150 bài tập trắc nghiệm Nguyên hàm, Tích phân và ứng dụng có lời giải (nâng cao - phần 1)
Với 150 bài tập trắc nghiệm Nguyên hàm, Tích phân và ứng dụng nâng cao có lời giải chi tiết sẽ giúp học sinh ôn tập, biết cách làm bài tập trắc nghiệm Nguyên hàm, Tích phân và ứng dụng.
150 bài tập trắc nghiệm Nguyên hàm, Tích phân và ứng dụng có lời giải (nâng cao - phần 1)
(199k) Học Toán 12 KNTTHọc Toán 12 CDHọc Toán 12 CTST
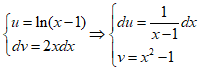
Bài 1: Kết quả tính
bằng
A.
- ln|2 - x| + C.
B.
+ ln|2 - x| + C .
C.
- ln|2 - x| + C .
D.
+ ln|2 - x| + C .
Lời giải:
Ta có:
Nên
=
=
- ln|2 - x| + C
Đáp án: A
Bài 2: Tìm nguyên hàm của hàm số f(x) = sin3x.sin3x .
A. ∫f(x)dx =
(
-
) -
(x -
) + C.
B. ∫f(x)dx =
(
-
) +
(x -
) + C.
C. ∫f(x)dx =
(
-
) -
(x -
) + C.
D. ∫f(x)dx =
(
+
) -
(x +
) + C.
Lời giải:
∫sin3x.sin3x.dx = ∫
.sin3x.dx
=
∫2sinx.sin3x.dx -
∫2sin23xdx =
∫(cos2x - cos4x)dx -
∫(1 - cos6x)dx
=
(
-
) -
(x -
) + C
Đáp án: A
Bài 3: Họ nguyên hàm của hàm số f(x) =
là hàm số nào?
A. F(x) = ln|x| -
+ x -
+ C .
B. F(x) = ln|x| +
+ x -
+ C .
C. F(x) =
-
+ ln|x| + C .
D. F(x) =
+
+ lnx + C .
Lời giải:
f(x) =
=
+
+ 1 +
.
∫f(x)dx = ∫(
+
+ 1 +
)dx = F(x) = ln|x| -
+ x -
+ C
Đáp án: A
Bài 4: Giá trị m để hàm số F(x) = mx3 + (3m + 2)x2 - 4x + 3 là một nguyên hàm của hàm số f(x) = 3x2 + 10x - 4 là:
A. m = 1 . B. m = 0 . C. m = 2 . D. m = 3 .
Lời giải:
∫(3x2 + 10x - 4)dx = x3 + 5x2 - 4x + C , nên m = 1 .
Đáp án: A
Bài 5: Gọi F(x) là nguyên hàm của hàm số f(x) = sin4(2x) thoả mãn
F(0) =
. Khi đó F(x) là:
A. F(x) =
(x + 1)-
sin4x +
sin8x
B. F(x) =
x -
sin4x +
sin8x
C. F(x) =
x +
sin2x +
sin4x +
D. F(x) = x - sin4x + sin6x +
.
Lời giải:
sin42x =
=
(1 - 2cos4x + cos24x) =
(1 - 2cos4x +
)
=
-
+
Nên ∫sin42x.dx = ∫(
-
+
)dx =
x -
+
+ C .
Vì F(0) =
nên suy ra đáp án A.
Đáp án: A
Bài 6: Biết hàm số f(x) = (6x + 1)2 có một nguyên hàm là F(x) = ax3 + bx2 + cx + d thoả mãn điều kiện F(-1) = 20. Tính tổng a + b + c + d .
