Cách tìm m để hàm số liên tục cực hay
Bài viết Cách tìm m để hàm số liên tục với phương pháp giải chi tiết giúp học sinh ôn tập, biết cách làm bài tập Cách tìm m để hàm số liên tục.
Cách tìm m để hàm số liên tục cực hay
(199k) Xem Khóa học Toán 11 KNTTXem Khóa học Toán 11 CDXem Khóa học Toán 11 CTST
A. Phương pháp giải & Ví dụ
Ta sử dụng điều kiện để hàm số liên tục và điều kiện để phương trình có nghiệm để làm các bài toán dạng này.
- Điệu kiện để hàm số liên tục tại x0:
- Điều kiện để hàm số liên tục trên một tập D là f(x) liên tục tại mọi điểm thuộc D.
- Phương trình f(x) = 0 có ít nhất một nghiệm trên D nếu hàm số y = f(x) liên tục trên D và có hai số a, b thuộc D sao cho f(a).f(b) < 0.
Phương trình f(x) = 0 có k nghiệm trên D nếu hàm số y = f(x) liên tục trên D và tồn tại k khoảng rời nhau (ai ; ai+1) (i = 1,2,…,k) nằm trong D sao cho f(ai).f(ai+1) < 0.
Ví dụ minh họa
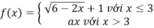
Bài 1: Xác định a để hàm số liên tục trên R.
Hướng dẫn:
Hàm số xác định trên R
Với x < 2 ⇒ hàm số liên tục
Với x > 2 ⇒ hàm số liên tục
Với x = 2 ta có
Hàm số liên tục trên R ⇔ hàm số liên tục tại x = 2
Vậy a = -1, a = 0.5 là những giá trị cần tìm.
Bài 2: Cho hàm số f(x) = x3 – 1000x2 + 0,01 . phương trình f(x) = 0 có nghiệm thuộc khoảng nào trong các khoảng sau đây ?
I. (–1; 0) II. (0; 1) III. (1; 2)
Hướng dẫn:
Ta có hàm số y = f(x) = x3 – 1000x2 + 0,01 là hàm liên tục trên R
f(0) = 0.01 và f(-1) = - 1001 + 0.01 < 0. Nên f(0).(-1) < 0.
Vậy hàm số có nghiệm trong khoảng I
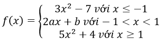
Bài 3: Tìm m để các hàm số sau liên tục trên R
Hướng dẫn:
Với x < 0 ⇒ hàm số liên tục
Với x > 0 ⇒ hàm số liên tục
Với x = 0 ta có
Hàm số liên tục trên R ⇔ hàm số liên tục tại x = 0
Bài 4: Chứng minh rằng phương trình sau có ít nhất một nghiệm :
x7 + 3x5 - 1 = 0
Hướng dẫn:
Ta có hàm số f(x) = x7 + 3x5 - 1 liên tục trên R và f(0).f(1) = - 3 < 0
Suy ra phương trinh f(x) = 0 có ít nhất một nghiệm thuộc (0,1).
Bài 5: Chứng minh rằng phương trình sau có ít nhất một nghiệm :
x2sinx + xcosx + 1 = 0
Hướng dẫn:
Ta có hàm số f(x) = x2sinx + xcosx + 1 liên tục trên R và f(0).f(π) = -π < 0. Suy ra phương trinh f(x) = 0 có ít nhất một nghiệm thuộc (0 ; π).
Bài 6: Xác định a, b để các hàm số sau liên tục trên R
Hướng dẫn:
Ta có hàm số đã cho liên tục trên R\{π/2} do các hàm y = sinx và y = ax + b lên tục trên R.
Ta chỉ cần xét tính liên tục của hàm số tại x = π/2.
Vậy a, b là số thực thỏa mãn phương trình thì hàm số đã cho liên tục trên R.
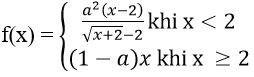
Bài 7: Tìm m để các hàm số sau liên tục trên R
Hướng dẫn:
Hàm số xác định trên R
Với x < 2 ⇒ hàm số liên tục
Với x > 2 ⇒ hàm số liên tục
Với x = 2 ta có
⇔ m = 3
Vậy m = 3 là giá trị cần tìm
Bài 8: Xác định a,b để các hàm số sau liên tục trên R
Hướng dẫn:
Với x ≠ 2 và x ≠ 0 hàm số liên tục.
Để hàm số đã cho liên tục trên R thì hàm số phải liên tục tại x = 2 và x = 0
Vậy a = 1 và b = -1 thì hàm số liên tục trên R
B. Bài tập vận dụng
Bài 1: Cho hàm số:
Với giá trị nào của a thì hàm số f(x) liên tục tại x = - 2?
