Viết phương trình tiếp tuyến của đồ thị hàm số đi qua 1 điểm
Bài viết Viết phương trình tiếp tuyến của đồ thị hàm số đi qua 1 điểm với phương pháp giải chi tiết giúp học sinh ôn tập, biết cách làm bài tập Viết phương trình tiếp tuyến của đồ thị hàm số đi qua 1 điểm.
Viết phương trình tiếp tuyến của đồ thị hàm số đi qua 1 điểm
(199k) Xem Khóa học Toán 11 KNTTXem Khóa học Toán 11 CDXem Khóa học Toán 11 CTST
*Ý nghĩa hình học của đạo hàm:
Đạo hàm của hàm số y= f(x) tại điểm x0 là hệ số góc của tiếp tuyến với đồ thị (C) của hàm số tại điểm M0(x0; f(x0) ).
Khi đó phương trình tiếp tuyến của (C) tại điểm M0 là:
y–y0=f' (x0).(x–x0)
A. Phương pháp giải
Cho (C) là đồ thị của hàm số y= f(x) và điểm A( a ; b).Viết phương trình tiếp tuyến với (C) biết tiếp tuyến đi qua A.
- Gọi ∆ là đường thẳng qua A và có hệ số góc k.
Khi đó tiếp tuyến ∆ có dạng : y= k(x- a)+ b (*)
- Thay (2) vào (1) ta có phương trình ẩn x. Tìm x thay vào (2) tìm k thay vào (*) ta có phương trình tiếp tuyến cần tìm.
B. Ví dụ minh họa
Ví dụ 1 : Cho hàm số y=2x4-4x2-1 có đồ thị là (C). Viết phương trình tiếp tuyến của (C), biết tiếp tuyến đi qua A( 1; -3).
Hướng dẫn giải
Ta có y'=8x3-8x
Gọi M(x0; 2x04- 4x02-1) là một điểm thuộc đồ thị hàm số (C).
Tiếp tuyến ∆ tại M có phương trình:
y=(8x03-8x0)(x-x0)+2x04-4x02-1 ( *)
Vì tiếp tuyến ∆ đi qua A( 1; -3)nên ta có
+ Với x0 = 1 thay vào (*) ta được phương trình tiếp tuyến: y= -3.
+ Với x0= -1 thay vào (*) ta được phương trình tiếp tuyến: y= -3.
+ Với x0= 1/3 thay vào (*) ta được phương trình tiếp tuyến:
Ví dụ 2. Cho ( C) là đồ thị của hàm số: y= x3+ 3x2 – 6x+ 1. Viết phương trình tiếp tuyến của ( C) đi qua điểm N( 0; 1) .
Hướng dẫn giải
Gọi M( x0; y0 ) là tiếp điểm
Ta có đạo hàm của hàm số đã cho là: y'= 3x2+6x-6
Phương trình tiếp tuyến có dạng:
Vì tiếp tuyến đi qua N( 0;1) nên ta có:
1=(3x02+6x0-6)(-x0)+x03+3x02-6x0+1
⇔2x03+3x02=0 ⇔x0=0,x0=-3/2
+ Nếu x0= 0 ⇒ y’(x0)= - 6.
⇒ Phương trình tiếp tuyến: y= -6x+ 1.
+ Nếu x0=-3/2 thì y' (x0 )= (- 33)/4; y0= 107/8
⇒ Phương trình tiếp tuyến: y'=-33/4(x+3/2)+107/8=-33/4 x+1
Chọn C.
Ví dụ 3 Viết phương trình tiếp tuyến của đồ thị hàm số: y=x4+x2+1 biết tiếp tuyến đi qua điểm M( -1; 3).
A. y= -6x - 2 B. y= -6x- 9 C. y= -6x- 3 D. y= - 6x- 4
Hướng dẫn giải
Ta có đạo hàm : y’= 43 + 2x. Gọi M( x0; y0) là tiếp điểm.
Phương trình tiếp tuyến có dạng:
y=(4x03+2x0)(x-x0)+x04+x02+1
Vì tiếp tuyến đi qua M( -1; 3) nên ta có:
⇔(x0+1)2 (3x02-2x0+2)=0
⇔x0=-1 ⇒y0=3,y'(x0)=-6
Phương trình tiếp tuyến: y – 3= - 6( x+ 1) hay y= - 6x – 3
Chọn C.
Ví dụ 4. Cho hàm số y=2x+2/x-1 (C). Viết phương trình tiếp tuyến của (C), biết tiếp tuyến đi qua điểm A( 4; 3)
Hướng dẫn giải
Hàm số xác định với mọi
.Ta có đạo hàm
Gọi M( x0; y0) là tiếp điểm, suy ra phương trình tiếp tuyến của (C):
Ví dụ 5. Tìm trên (C) : y= 2x3- 3x2 + 1 những điểm M sao cho tiếp tuyến của (C) tại M cắt trục tung tại điểm có tung độ bằng 8.