A. 46 . B. 44 . C. 36 . D. 54 .
Lời giải:
∫(6x + 1)2dx = ∫(36x2 + 12x + 1)dx = 12x3 + 6x2 + x + C nên a = 12, b = 6, c = 1
Thay F(-1) = 20, d = 27
Ta có: a + b + c + d = 46
Đáp án: A
Bài 7: Tìm nguyên hàm: I =
A. ln
+ C
B. ln
+ C
C. ln
+ C
D. ln
+ C
Lời giải:
Ta có: I =
. Đặt t = ex ⇒ dt = exdx
Suy ra: I =
= ln
+ C
Đáp án: D
Bài 8: Tìm nguyên hàm I =
A. 2[
-
-
+ ln(
+ 1)] + C
B.
-
-
+ ln(
+ 1) + C
C. 2[
-
+
+ ln(
+ 1)] + C
D.
+
-
+ ln(
+ 1) + C
Lời giải:
Đặt t =
⇒ ex = t2 - 2 ⇒ exdx = 2tdt
I =
= 2∫(t2 - t - 1 +
)dt = 2(
-
- t + ln|t + 1|) + C
= 2[
-
-
+ ln(
+ 1)] + C
Đáp án: A
Bài 9: Tìm nguyên hàm của hàm s : K =
A.
ln
- ln
+ C
B.
ln
- ln
+ C
C.
ln
- ln
+ C
D.
ln
- 2ln
+ C
Với t=
Lời giải:
Đặt t=
⇒ ex = -
⇒ exdx = -
dt
⇒ dx =
dt
K = 30
=
=
ln
- ln
+ C,
với t=
Đáp án: C
Bài 10: Tìm nguyên hàm của hàm số J =
A.
(
+
- t + ln(t + 1)) + C
B.
(
-
- t + ln(t + 1)) + C
C.
(
-
- t + ln(t - 1)) + C
D.
(
-
- t - ln(t + 1)) + C
Với t=
Lời giải:
Đặt t=
⇒ lnx =
⇒
=
tdt
Suy ra J =
=
∫(t2 - t - 1 +
)dt =
(
-
- t + ln(t + 1)) + C
với t=
.
Đáp án: B
Bài 11: Tìm nguyên hàm:
a/ I =
A.
B.
C.
D.
b/ K =
A.
+ C
B.
+ C
C.
+ C
D.
+ C
Lời giải:
a. Đặt t = lnx ⇒ dt =
Suy ra I = ∫(t2 + 1)dt = (
+ t) + C =
.
Đáp án: B
b. Đặt t =
⇒ ln2x = t3 - 2 ⇒
=
t2dt
Suy ra I =
∫t3dt =
t4 + C =
+ C
Đáp án: A
Bài 12: Tìm nguyên hàm của I =
A.
+ C
B.
ln|tanx|+ C
C.
ln|tan2x|+ C
D. Đáp án khác
Lời giải:
Ta có:
Đặt t = tanx ⇒ dx =
Ta được: I =
Đáp án: D
Bài 13: Tìm nguyên hàm của: J =
A.
ln|tan
| - x + C
B.
ln|tan
+ 4| - lnx + C
C.
ln|tan
+ 3| - 2x + C
D. Đáp án khác
Lời giải:
Đặt t = tan
⇒ dx =
và sinx =
cosx =
Suy ra : 2cosx - sinx + 1 =
Đáp án: D
Bài 14: Tìm nguyên hàm: I =
A. 16 (
-
+
-
) + C
B. 16 (
+
+
-
) + C
C. 16 (
-
+
+
) + C
D. Tất cả sai
Lời giải:
Ta có: tan (x +
)tan(x -
) =
= -1
Suy ra: I = -16∫sin4x.cos6x.cosx.dx
Đặt t = sinx ⇒ dt = sinx.dx nên ta có:
I = -16∫t4(1 - t2)3dt = 16∫t4(t6 - 3t4 + 3t2 - 1)dt
= 16 (
-
+
-
) + C = 16 (
-
+
-
) + C
Đáp án: A
Bài 15: Tìm nguyên hàm: I =
A.
x +
ln|ex + 4e-x| + C
B.
x + lnex + 4e + C
C.
