Quy tắc tính đạo hàm và cách giải bài tập (hay, chi tiết)
Bài viết Quy tắc tính đạo hàm và cách giải bài tập sẽ giúp học sinh nắm vững lý thuyết, biết cách làm bài tập từ đó có kế hoạch ôn tập hiệu quả để đạt kết quả cao trong các bài thi môn Toán 11.
Quy tắc tính đạo hàm và cách giải bài tập
(199k) Xem Khóa học Toán 11 KNTTXem Khóa học Toán 11 CDXem Khóa học Toán 11 CTST
1. Lý thuyết
a) Đạo hàm của một hàm số lượng giác
|
Đạo hàm các hàm số sơ cấp cơ bản |
Đạo hàm các hàm hợp u = u(x) |
|
(c)’ = 0 (c là hằng số) (x)’ = 1 |
|
|
(xα)' = α.xα−1
|
(uα)' = α.u'.uα−1
|
b) Các quy tắc tính đạo hàm
Cho các hàm số u = u(x), v = v(x) có đạo hàm tại điểm x thuộc khoảng xác định. Ta có:
1. (u + v)’ = u’ + v’
2. (u – v)’ = u’ – v’
3. (u.v)’ = u’.v + v’.u
4.
Chú ý:
a) (k.v)’ = k.v’ (k: hằng số)
b)
Mở rộng:
(u1 ± u2 ±...± un)' = u1' ± u2' ±...± un'
(u.v.w)' = u'.v.w + u.v'.w + u.v.w'
c) Đạo hàm của hàm số hợp
Cho hàm số y = f(u(x)) = f(u) với u = u(x). Khi đó:
2. Phương pháp giải
- Sử dụng các quy tắc, công thức tính đạo hàm trong phần lý thuyết.
- Nhận biết và tính đạo hàm của hàm số hợp, hàm số có nhiều biểu thức.
3. Ví dụ minh họa
Ví dụ 1: Tính đạo hàm của các hàm số tại các điểm x0 sau:
a) y = 7 + x – x2, với x0 = 1
b) y = 3x2 – 4x + 9, với x0 = 1
Lời giải
a) y = 7 + x – x2
Ta có: y' = 1 – 2x
Vậy y'(1) = 1 – 2. 1 = –1.
b) y = 3x2 – 4x + 9
Ta có: y' = 6x – 4
Vậy y'(1) = 6.1 – 4 = 2.
Ví dụ 2: Tính các đạo hàm của các hàm số sau:
a) y = –x3 + 3x + 1
b) y = (2x – 3)(x5 – 2x)
Lời giải
a) y’ = (–x3 + 3x + 1)’ = –3x2 + 3
b) y = (2x – 3)(x5 – 2x).
y’ = [(2x – 3)(x5 – 2x)]’
= (2x – 3)’.(x5 – 2x) + (x5 – 2x)’.(2x – 3)
= 2(x5 – 2x) + (5x4 – 2)(2x – 3)
= 12x5 – 15x4 – 8x + 6.
Ví dụ 3: Tính đạo hàm của các hàm số sau:
a) y = (x7 + x)2
b) y = (1 – 2x2)3
c)
d) y = (1 + 2x)(2 + 3x2)(3 – 4x3)
Lời giải
a) y = (x7 + x)2. Sử dụng công thức (uα)' = α.uα−1.u' (với u = x7 + x)
y' = 2(x7 + x).(x7 + x)’ = 2(x7 + x)(7x6 + 1).
b) y = (1 – 2x2)3. Sử dụng công thức (uα)' với u = 1 – 2x2
y' = 3(1 – 2x2)2.(1 – 2x2)’ = 3(1 – 2x2)2(– 4x) = – 12x(1 – 2x2)2.
c)
Bước đầu tiên sử dụng (uα)', với
d) y = (1 + 2x)(2 + 3x2)(3 – 4x3)
y’ = (1 + 2x)’(2 + 3x2)(3 – 4x3) + (1 + 2x)(2 + 3x2)’(3 – 4x3) + (1 + 2x)(2 + 3x2)(3 – 4x3)’
y’ = 2(2 + 3x2)(3 – 4x3) + (1 + 2x)(6x)(3 – 4x3) + (1 + 2x)(2 + 3x2)(– 12x2)
y’ = 12 – 16x3 + 18x2 – 24x5 + 18x – 24x4 + 36x2 – 48x5 – 72x5 – 36x4 – 48x3 – 12x2
y’ = – 144x5 – 60x4 – 64x3 + 42x2 + 18x + 12.
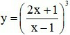
e) . Sử dụng công thức
với u = 1 + 2x – x2
f) Sử dụng
được:
4. Bài tập tự luyện
Câu 1. Cho hàm số f(x) xác định trên R bởi f(x) = 2x2 + 1. Giá trị f’(– 1) bằng:
A. 2 B. 6 C. – 4 D. 3
Câu 2. Cho hàm số f(x) = – 2x2 + 3x xác định trên R. Khi đó f'(x) bằng:
A. – 4x – 3 B. –4x + 3 C. 4x + 3 D. 4x – 3
Câu 3. Đạo hàm của hàm số y = (1 – x3)5 là:
A. y' = 5(1 – x3)4 B. y' = –15x2(1 – x3)4
C. y' = –3(1 – x3)4 D. y' = –5x2(1 – x3)4
Câu 4. Đạo hàm của hàm số y = (x2 – x + 1)5 là:
A. 4(x2 – x + 1)4(2x – 1) B. 5(x2 – x + 1)4
C. 5(x2 – x + 1)4(2x – 1) D. (x2 – x + 1)4(2x – 1)
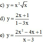
Câu 5. Đạo hàm của hàm số bằng biểu thức nào dưới đây?