A. M( 1; 0) B. M(- 2; - 27) C. M( -1; - 4) D. M( 2; 5)
Hướng dẫn giải
Giả sử M(x0;y0)∈(C) ⇔ y0=2x03-3x02+1.
Ta có đạo hàm: y'=6x2-6x.
Phương trình tiếp tuyến ⇔ tại M: y=(6x02-6x0)(x-x0)+2x03-3x02+1.
Gọi giao điểm của tiếp tuyến ∆ và trục tung là P ⇒ P( 0; 8)
⇔ đi qua P( 0; 8) nên thay tọa độ điểm M vào phương trình∆ ta được
8=-4x03+3x02+1 ⇔ x0=-1.
Vậy M(-1; - 4)
Chọn C.
Ví dụ 6: Cho hàm số (C): y = (x+2)/(x-2) . Viết phương trình tiếp tuyến đi qua A(-6;5) của đồ thị (C).
A: y=x+1 B: y=-x-1 C: y=-x+1 D: Đáp án khác
Hướng dẫn giải
Ví dụ 7.Cho hàm số y=(2x+1)/(x-1) (C). Viết phương trình tiếp tuyến của (C) biết tiếp tuyến đi qua A( -7; 5).
Hướng dẫn giải
C. Bài tập vận dụng
Câu 1: Cho hàm số y=x3-3x2-9x+1có đồ thị là (C). Viết phương trình tiếp tuyến của (C), biết tiếp tuyến đi qua điểm A( -1; 6) .
Lời giải:
Ta có: y'=3(x2-2x-3). Gọi M(x0; y0) là tiếp điểm.
Phương trình tiếp tuyến ∆ tại M là:
y=3(x02-2x0-3).( x- x0 )+ x03-3x02-9x0+1 ( *)
Do tiếp tuyến đi qua A nên ta có phương trình
6=3(x02-2x0-3)(-1-x0)+x03-3x02-9x0+1
⇔x03-3x0-2=0⇔(x0+1)2 (x0-2)=0
⇔x0=-1,x0=2
+ Với x0= -1thay vào (*) ta có phương trình tiếp tuyến là: y= 6
+ Với x0= 2 thay vào (*) ta có phương trình tiếp tuyến là y= -9x - 3
Chọn D.
Câu 2: Tiếp tuyến kẻ từ điểm (2; 3) tới đồ thị (C) của hàm số y = (3x+4)/(x-1) là
A. y= -28x+ 59; y= x+ 1. B. y= -24x + 51; y= x+ 1.
C. y= -28x + 59. D. y= -28 x+ 59; y= -24 x+ 51
Lời giải:
Câu 3: Cho hàm số y= (x2+x+1)/(x+1) có đồ thị (C). Phương trình tiếp tuyến của (C) đi qua điểm
A( -1;0) là:
A. y= 3/4 x B. y= 3/4 ( x+1) C. y= 3( x+ 1) D. y= 3x+1
Lời giải:
Gọi d là phương trình tiếp tuyến của (C) có hệ số góc k.
Vì A( -1;0) ∈d suy ra đường thẳng d có dạng: y= k( x+ 1)
Thay (2) vào (1) ta được x= 1 ⇒ k= y' (1)= 3/4.
Vậy phương trình tiếp tuyến của (C) đi qua điểm A( -1; 0) là: y= 3/4( x+1)
Chọn B.
Câu 4: Qua điểm A( 0; 2) có thể kẻ được bao nhiêu tiếp tuyến với đồ thị (C) của hàm số
y= x4- 2x2+ 2
A. 2 B. 3 C.0 D. 1
Lời giải:
Gọi d là tiếp tuyến của đồ thị hàm số đã cho.
Đường thẳng d đi qua A(0; 2) và có hệ số góc k nên phương trình của d có dạng: y= kx+ 2
Câu 5: Phương trình tiếp tuyến của (C): y= x3 biết nó đi qua điểm M( 2; 0) là:
A. y= 27 x+ 54 và y= 27x- 54. B. y= 27 x- 9 và y= 27 x - 2.
C. y= 27 x+ 27 và y= 27 x- 27. D. y= 0 và y= 27x - 54.
Lời giải:
+ Đạo hàm y’= 3x2
+ Gọi A( x0 ; y0) là tiếp điểm. Phương trình tiếp tuyến của (C) tại A là:
+ Với x0= 0 thay vào (d) ta có tiếp tuyến y= 0.
+ Với x0 = 3 thay vào (d) ta có tiếp tuyến y= 27x- 54.