+
lnex + 4e-x + C
D. Đáp án khác
Lời giải:
Xét J =
Ta xét hệ :
⇒ 2I = x + ln|ex + 4e-x| + C1 + C2
hay
x +
ln|ex + 4e-x| + C
Đáp án: A
Bài 16: Tìm nguyên hàm J =
A.
-
+ C
B.
-
+ C
C.
+ 2
+ C
D. Đáp án khác
Lời giải:
Ta có :
Đặt t =
⇒ dt = -
dx
Suy ra
Đáp án: D
Bài 17: Tìm nguyên hàm: J =
A. -
ln|x3 + 2|-
ln|x3| - 2ln|x3 + 1| + C
B. -ln|x3 + 2|-
ln|x3| + 2ln|x3 + 1| + C
C. -
ln|x3 + 2| +
ln|x3| - 2ln|x3 + 1| + C
D. -
ln|x3 + 2|-
ln|x3| + 2ln|x3 + 1| + C
Lời giải:
Đặt t = x3 ⇒ dt = 3x2dx
Khi đó; ta có:
I =
+ Thực hiện đồng nhất thức ta có:
t - 1= -
t(t + 1) -
(t + 1)(t + 2) + 2t(t + 2)
⇒
khi đó:
= -
ln|t + 2|-
ln|t| + 2ln|t + 1| + C
= -
ln|x3 + 2|-
ln|x3| + 2ln|x3 + 1| + C
Đáp án: D
Bài 18: Tìm nguyên hàm: J =
A.
ln
+
+ C
B. ln
+
+ C
C.
ln
- 2
+ C
D.
ln
- 5
+ C
Lời giải:
Đặt t = x6 ⇒ I =
Suy ra I =
ln
+
+ C.
Đáp án: A
Bài 19: Hàm số f(x) = x
có một nguyên hàm là F(x) . Nếu F(0) = 2 thì F(3) bằng
A.
B.
C.
D.
.
Lời giải:
Đặt t =
⇒ 2tdt = dx
∫x
dx = ∫(2t4 - 2t2)dt =
t5 -
t3 + C =
5 -
3 + C
Vì F(0) = 2 nên C =
. Thay x = 3 ta được F(3) =
.
Đáp án: A
Bài 20: Gọi F(x) là một nguyên hàm của hàm số f(x) = xcosx thỏa mãn F(0) = 1 . Khi đó phát biểu nào sau đây đúng?
A. F(x) là hàm số chẵn.
B. F(x) là hàm số lẻ.
C. Hàm số F(x) tuần hoàn với chu kì là 2π .
D. Hàm số F(x) không là hàm số chẵn cũng không là hàm số lẻ.
Lời giải:
∫xcosxdx = x.sinx + cosx + C
F(0) = 1 nên C = 0 . Khi đó F(x) = x.sinx + cosx
Do đó g(x) = x.sinx là hàm số chẵn; h(x) = cosx là hàm số chẵn nên F(x) = g(x) + h(x) là hàm số chẵn.
Đáp án: A
Bài 21: Một nguyên hàm F(x) của hàm số
f(x) =
thỏa mãn F(0) = 0 là
A. ln
B. ln|1 + sin2x| .
C.
D. ln|cos2x| .
Lời giải:
Đặt t = sin2x + 3 ⇒ dt = 2sinx.cosx.dx
∫
dx = ∫
= ln|t| + C = ln|sin2x + 3| + C
vì F(0) = 0 nên C = -ln3 .
Đáp án: A
Bài 22: Tìm nguyên hàm: I = ∫sinx.ln(cosx)dx
A. –cosx.ln(cosx) - cosx + C B. cosx.lnsinx + sinx + C
C.-sinx.ln(cosx) - cosx + C D. sinx.ln(sinx) - sinx + C
Lời giải:
Đặt
ta chọn
Suy ra I = -cosx.ln(cosx) + ∫sinxdx = –cosx.ln(cosx) - cosx + C
Đáp án: A
Bài 23: Tìm nguyên hàm: J = ∫xln.
dx
A.
x2 - 2ln|x + 1| + 2.