A. a = -5
B. a = 0
C. a = 5
D. a = 6
Lời giải:
Đáp án: C
Đáp án C
Bài 2: Cho hàm số:
Với giá trị nào của a thì hàm số f(x) liên tục tại x = 3?
A. a = 3 B. a = 1/3 C. a = -1/3 C. a = -2
Lời giải:
Đáp án: B
Đáp án B
Bài 3: Cho hàm số:
Với giá trị nào của m thì hàm số đã cho liên tục tại x = 2?
A. -2
B. -1
C. 1
D. 3
Lời giải:
Đáp án: C
Đáp án C
Bài 4: Cho hàm số:
Giá trị nào của m để hàm số đã cho liên tục tại x = -2?
A. 7
B. -7
C. 5
D. 1
Lời giải:
Đáp án: A
Đáp án A
Bài 5: Cho hàm số:
Với giá trị nào của a thì hàm số đã cho liên tục tại x = 2?
A. -2
B. -1
C. 1
D. 3
Lời giải:
Đáp án: B
Đáp án B
Bài 6: Cho hàm số:
Hàm số đã cho liên tục trên R khi và chỉ khi:
Lời giải:
Đáp án: A
Hàm số đã cho liên tục trên R khi và chỉ khi hàm số đó liên tục tại x = 1 và x = -1
Đáp án A
Bài 7: Cho hàm số
Giá trị của m để f(x) liên tục tại x = 2 là:
Lời giải:
Đáp án: C
Hàm số liên tục tại x = 2 khi và chỉ khi
Đáp án C
Bài 8: Cho hàm số:
Tìm b để f(x) liên tục tại x = 3
A. √3 B. - √3 C. (2√3)/3 D. – (2√3)/3
Lời giải:
Đáp án: D
Hàm số liên tục tại x = 3 khi và chỉ khi
Đáp án D
Bài 9: Cho hàm số:
Tìm k để f(x) gián đoạn tại x = 1.
Lời giải:
Đáp án: A
f(x) gián đoạn tại x = 1 khi và chỉ khi:
Đáp án A
Bài 10: Cho hàm số:
Tìm m để f(x) liên tục trên [0;+∞) là.
A.1/3 B. 1/2 C. 1/6 D. 1
Lời giải:
Đáp án: C
f(x) liên tục trên [0;+∞) khi và chỉ khi f(x) liên tục tại x = 0+ và liên tục tại x = 9
Đáp án C
Bài 11: Cho hàm số:
Giá trị của a để f(x) liên tục trên R là:
A. 1 và 2 B. 1 và –1 C. –1 và 2 D. 1 và –2
Lời giải:
Đáp án: D
Đáp án D
Bài 12: Cho hàm số:
Tìm a để f(x) liên tục tại x = 0
A. 1 B. –1 C. –2 D. 2
Lời giải:
Đáp án: B
Hàm số liên tục tại x = khi và chỉ khi
Đáp án B
Bài 13: Tìm khẳng định đúng trong các khẳng định sau:
I. f(x) liên tục trên đoạn [a;b] và f(a).f(b) > 0 thì tồn tại ít nhất số c ∈ (a;b) sao cho f(c) = 0
II. f(x) liên tục trên (a;b] và trên [b;c) nhưng không liên tục trên (a;c)
A. Chỉ I đúng B. Chỉ II đúng C. Cả I và II đúng D. Cả I và II sai
Lời giải:
Đáp án: D
Đáp án D
Bài 14: Tìm khẳng định đúng trong các khẳng định sau:
I. f(x) liên tục trên đoạn [a;b] và f(a).f(b) < 0 thì phương trình f(x) = 0 có nghiệm
II. f(x) không liên tục trên [a;b] và f(a).f(b) ≥ 0 thì phương trình f(x) = 0 vô nghiệm
A. Chỉ I đúng B. Chỉ II đúng C. Cả I và II đúng D. Cả I và II sai
Lời giải:
Đáp án: A
Đáp án A
Bài 15: Cho hàm số . Chọn câu đúng trong các câu sau:
(I) f(x) liên tục tại x = 2
(II) f(x) gián đoạn tại x = 2
(III) f(x) liên tục trên đoạn [-2, 2]
A. Chỉ (I) và (III) B. Chỉ (I) C. Chỉ (II) D. Chỉ (II) và (III)
Lời giải:
Đáp án: B
TXĐ: D = (-∞, -2] ∪ [2, +∞). Vậy (III) và (II) sai. Đáp án B
C. Bài tập tự luyện
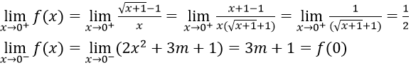
Bài 1. Cho hàm số f(x) = . Tìm m để hàm số liên tục tại x = 1.
