điểm trừ x = 0 và x = 1
Lời giải:
Đáp án: A
với x < 1, x ≠ 0 thì liên tục trên khoảng đó. Do đó f(x) liên tục tại mọi điểm. Đáp án A
Bài 9: Cho hàm số:
Với giá trị nào của a thì hàm số đã cho liên tục tại x = 2?
A. -2
B. -1
C. 1
D. 3
Lời giải:
Đáp án: B
Đáp án B
Bài 10: Cho với x ≠ 0
Phải bổ sung thêm giá trị f(0) giá trị bằng bao nhiêu để hàm số f(x) liên tục trên R?
A. 0
B. 1
C. √2
D. 2
Lời giải:
Đáp án: D
Đáp án D
Bài 11: Cho hàm số:
Hàm số đã cho liên tục trên R khi và chỉ khi:
Lời giải:
Đáp án: A
Hàm số đã cho liên tục trên R khi và chỉ khi hàm số đó liên tục tại x = 1 và x = -1
Đáp án A
Bài 12: Cho với x ≠ 0
Phải bổ sung thêm giá trị f(0)bằng bao nhiêu thì hàm f(x) liên tục trên R?
A. 5/7 B. 1/7 C. 0 D. -5/7
Lời giải:
Đáp án: A
Đáp án A
Bài 13: Cho hàm số
Giá trị của m để f(x) liên tục tại x = 2 là:
Lời giải:
Đáp án: C
Hàm số liên tục tại x = 2 khi và chỉ khi
Đáp án C
Bài 14: Cho hàm số:
Kết luận nào sau đây là sai:
A. Hàm số liên tục tại x = -2
B. Hàm số liên tục tại x = 2
C. Hàm số liên tục tại x = -4
D. Hàm số liên tục tại x = 4
Lời giải:
Đáp án: B
Đáp án B
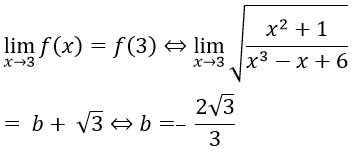
Bài 15: Cho hàm số:
Tìm b để f(x) liên tục tại x = 3
A. √3 B. - √3 C. (2√3)/3 D. –(2√3)/3
Lời giải:
Đáp án: D
Hàm số liên tục tại x = 3 khi và chỉ khi
Đáp án D
Bài 16: Cho
Phải bổ sung thêm giá trị f(0) bằng bao nhiêu thì hàm số f(x) liên tục tại x = 0?
A. 0 B. 1/2 C. 1/√2 D. 1/(2√2)
Lời giải:
Đáp án: B
Đáp án B
Bài 17: Cho hàm số:
Tìm k để f(x) gián đoạn tại x = 1
Lời giải:
Đáp án: A
f(x) gián đoạn tại x = 1 khi và chỉ khi:
Đáp án A
Bài 18: Cho hàm số:
Khi đó bằng:
A. 11
B. 4
C. -1
D. -13
Lời giải:
Đáp án: C
Đáp án C
Bài 19: : Cho hàm số:
Tìm m để f(x) liên tục trên [0;+∞) là.
A. 1/3 B. 1/2 C. 1/6 D. 1
Lời giải:
Đáp án: C
f(x) liên tục trên [0;+∞) khi và chỉ khi f(x) liên tục tại x = 0+ và liên tục tại x = 9
Đáp án C
Bài 20: Cho hàm số
Kết luận nào sau đây là đúng?
A. Hàm số f(x) liên tục tại điểm x = -3
B. Hàm số f(x) liên tục tại điểm x = 0
C. Hàm số f(x) liên tục tại điểm x = 2
D. Hàm số f(x) liên tục tại điểm x = 3
Lời giải:
Đáp án: B
Đáp án B
(199k) Xem Khóa học Toán 11 KNTTXem Khóa học Toán 11 CDXem Khóa học Toán 11 CTST
Xem thêm các dạng bài tập Toán lớp 11 có trong đề thi THPT Quốc gia khác:
- Dạng 1: Xét tính liên tục của hàm số
- Dạng 2: Tìm m để hàm số liên tục
- 40 bài tập trắc nghiệm Hàm số liên tục có đáp án (phần 2)
- 60 bài tập trắc nghiệm Giới hạn của hàm số có đáp án (phần 1)
- 60 bài tập trắc nghiệm Giới hạn của hàm số có đáp án (phần 2)
Tủ sách VIETJACK shopee lớp 10-11 (cả 3 bộ sách):
Đã có app VietJack trên điện thoại, giải bài tập SGK, SBT Soạn văn, Văn mẫu, Thi online, Bài giảng....miễn phí. Tải ngay ứng dụng trên Android và iOS.
Theo dõi chúng tôi miễn phí trên mạng xã hội facebook và youtube:Nếu thấy hay, hãy động viên và chia sẻ nhé! Các bình luận không phù hợp với nội quy bình luận trang web sẽ bị cấm bình luận vĩnh viễn.
- Giải Tiếng Anh 11 Global Success
- Giải sgk Tiếng Anh 11 Smart World
- Giải sgk Tiếng Anh 11 Friends Global
- Lớp 11 - Kết nối tri thức
- Soạn văn 11 (hay nhất) - KNTT
- Soạn văn 11 (ngắn nhất) - KNTT
- Giải sgk Toán 11 - KNTT
- Giải sgk Vật Lí 11 - KNTT
- Giải sgk Hóa học 11 - KNTT
- Giải sgk Sinh học 11 - KNTT
- Giải sgk Lịch Sử 11 - KNTT
- Giải sgk Địa Lí 11 - KNTT
- Giải sgk Giáo dục KTPL 11 - KNTT
- Giải sgk Tin học 11 - KNTT
- Giải sgk Công nghệ 11 - KNTT
- Giải sgk Hoạt động trải nghiệm 11 - KNTT
- Giải sgk Giáo dục quốc phòng 11 - KNTT
- Giải sgk Âm nhạc 11 - KNTT
- Lớp 11 - Chân trời sáng tạo
- Soạn văn 11 (hay nhất) - CTST
- Soạn văn 11 (ngắn nhất) - CTST
- Giải sgk Toán 11 - CTST
- Giải sgk Vật Lí 11 - CTST
- Giải sgk Hóa học 11 - CTST
- Giải sgk Sinh học 11 - CTST
- Giải sgk Lịch Sử 11 - CTST
- Giải sgk Địa Lí 11 - CTST
- Giải sgk Giáo dục KTPL 11 - CTST
- Giải sgk Hoạt động trải nghiệm 11 - CTST
- Giải sgk Âm nhạc 11 - CTST
- Lớp 11 - Cánh diều
- Soạn văn 11 Cánh diều (hay nhất)
- Soạn văn 11 Cánh diều (ngắn nhất)
- Giải sgk Toán 11 - Cánh diều
- Giải sgk Vật Lí 11 - Cánh diều
- Giải sgk Hóa học 11 - Cánh diều
- Giải sgk Sinh học 11 - Cánh diều
- Giải sgk Lịch Sử 11 - Cánh diều
- Giải sgk Địa Lí 11 - Cánh diều
- Giải sgk Giáo dục KTPL 11 - Cánh diều
- Giải sgk Tin học 11 - Cánh diều
- Giải sgk Công nghệ 11 - Cánh diều
- Giải sgk Hoạt động trải nghiệm 11 - Cánh diều
- Giải sgk Giáo dục quốc phòng 11 - Cánh diều
- Giải sgk Âm nhạc 11 - Cánh diều


Giải bài tập SGK & SBT
Tài liệu giáo viên
Sách
Khóa học
Thi online
Hỏi đáp