+ C
B.
x2 + 12ln|x + 1| -
+ C
C.
x2 - 2ln|x + 1| -
+ C
D. Đáp án khác
Lời giải:
Đặt
ta chọn
Suy ra
=
x2 - 2ln|x + 1| -
+ C
Đáp án: C
Bài 24: Cho f(x) =
+ sin2x . Tìm m để nguyên hàm F(x) của hàm số f(x) thỏa mãn F(0) = 1 và F(
) =
.
A. -
B.
C. -
D.
.
Lời giải:
∫(
+ sin2x)dx = ∫(
+
)dx=
x +
-
+ C
vì F(0) = 1 nên C = 1
F(
) =
nên tính được m = -
Đáp án: A
Bài 25: Tìm nguyên hàm của hàm số f(x) =
.
A. ∫f(x)dx = ln|sinx| -
ln|1 - sin2x| + C .
B. ∫f(x)dx = ln|sinx| +
ln|1 - sin2x| + C
C. ∫f(x)dx =
ln|sinx| -
ln|1 - sin2x| + C
D. ∫f(x)dx = -ln|sinx| -
ln|1 - sin2x| + C .
Lời giải:
Đáp án: A
Bài 26: Tìm nguyên hàm của hàm số f(x) =
.
A. ∫f(x)dx = cos2x - 2cosx + C .
B. ∫f(x)dx =
cos2 - 2cosx + C.
C. ∫f(x)dx = cos2 + cosx + C.
D. ∫f(x)dx =
cos2 + 2cosx + C.
Lời giải:
∫2(cosx - 1)d(cosx) = cos2x - 2cosx + C .
Đáp án: A
Bài 27: Tìm nguyên hàm của hàm số f(x) =
.
A. ∫f(x)dx =
+ C
B. ∫f(x)dx = -
+ C
C. ∫f(x)dx =
+ C
D. ∫f(x)dx =
+ C.
Lời giải:
∫
dx = ∫cot3x.
= ∫cot3x.d(cotx) = -
+ C
Đáp án: B
Bài 28: Tìm nguyên hàm của hàm số: f(x) = cos2x.(sin4 + cos4x) .
A. ∫f(x)dx =
sin2x -
sin32x + C
B. ∫f(x)dx =
sin2x +
sin32x + C
C. ∫f(x)dx = sin2x -
sin32x + C
D. ∫f(x)dx =
sin2x -
sin32x + C.
Lời giải:
∫cos2x.(sin4 + cos4x)dx = ∫cos2x((sin2x + cos2x) - 2.sin2x.cos2x)dx
= ∫cos2x(1 -
sin22x)dx = ∫cos2xdx -
∫sin22x.cos2xdx
= ∫cos2xdx -
∫sin22x.d(sin2x) =
sin2x -
sin32x + C
Đáp án: A
Bài 29: Tìm nguyên hàm của hàm số f(x) = (tanx + e2sinx)cos .
A. ∫f(x)dx = -cosx +
e2sinx + C .
B. ∫f(x)dx = cosx +
e2sinx + C .
C. ∫f(x)dx = -cosx + e2sinx + C .
D. ∫f(x)dx = -cosx -
e2sinx + C.
Lời giải:
∫(tanx + e2sinx)cosxdx = ∫sinxdx + ∫e2sinxd(sinx) = -cosx +
e2sinx + C
Đáp án: A
Bài 30: Tìm nguyên hàm: I =
A.
+
(x +
ln
) + C
B.
+
(x + ln
) + C
C. -
+
(x +
ln
) + C
D.