Chọn D
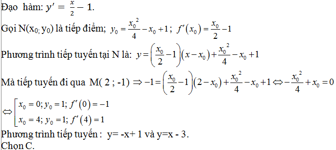
Câu 6: Cho hàm số f(x) =x2/4-x+1 , có đồ thị (C). Từ điểm M( 2; -1) có thể kẻ đến (C) hai tiếp tuyến phân biệt. Hai tiếp tuyến này có phương trình:
A. y= -x+ 1và y= x+ 3. B. y= 2x- 5 và y= -2x + 3.
C. y= -x +1 và y = x - 3. D.y= x+ 1và y= -x- 3.
Lời giải:
Câu 7: Cho đồ thị (C) của hàm số y= x2+ 2x+ 3. Viết phương trình tiếp tuyến d của đồ thị hàm số biết đường thẳng d đi qua điểm A( 1 ; 6).
A. y= 2x- 3 B. y= 3x+ 3 C.y= 4x+ 2 D. y= -x+ 7
Lời giải:
+ Đạo hàm : y’= 2x+ 2
+ Gọi M(x0;x02+2x0+3) là điểm thuộc đồ thị (C)
⇒ Phương trình tiếp tuyến tại M là :
y=( 2x0+2)(x- x0 )+ x02+2x0+3 ( *)
+ Do tiếp tuyến d đi qua điểm A( 1 ; 6) nên ta có :
6= ( 2x0+2)(1- x0 )+ x02+2x0+3
⇔ 2x0-2x02+2-2x0+ x02+2x0+3=6
⇔ -x02+2x0-1= 0 ⇔ x0= 1
Thay vào (*) ta được phương trình tiếp tuyến cần tìm là ;
y= 4x+ 2
chọn C.
Tủ sách VIETJACK shopee lớp 10-11 (cả 3 bộ sách):
Đã có app VietJack trên điện thoại, giải bài tập SGK, SBT Soạn văn, Văn mẫu, Thi online, Bài giảng....miễn phí. Tải ngay ứng dụng trên Android và iOS.
Theo dõi chúng tôi miễn phí trên mạng xã hội facebook và youtube:Nếu thấy hay, hãy động viên và chia sẻ nhé! Các bình luận không phù hợp với nội quy bình luận trang web sẽ bị cấm bình luận vĩnh viễn.
- Giải Tiếng Anh 11 Global Success
- Giải sgk Tiếng Anh 11 Smart World
- Giải sgk Tiếng Anh 11 Friends Global
- Lớp 11 - Kết nối tri thức
- Soạn văn 11 (hay nhất) - KNTT
- Soạn văn 11 (ngắn nhất) - KNTT
- Giải sgk Toán 11 - KNTT
- Giải sgk Vật Lí 11 - KNTT
- Giải sgk Hóa học 11 - KNTT
- Giải sgk Sinh học 11 - KNTT
- Giải sgk Lịch Sử 11 - KNTT
- Giải sgk Địa Lí 11 - KNTT
- Giải sgk Giáo dục KTPL 11 - KNTT
- Giải sgk Tin học 11 - KNTT
- Giải sgk Công nghệ 11 - KNTT
- Giải sgk Hoạt động trải nghiệm 11 - KNTT
- Giải sgk Giáo dục quốc phòng 11 - KNTT
- Giải sgk Âm nhạc 11 - KNTT
- Lớp 11 - Chân trời sáng tạo
- Soạn văn 11 (hay nhất) - CTST
- Soạn văn 11 (ngắn nhất) - CTST
- Giải sgk Toán 11 - CTST
- Giải sgk Vật Lí 11 - CTST
- Giải sgk Hóa học 11 - CTST
- Giải sgk Sinh học 11 - CTST
- Giải sgk Lịch Sử 11 - CTST
- Giải sgk Địa Lí 11 - CTST
- Giải sgk Giáo dục KTPL 11 - CTST
- Giải sgk Hoạt động trải nghiệm 11 - CTST
- Giải sgk Âm nhạc 11 - CTST
- Lớp 11 - Cánh diều
- Soạn văn 11 Cánh diều (hay nhất)
- Soạn văn 11 Cánh diều (ngắn nhất)
- Giải sgk Toán 11 - Cánh diều
- Giải sgk Vật Lí 11 - Cánh diều
- Giải sgk Hóa học 11 - Cánh diều
- Giải sgk Sinh học 11 - Cánh diều
- Giải sgk Lịch Sử 11 - Cánh diều
- Giải sgk Địa Lí 11 - Cánh diều
- Giải sgk Giáo dục KTPL 11 - Cánh diều
- Giải sgk Tin học 11 - Cánh diều
- Giải sgk Công nghệ 11 - Cánh diều
- Giải sgk Hoạt động trải nghiệm 11 - Cánh diều
- Giải sgk Giáo dục quốc phòng 11 - Cánh diều
- Giải sgk Âm nhạc 11 - Cánh diều


Giải bài tập SGK & SBT
Tài liệu giáo viên
Sách
Khóa học
Thi online
Hỏi đáp