Bài 2. Tìm a để hàm số liên tục tại x = 2, biết f(x) = .
Bài 3. Tìm m để hàm số liên tục tại x = 2. Biết g(x) = .
Bài 4. Tìm a để hàm số y = f(x) = liên tục tại x = 0.
Bài 5. Tìm m để hàm số sau liên tục tại x = 1: y = f(x) = .
(199k) Xem Khóa học Toán 11 KNTTXem Khóa học Toán 11 CDXem Khóa học Toán 11 CTST
Xem thêm các dạng bài tập Toán lớp 11 có trong đề thi THPT Quốc gia khác:
- Dạng 1: Xét tính liên tục của hàm số
- 40 bài tập trắc nghiệm Hàm số liên tục có đáp án (phần 1)
- 40 bài tập trắc nghiệm Hàm số liên tục có đáp án (phần 2)
- 60 bài tập trắc nghiệm Giới hạn của hàm số có đáp án (phần 1)
- 60 bài tập trắc nghiệm Giới hạn của hàm số có đáp án (phần 2)
Tủ sách VIETJACK shopee lớp 10-11 (cả 3 bộ sách):
Đã có app VietJack trên điện thoại, giải bài tập SGK, SBT Soạn văn, Văn mẫu, Thi online, Bài giảng....miễn phí. Tải ngay ứng dụng trên Android và iOS.
Theo dõi chúng tôi miễn phí trên mạng xã hội facebook và youtube:Nếu thấy hay, hãy động viên và chia sẻ nhé! Các bình luận không phù hợp với nội quy bình luận trang web sẽ bị cấm bình luận vĩnh viễn.
- Giải Tiếng Anh 11 Global Success
- Giải sgk Tiếng Anh 11 Smart World
- Giải sgk Tiếng Anh 11 Friends Global
- Lớp 11 - Kết nối tri thức
- Soạn văn 11 (hay nhất) - KNTT
- Soạn văn 11 (ngắn nhất) - KNTT
- Giải sgk Toán 11 - KNTT
- Giải sgk Vật Lí 11 - KNTT
- Giải sgk Hóa học 11 - KNTT
- Giải sgk Sinh học 11 - KNTT
- Giải sgk Lịch Sử 11 - KNTT
- Giải sgk Địa Lí 11 - KNTT
- Giải sgk Giáo dục KTPL 11 - KNTT
- Giải sgk Tin học 11 - KNTT
- Giải sgk Công nghệ 11 - KNTT
- Giải sgk Hoạt động trải nghiệm 11 - KNTT
- Giải sgk Giáo dục quốc phòng 11 - KNTT
- Giải sgk Âm nhạc 11 - KNTT
- Lớp 11 - Chân trời sáng tạo
- Soạn văn 11 (hay nhất) - CTST
- Soạn văn 11 (ngắn nhất) - CTST
- Giải sgk Toán 11 - CTST
- Giải sgk Vật Lí 11 - CTST
- Giải sgk Hóa học 11 - CTST
- Giải sgk Sinh học 11 - CTST
- Giải sgk Lịch Sử 11 - CTST
- Giải sgk Địa Lí 11 - CTST
- Giải sgk Giáo dục KTPL 11 - CTST
- Giải sgk Hoạt động trải nghiệm 11 - CTST
- Giải sgk Âm nhạc 11 - CTST
- Lớp 11 - Cánh diều
- Soạn văn 11 Cánh diều (hay nhất)
- Soạn văn 11 Cánh diều (ngắn nhất)
- Giải sgk Toán 11 - Cánh diều
- Giải sgk Vật Lí 11 - Cánh diều
- Giải sgk Hóa học 11 - Cánh diều
- Giải sgk Sinh học 11 - Cánh diều
- Giải sgk Lịch Sử 11 - Cánh diều
- Giải sgk Địa Lí 11 - Cánh diều
- Giải sgk Giáo dục KTPL 11 - Cánh diều
- Giải sgk Tin học 11 - Cánh diều
- Giải sgk Công nghệ 11 - Cánh diều
- Giải sgk Hoạt động trải nghiệm 11 - Cánh diều
- Giải sgk Giáo dục quốc phòng 11 - Cánh diều
- Giải sgk Âm nhạc 11 - Cánh diều


Giải bài tập SGK & SBT
Tài liệu giáo viên
Sách
Khóa học
Thi online
Hỏi đáp

