Viết phương trình tiếp tuyến thỏa mãn điều kiện cho trước
Bài viết Viết phương trình tiếp tuyến thỏa mãn điều kiện cho trước với phương pháp giải chi tiết giúp học sinh ôn tập, biết cách làm bài tập Viết phương trình tiếp tuyến thỏa mãn điều kiện cho trước.
Viết phương trình tiếp tuyến thỏa mãn điều kiện cho trước
(199k) Xem Khóa học Toán 11 KNTTXem Khóa học Toán 11 CDXem Khóa học Toán 11 CTST
*Ý nghĩa hình học của đạo hàm:
Đạo hàm của hàm số y= f(x) tại điểm x0 là hệ số góc của tiếp tuyến với đồ thị (C) của hàm số tại điểm M0(x0; f(x0) ).
Khi đó phương trình tiếp tuyến của (C) tại điểm M0 là:
y–y0=f' (x0).(x–x0)
B. Ví dụ minh họa
Ví dụ 1. Gọi (Cm) là đồ thị của hàm số y=x3-(2m+1)x2+(m+3)x-3 và (d) là tiếp tuyến của (C) tại điểm có hoành độ x = 2. Có bao nhiêu giá trị nguyên của m để khoảng cách từ gốc tọa độ O đến (d) bằng 7/√17 .
A. 1 B. 2 C. 0 D.3
Hướng dẫn giải
Hàm số đã cho xác định với mọi x thuộc i .
Ta có đạo hàm: y'=3x2 -2(2m+1)x+m+3
⇒ y( 2) = - 6m+ 7 và y’( 2) = -7m+ 11
Phương trình tiếp tuyến (d) tại điểm có hoành độ x= 2 là:
y'=y'(2)(x-2)+y(2)
⇔ y= ( 11 – 7m)( x- 2)+ 7- 6m = ( 11- 7m)x+ 8m- 15
⇔ ( 11- 7m)x –y + 8m- 15=0
Khoảng cách từ O đến đường thẳng d là:
.Ví dụ 2. Cho hàm số y=3-x/x+2 (1). Viết phương trình tiếp tuyến (d) của (C) biết (d) cách đều hai điểm A( -1; -2) và B( 1; 0)
A. y= - 3x+ 1 B. y= -5x- 1 C. y= 5x+ 3 D. y= -2x+ 1
Hướng dẫn giải
Ví dụ 3. Cho đồ thị (C) của hàm số: y=2x+3/x+1 . Có bao nhiêu tiếp tuyến của đồ thị ( C) tại những điểm thuộc đồ thị có khoảng cách đến đường thẳng (d): 3x+ 4y – 2= 0 bằng 2?
A. 1 B. 2 C. 3 D.4
Hướng dẫn giải
Chọn D.
Ví dụ 4.Cho hàm số y= x3- 3x2+ 1 có đồ thị là ( C). Tìm trên đồ thị hai điểm A; B sao cho tiếp tuyến tại A và B song song với nhau và khoảng cách từ O đến đường thẳng đi qua hai điểm A; B bằng /√10/5 .
A. ( 1;2) và ( -2; -3) B. ( -2; 4) và ( - 5; 2)
C. ( -1; 0) và ( 7; 2) D. Đáp án khác
Hướng dẫn giải
Gọi A("x"1 ;"y"1 =x13-3x12+1), B("x" 2 ;"y" 2 =x23-3x22+1)là 2 điểm cần tìm với x1khác x2
Ta có đạo hàm: "y' "=" 3x" 2 -"6x"
Hệ số góc của các tiếp tuyến của (C) tại A và B lần lượt là
"k"1 =" 3" x12-"6x" 1 ,"k"2=" 3" x22-"6x" 2
Tiếp tuyến của tại A và B song song với nhau nên
"k"1 ="k"2⇔" 3" x12-"6x" 1 =" 3" x22-"6x" 2
Ví dụ 5.Cho hàm số y=(2x+1)/(x-1) có đồ thị (C). Viết phương trình tiếp tuyến của (C) biết tiếp tuyến cắt Ox, Oy lần lượt tại A, B sao cho tam giác OAB có diện tích bằng
Hướng dẫn giải
Chọn D.
Ví dụ 6. Cho hàm số y=2x+m+1/x-1 (C) . Tiếp tuyến của (C) tại điểm có hoành độ x0= 2 tạo với hai trục tọa độ một tam giác có diện tích bằng . Hỏi có bao nhiêu giá trị nguyên của m thỏa mãn?
A. 1 B. 2 C. 3 D. 4
Hướng dẫn giải
Ví dụ 7. Viết phương trình tiếp tuyến d của đồ thị (c):y=2x+1/x+1 biết d cách đều 2 điểm A(2; 4) và B( -4; -2) .
Hướng dẫn giải
Gọi M(x0;y(x0)) , là tọa độ tiếp điểm của d và ( C)
Ví dụ 8.Xác định m để hai tiếp tuyến của đồ thị y=-x4+2mx2-2m+1 tại A(1; 0) và B( -1;0) hợp với nhau một góc M sao cho M=15/17 .