-
(x +
ln
) + C
Lời giải:
Đặt
suy ra
I = -
+
∫(1 +
)dx = -
+
(x +
ln
) + C
Đáp án: C
Bài 31: Tìm nguyên hàm của hàm số f(x) =
.
A. ∫f(x)dx = -
cot(
+
) + C
B. ∫f(x)dx =
cot(
+
) + C.
C. ∫f(x)dx = -
cot(
+
) + C.
D. ∫f(x)dx = -
cot(
-
) + C .
Lời giải:
Đáp án: A
Bài 32:Tìm nguyên hàm: I =
A. tanx - 2x + sin2x + C B. tanx - 1,5x + 0,25sin2x + C
C. cot2x - 0,5x - cos2x + C D. Đáp án khác
Lời giải:
I =
I = ∫(
+ cos2x - 2)dx
I = tanx - 2x + ∫
+
∫cos2xd(2x) = tanx - 1,5x + 0,25sin2x + C
Đáp án: B
Bài 33: Tìm nguyên hàm: I = ∫cos42xdx
A. 3x + sin4x + sin8x + C B. 2x - cos2x - sin4x + C
C. 3x/8 + sin4x + sin8x + C D. Đáp án khác
Lời giải:
Ta có: cos42x =
(1 + cos4x)2 =
(1 + 2cos4x + cos24x)
=
(1 + 2cos4x +
) =
(3 + 4cos4x + cos8x)
⇒ I =
∫(3 + 4cos4x + cos8x)dx =
(3x + sin4x +
sin8x) + C
Đáp án: D
Bài 34: Tìm nguyên hàm: J = ∫(cos3x.cos4x + sin32x)dx
A.
sin7x -
sinx -
cos2x +
cos6x + C
B.
sin7x +
sinx +
cos2x +
cos6x + C
C.
sin7x +
sinx -
cos2x +
cos6x + C
D.
sin7x +
sinx -
cos2x - 2
cos6x + C
Lời giải:
Ta có : cos3x.cos4x =
(cos7x + cosx)
sin32x =
sin2x -
sin6x
Nên suy ra: J = ∫(
cos7x +
cosx +
sin2x -
sin6x )dx
=
sin7x +
sinx -
cos2x +
cos6x + C .
Đáp án: C
Bài 35: Tìm nguyên hàm: I =
A.
+ C
B.
+ x + C
C. x.lnx + C
D. Đáp án khác
Lời giải:
Ta có :
Vậy I = ∫(
)'dx =
+ C .
Đáp án: A
Bài 36: Tìm nguyên hàm J =
A.
+ C
B. -
+ C
C. -
+ C
D.
+ 2x + C
Lời giải:
Ta có :
Suy ra I = -∫(
)'dx = -
+ C.
Đáp án: C
Bài 37: Hàm số F(x) = ln|sinx - cosx| là một nguyên hàm của hàm số
A. f(x) =
B. f(x) =
C. f(x) =
D. f(x) =
.
Lời giải:
Đáp án: A
Bài 38: Kết quả tính ∫2x.ln(x - 1)dx bằng:
A. (x2 - 1).ln(x - 1) -
- x + C
B. x2.ln(x - 1) -
- x + C
C. (x2 + 1).ln(x - 1) -
- x + C
D. (x2 - 1).ln(x - 1) -
+ x + C .
Lời giải:
Đặt
Ta có ∫2x.ln(x - 1)dx = (x2 - 1).ln(x - 1) - ∫(x + 1)dx = (x2 - 1).ln(x - 1) -
- x + C
Đáp án: A
Bài 39:
a/Tính ∫ecos2xsin2x.dx bằng:
A. esinx + x + c B. -ecos2x + C C. e-2sinx + C D. -esin2x + C.
b/. Tính ∫esin2xsin2x.dx bằng:
A. esin2x + C B. esin2x + C C. ecos2x + C D. e2sinx + C .
Lời giải:
a/ ∫ecos2xsin2x.dx = - ∫ecos2xd(cos2x) = -ecos2x + C
Đáp án: B
b. ∫esin2xsin2x.dx = ∫esin2xd(sin2x) = esin2x + C
Đáp án: A
Bài 40: Biết hàm số F(x) = -x.