Câu 6. Hàm số có đạo hàm là:
Câu 7. Đạo hàm của hàm số bằng biểu thức có dạng
. Khi đó a – b bằng:
A. a – b = 2 B. a – b = –1 C. a – b = 1 D. a – b = –2
Câu 8. Cho hàm số đạo hàm của hàm số tại x = 1 là:
A. y'(1) = –4 B. y'(1) = –5 C. y'(1) = –3 D. y'(1) = –2
Câu 9. Cho hàm số Tính y'(0) bằng:
A. B.
C. y'(0) = 1 D. y'(0) = 2
Câu 10. Hàm số có đạo hàm là:
Câu 11. Cho hàm số f(x) xác định trên D = [0;+∞) cho bởi có đạo hàm là:
Câu 12. Hàm số xác định trên D = [0;+∞). Đạo hàm của f(x)là:
A. B.
C. D.
Câu 13. Đạo hàm của hàm số bằng biểu thức có dạng
Khi đó a + b bằng:
A. a + b = –10 B. a + b = 5 C. a + b = –10 D. a + b = –12
Câu 14. Đạo hàm của hàm số y = (x2 + 1)(5 – 3x2) bằng biểu thức có dạng ax3 + bx. Khi đó bằng:
A. – 1 B. –2 C. 3 D. – 3
Câu 15. Đạo hàm của hàm số y = x2(2x + 1)(5x – 3) bằng biểu thức có dạng ax3 + bx2 + cx. Khi đó a + b + c bằng:
A. 31 B. 24 C. 51 D. 34
Bảng đáp án
|
1 |
2 |
3 |
4 |
5 |
6 |
7 |
8 |
9 |
10 |
11 |
12 |
13 |
14 |
15 |
|
C |
B |
B |
C |
C |
C |
C |
B |
A |
A |
B |
D |
D |
D |
A |
(199k) Xem Khóa học Toán 11 KNTTXem Khóa học Toán 11 CDXem Khóa học Toán 11 CTST
Xem thêm phương pháp giải các dạng bài tập Toán lớp 11 có đáp án, hay khác:
- Đạo hàm của hàm số lượng giác và cách giải
- Ứng dụng Đạo hàm để giải phương trình, bất phương trình
- Các bài toán về vi phân, đạo hàm cấp cao và ý nghĩa của đạo hàm
- Các dạng bài tập về tiếp tuyến lớp 11 và cách giải
- Đại cương về đường thẳng và mặt phẳng và cách giải
Tủ sách VIETJACK shopee lớp 10-11 (cả 3 bộ sách):
Đã có app VietJack trên điện thoại, giải bài tập SGK, SBT Soạn văn, Văn mẫu, Thi online, Bài giảng....miễn phí. Tải ngay ứng dụng trên Android và iOS.
Theo dõi chúng tôi miễn phí trên mạng xã hội facebook và youtube:Nếu thấy hay, hãy động viên và chia sẻ nhé! Các bình luận không phù hợp với nội quy bình luận trang web sẽ bị cấm bình luận vĩnh viễn.
- Giải Tiếng Anh 11 Global Success
- Giải sgk Tiếng Anh 11 Smart World
- Giải sgk Tiếng Anh 11 Friends Global
- Lớp 11 - Kết nối tri thức
- Soạn văn 11 (hay nhất) - KNTT
- Soạn văn 11 (ngắn nhất) - KNTT
- Giải sgk Toán 11 - KNTT
- Giải sgk Vật Lí 11 - KNTT
- Giải sgk Hóa học 11 - KNTT
- Giải sgk Sinh học 11 - KNTT
- Giải sgk Lịch Sử 11 - KNTT
- Giải sgk Địa Lí 11 - KNTT
- Giải sgk Giáo dục KTPL 11 - KNTT
- Giải sgk Tin học 11 - KNTT
- Giải sgk Công nghệ 11 - KNTT
- Giải sgk Hoạt động trải nghiệm 11 - KNTT
- Giải sgk Giáo dục quốc phòng 11 - KNTT
- Giải sgk Âm nhạc 11 - KNTT
- Lớp 11 - Chân trời sáng tạo
- Soạn văn 11 (hay nhất) - CTST
- Soạn văn 11 (ngắn nhất) - CTST
- Giải sgk Toán 11 - CTST
- Giải sgk Vật Lí 11 - CTST
- Giải sgk Hóa học 11 - CTST
- Giải sgk Sinh học 11 - CTST
- Giải sgk Lịch Sử 11 - CTST
- Giải sgk Địa Lí 11 - CTST
- Giải sgk Giáo dục KTPL 11 - CTST
- Giải sgk Hoạt động trải nghiệm 11 - CTST
- Giải sgk Âm nhạc 11 - CTST
- Lớp 11 - Cánh diều
- Soạn văn 11 Cánh diều (hay nhất)
- Soạn văn 11 Cánh diều (ngắn nhất)
- Giải sgk Toán 11 - Cánh diều
- Giải sgk Vật Lí 11 - Cánh diều
- Giải sgk Hóa học 11 - Cánh diều
- Giải sgk Sinh học 11 - Cánh diều
- Giải sgk Lịch Sử 11 - Cánh diều
- Giải sgk Địa Lí 11 - Cánh diều
- Giải sgk Giáo dục KTPL 11 - Cánh diều
- Giải sgk Tin học 11 - Cánh diều
- Giải sgk Công nghệ 11 - Cánh diều
- Giải sgk Hoạt động trải nghiệm 11 - Cánh diều
- Giải sgk Giáo dục quốc phòng 11 - Cánh diều
- Giải sgk Âm nhạc 11 - Cánh diều


Giải bài tập SGK & SBT
Tài liệu giáo viên
Sách
Khóa học
Thi online
Hỏi đáp