Hướng dẫn giải
Chọn B
Ví dụ 9 :Cho hàm số y=(x-1)/(2(x+1)) có đồ thị là (C). Tìm những điểm M trên (C) sao cho tiếp tuyến với (C) tại M tạo với hai trục tọa độ một tam giác có trọng tâm nằm trên đường thẳng 4x + y = 0.
Hướng dẫn giải
Ví dụ 10. Cho hàm số y=(x+3)/(x-1), có đồ thị là (C). Hỏi có bao nhiêu điểm M trên đường thẳng d: y= 2x+1 các điểm từ đó kẻ được duy nhất một tiếp tuyến tới (C).
A. 1 B. 2 C. 3 D. 4
Hướng dẫn giải
C. Bài tập vận dụng
Câu 1: Cho đồ thị (C) của hàm số: y=2x/(x-1). Có bao nhiêu tiếp tuyến của (C) tạo với đường thẳng (d'):4x+3y+2012=0 góc 45 độ
A. 0 B . 1 C. 2 D.3
Lời giải:
Câu 2: Cho đồ thị (C) của hàm số: y=2x/(x-1). Viết phương trình tiếp tuyến của đồ thị (C) biết rẳng tiếp tuyến tạo với chiều dương của trục hoành một góc ampha sao cho ampha=-2/√5
A. y=1/2 x+3/4 B. y=(-1)/2 x+9/2 C. y=(-1)/2 x-1/4 D. Đáp án khác
Lời giải:
Chọn D
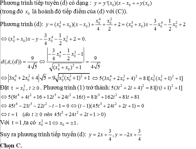
Câu 3: Cho hàm số x4/4+x2 /2+2 có đồ thị (C). Viết phương trình tiếp tuyến (d) của (C) biết khoảng cách từ điểm A(0;3) đến (d) bằng .9/4√5
Lời giải:
Phương trình tiếp tuyến (d) có dạng : y=y'(x0)(x-x0++y(x0)
(trong đó là hoành độ tiếp điểm của (d) với (C)).
Phương trình (d):
Câu 4: Cho hàm số y=(ax+b)/(x-2), có đồ thị là . Tìm biết tiếp tuyến của đồ thị (C) tại giao điểm của (C) và trục Ox có phương trình là y=-1/2 x+2
A. a= -1; b= 1 B. a= -1; b= 2 C. a= -1; b= 3 D. a= -1; b= 4
Lời giải:
Giao điểm của tiếp tuyến : y=-1/2 x+2 với trục Ox là A(4;0)
Câu 5: Tìm m để đồ thị hàm số (C): y=(x2+2mx+2m2-1)/x-1 cắt trục hoành tại hai điểm phân biệt và các tiếp tuyến với (C) tại hai điểm này vuông góc với nhau.
Lời giải:
Câu 6: Cho hàm số y=x3-3x2+1" "(C). Tồn tại hai điểm A; B trên đồ thị hàm số sao cho tiếp tuyến của đồ thị (C) tại A;B song song với nhau và AB=4√2. Tọa độ một trong hai điểm là
A: ( 12; - 54) B: ( 5; 51) C: (-3; 53) D: (2; -18)
Lời giải:
Câu 7: Cho hàm số 2x-1/x-1 Số điểm M trên đồ thị (C) biết tiếp tuyến với đồ thị hàm số tại M cắt trục Ox; Oy lần lượt tại A; B sao cho AB=√28 .OB
A : không tồn tại B : 1 C : 2 D : 3
Lời giải:
Câu 8: Tìm m để tiếp tuyến của đồ thị y=x3-mx+m-1 tại điểm M có hoành độ x= -1 cắt đường tròn (C) có phương trình ( x- 2)2+ ( y- 3)2= 4 theo một dây cung có độ dài nhỏ nhất.
A. m= 2 B. m= 6 C. m= 8 D.m= -2
Lời giải:
Ta có: y'=3x2-m⇔ y’( 1)= 3-m và y(-1) = 2m- 2.
Đường tròn (C) có tâm I(2; 3) và R = 2.
Phương trình tiếp tuyến của đường thẳng d tại M(-1; 2m- 2)
y=(3-m)( x+1)+2m-2 hay y= ( 3- m) x+ m+ 1
⇔ (3-m)x-y+m+1=0
Dấu "=" xảy ra ⇔ m= 2.
Dó đó d( I; d) đạt lớn nhất khi m= 2.
Tiếp tuyến d cắt (C) tại 2 điểm A, B sao cho AB ngắn nhất ⇔ d( I; d) lớn nhất ⇔ m= 2
suy ra d: y= x+ 3.
Chọn A.