+ 2017 là một nguyên hàm của hàm số f(x) =
. Khi đó tổng của a và b là
A. 3 B. 2 C. 0 D. 1
Lời giải:
Ta có F(x) = (-x.
+ 2017)' =
Nên a=3; b=-1
⇒ a + b = 3 + (-1) = 2
Đáp án: B
Đã có app VietJack trên điện thoại, giải bài tập SGK, SBT Soạn văn, Văn mẫu, Thi online, Bài giảng....miễn phí. Tải ngay ứng dụng trên Android và iOS.
Theo dõi chúng tôi miễn phí trên mạng xã hội facebook và youtube:Nếu thấy hay, hãy động viên và chia sẻ nhé! Các bình luận không phù hợp với nội quy bình luận trang web sẽ bị cấm bình luận vĩnh viễn.
- Giải Tiếng Anh 12 Global Success
- Giải sgk Tiếng Anh 12 Smart World
- Giải sgk Tiếng Anh 12 Friends Global
- Lớp 12 Kết nối tri thức
- Soạn văn 12 (hay nhất) - KNTT
- Soạn văn 12 (ngắn nhất) - KNTT
- Giải sgk Toán 12 - KNTT
- Giải sgk Vật Lí 12 - KNTT
- Giải sgk Hóa học 12 - KNTT
- Giải sgk Sinh học 12 - KNTT
- Giải sgk Lịch Sử 12 - KNTT
- Giải sgk Địa Lí 12 - KNTT
- Giải sgk Giáo dục KTPL 12 - KNTT
- Giải sgk Tin học 12 - KNTT
- Giải sgk Công nghệ 12 - KNTT
- Giải sgk Hoạt động trải nghiệm 12 - KNTT
- Giải sgk Giáo dục quốc phòng 12 - KNTT
- Giải sgk Âm nhạc 12 - KNTT
- Giải sgk Mĩ thuật 12 - KNTT
- Lớp 12 Chân trời sáng tạo
- Soạn văn 12 (hay nhất) - CTST
- Soạn văn 12 (ngắn nhất) - CTST
- Giải sgk Toán 12 - CTST
- Giải sgk Vật Lí 12 - CTST
- Giải sgk Hóa học 12 - CTST
- Giải sgk Sinh học 12 - CTST
- Giải sgk Lịch Sử 12 - CTST
- Giải sgk Địa Lí 12 - CTST
- Giải sgk Giáo dục KTPL 12 - CTST
- Giải sgk Tin học 12 - CTST
- Giải sgk Hoạt động trải nghiệm 12 - CTST
- Giải sgk Âm nhạc 12 - CTST
- Lớp 12 Cánh diều
- Soạn văn 12 Cánh diều (hay nhất)
- Soạn văn 12 Cánh diều (ngắn nhất)
- Giải sgk Toán 12 Cánh diều
- Giải sgk Vật Lí 12 - Cánh diều
- Giải sgk Hóa học 12 - Cánh diều
- Giải sgk Sinh học 12 - Cánh diều
- Giải sgk Lịch Sử 12 - Cánh diều
- Giải sgk Địa Lí 12 - Cánh diều
- Giải sgk Giáo dục KTPL 12 - Cánh diều
- Giải sgk Tin học 12 - Cánh diều
- Giải sgk Công nghệ 12 - Cánh diều
- Giải sgk Hoạt động trải nghiệm 12 - Cánh diều
- Giải sgk Giáo dục quốc phòng 12 - Cánh diều
- Giải sgk Âm nhạc 12 - Cánh diều


Giải bài tập SGK & SBT
Tài liệu giáo viên
Sách
Khóa học
Thi online
Hỏi đáp