Câu 9: Cho hàm số y=x4/4+x2/2+2có đồ thị (C). Viết phương trình tiếp tuyến (d) của (C) biết khoảng cách từ điểm A(0;3) đến (d) bằng 9/4√5
.Lời giải:
Câu 10: Cho hàm số y=-x3+3x+2 có đồ thị là (C). Tìm những điểm trên trục hoành sao cho từ đó kẻ được ba tiếp tuyến đến đồ thị hàm số và trong đó có hai tiếp tuyến vuông góc với nhau.
Lời giải:
Câu 11: Cho hàm số y=x4-2x2-1 có đồ thị là (C). Tìm M thuộc trục tung sao cho từ M vẽ đến (C) đúng ba tiếp tuyến.
A. M( 0; - 2) B. M( 0; -1) C. M(0; - 5) D. M(0; 9)
Lời giải:
Ta có y'=4x3-4x
Gọi . Tiếp tuyến của (C) tại A có phương trình
Δ:y=(4x03-4x0)(x-x0)+y0
Vì (C) nhận Oy làm trục đối xứng nên nếu d là một tiếp tuyến của (C) thì đường thẳng d’ đối xứng với d qua Oy cũng là tiếp tuyến của (C).
Do đó, để từ M vẽ được ba tiếp tuyến đến (C) thì trong ba tiếp tuyến đó phải có một tiếp tuyến vuông góc với Oy.
Mà (C) có hai tiếp tuyến cùng phương với Ox là: y= -2 và y= - 1. Đường thẳng này cắt Oy tại M1 (0;-2),M2 (0;-1).
Ta kiểm tra được qua M1 chỉ vẽ đến (C) được một tiếp tuyến, còn từ M2 vẽ đến (C) được ba tiếp tuyến.
Vậy M(0; -1) là điểm cần tìm.
Chọn B.
Tủ sách VIETJACK shopee lớp 10-11 (cả 3 bộ sách):
Đã có app VietJack trên điện thoại, giải bài tập SGK, SBT Soạn văn, Văn mẫu, Thi online, Bài giảng....miễn phí. Tải ngay ứng dụng trên Android và iOS.
Theo dõi chúng tôi miễn phí trên mạng xã hội facebook và youtube:Nếu thấy hay, hãy động viên và chia sẻ nhé! Các bình luận không phù hợp với nội quy bình luận trang web sẽ bị cấm bình luận vĩnh viễn.
- Giải Tiếng Anh 11 Global Success
- Giải sgk Tiếng Anh 11 Smart World
- Giải sgk Tiếng Anh 11 Friends Global
- Lớp 11 - Kết nối tri thức
- Soạn văn 11 (hay nhất) - KNTT
- Soạn văn 11 (ngắn nhất) - KNTT
- Giải sgk Toán 11 - KNTT
- Giải sgk Vật Lí 11 - KNTT
- Giải sgk Hóa học 11 - KNTT
- Giải sgk Sinh học 11 - KNTT
- Giải sgk Lịch Sử 11 - KNTT
- Giải sgk Địa Lí 11 - KNTT
- Giải sgk Giáo dục KTPL 11 - KNTT
- Giải sgk Tin học 11 - KNTT
- Giải sgk Công nghệ 11 - KNTT
- Giải sgk Hoạt động trải nghiệm 11 - KNTT
- Giải sgk Giáo dục quốc phòng 11 - KNTT
- Giải sgk Âm nhạc 11 - KNTT
- Lớp 11 - Chân trời sáng tạo
- Soạn văn 11 (hay nhất) - CTST
- Soạn văn 11 (ngắn nhất) - CTST
- Giải sgk Toán 11 - CTST
- Giải sgk Vật Lí 11 - CTST
- Giải sgk Hóa học 11 - CTST
- Giải sgk Sinh học 11 - CTST
- Giải sgk Lịch Sử 11 - CTST
- Giải sgk Địa Lí 11 - CTST
- Giải sgk Giáo dục KTPL 11 - CTST
- Giải sgk Hoạt động trải nghiệm 11 - CTST
- Giải sgk Âm nhạc 11 - CTST
- Lớp 11 - Cánh diều
- Soạn văn 11 Cánh diều (hay nhất)
- Soạn văn 11 Cánh diều (ngắn nhất)
- Giải sgk Toán 11 - Cánh diều
- Giải sgk Vật Lí 11 - Cánh diều
- Giải sgk Hóa học 11 - Cánh diều
- Giải sgk Sinh học 11 - Cánh diều
- Giải sgk Lịch Sử 11 - Cánh diều
- Giải sgk Địa Lí 11 - Cánh diều
- Giải sgk Giáo dục KTPL 11 - Cánh diều
- Giải sgk Tin học 11 - Cánh diều
- Giải sgk Công nghệ 11 - Cánh diều
- Giải sgk Hoạt động trải nghiệm 11 - Cánh diều
- Giải sgk Giáo dục quốc phòng 11 - Cánh diều
- Giải sgk Âm nhạc 11 - Cánh diều


Giải bài tập SGK & SBT
Tài liệu giáo viên
Sách
Khóa học
Thi online
Hỏi đáp

