60 bài tập trắc nghiệm Viết phương trình mặt cầu chọn lọc, có đáp án (phần 2)
Với 60 bài tập trắc nghiệm Viết phương trình mặt cầu (phần 2) có lời giải chi tiết sẽ giúp học sinh ôn tập, biết cách làm bài tập trắc nghiệm Viết phương trình mặt cầu (phần 2).
60 bài tập trắc nghiệm Viết phương trình mặt cầu chọn lọc, có đáp án (phần 2)
(199k) Xem Khóa học Toán 12 KNTTXem Khóa học Toán 12 CDXem Khóa học Toán 12 CTST
Bài giảng: Cách viết phương trình mặt cầu - dạng bài cơ bản - Cô Nguyễn Phương Anh (Giáo viên VietJack)
Bài 21: Cho điểm I(1;0;0) và đường thẳng . Phương trình mặt cầu (S)có tâm I và cắt đường thẳng d tại hai điểm A, B sao cho AB=4 là:
A. (x - 1)2 + y2 + z2 = 9.
B. (x - 1)2 + y2 + z2 = 3.
C. (x + 1)2 + y2 + z2 = 3.
D. (x + 1)2 + y2 + z2 = 9.
Lời giải:
Đáp án : A
Giải thích :
Đường thẳng (d) đi qua điểm M (1; l; -2) và có vecto chỉ phương u→=(1;2;1)
IM→=(0;1; -2) ⇒ [IM→ ; u→ ]=(5; -2; -1)
Khoảng cách từ I đến đường thẳng d là:
h =d(I;d)
Gọi R là bán kính của mặt cầu. Ta có:
R2 =h2 +(AB/2)2 =5 +22 =9
Vậy phương trình mặt cầu cần tìm là:
(x-1)2 +y2 +z2 =9
Bài 22: Cho điểm I(1;0;0) và đường thẳng . Phương trình mặt cầu (S) có tâm I và cắt đường thẳng d tại hai điểm A, B sao cho tam giác IAB đều là:
A. (x - 1)2 + y2 + z2 = 16/4.
B. (x + 1)2 + y2 + z2 = 20/3.
C. (x - 1)2 + y2 + z2 = 20/3.
D. (x - 1)2 + y2 + z2 = 5/3.
Lời giải:
Đáp án : C
Giải thích :
Đường thẳng (d) đi qua điểm M (1; l; -2) và có vecto chỉ phương u→=(1;2;1)
IM→=(0;1; -2) ⇒ [IM→ ; u→ ]=(5; -2; -1)
Khoảng cách từ I đến đường thẳng d là:
h =d(I;d)
Do tam giác IAB đều nên ta có:
h =(IA√3)/2 ⇒ √5=(R√3)/2 ⇒ R=(2√15)/3
Vậy phương trình mặt cầu là
(x-1)2 +y2 +z2 =20/3
Bài 23: Cho điểm I(1;1;-2) đường thẳng. Phương trình mặt cầu (S) có tâm I và cắt đường thẳng d tại hai điểm A, B sao cho IABˆ = 300 là:
A. (x + 1)2 + (y + 1)2 + (z - 2)2 = 36.
B. (x - 1)2 + y - 1)2 + (z + 2)2 = 72.
C. (x - 1)2 + (y - 1)2 + (z + 2)2 = 66.
D. (x + 1)2 + (y + 1)2 + (z - 2)2 = 46.
Lời giải:
Đáp án : B
Giải thích :
Gọi H là chân đường vuông góc của I trên AB
Xét tam giác AHI vuông tại H, AI = R có:
IH=AI.sin(IABˆ) =R.sin(300)=R/2
Điểm M (-1; 3; 2) ∈d
⇒ IM→=(-2;2; 4)
Đường thẳng Δ có một vecto chỉ phương là u→=(1; 2;1)
Ta có: [IM→ ; u→ ]=(-6;6;-6)
⇒ d(I,Δ)
Ta có: IH = d(I,Δ)
⇒ R/2=3√2 ⇒ R=6√2
Vậy phương trình mặt cầu cần tìm là:
(x-1)2 +(y-1)2 +(z+2)2 =72
Bài 24: Phương trình mặt cầu có tâm I(3; √3; -7) và tiếp xúc trục tung là:
A. (x + 3)2 + (y + √3)2 + (z - 7)2 = 58.
B. (x - 3)2 + (y - √3)2 + (z + 7)2 = 61.
C. (x - 3)2 + (y - √3)2 + (z + 7)2 = 58.
D. (x - 3)2 + (y - √3)2 + (z + 7)2 = 12.
Lời giải:
Đáp án : C
Giải thích :
Khoảng cách từ điểm I đến trục Oy là
d= √(32 +72) =58
Do mặt cầu tiếp xúc với Oy nên R = d
Vậy phương trình mặt cầu cần tìm là
(x -3)2 +(y -√3)2 +(z+7)2 =72
Bài 25: Phương trình mặt cầu có tâm I(√5; 3; 9) và tiếp xúc trục hoành là:
A. (x - √5)2 + (y - 3)2 + (z - 9)2 = 90.
B. (x - √5)2 + (y - 3)2 + (z - 9)^} = 14.
C. (x + √5)2 + (y + 3)2 + (z + 9)2 = 86.
D. (x + √5)2 + (y + 3)2 + (z + 9)2 = 90.
Lời giải:
Đáp án : A
Giải thích :
Khoảng cách từ điểm I đến trục Ox là
d=√(32 +92)=90
Do mặt cầu tiếp xúc với Ox nên R = d
Vậy phương trình mặt cầu cần tìm là
(x -√5)2 +(y-3)2 +(z-9)2 =72
Bài 26: Phương trình mặt cầu có tâm I(-√6; -√3; √2 -1) và tiếp xúc trục Oz là:
A. (x + √6)2 + (y + √3)2 + (z - √2 + 1)2 = 3.
B. (x + √6)2 + (y + √3)2 + (z - √2 - 1)2 = 9.
C. (x + √6)2 + (y + √3)2 + (z - √2 - 1)2 = 3.
D. (x + √6)2 + (y + √3)2 + (z - √2 + 1)2 = 9.
Lời giải:
Đáp án : D
Giải thích :
Khoảng cách từ I đến trục Oz là
d=√(6+3)=9
Do mặt cầu tiếp xúc với Ox nên R = d
Vậy phương trình mặt cầu cần tìm là
(x -√6)2 +(y-√3)2 +(z-√2+1)2 =9
Bài 27: Phương trình mặt cầu có tâm I(4;6;-1) và cắt trục Ox tại hai điểm A, B sao cho tam giác IAB vuông là:
A. (x - 4)2 + (y - 6)2 + (z + 1)2 = 26.
B. (x - 4)2 + (y - 6)2 + (z + 1)2 = 74.
C. (x - 4)2 + (y - 6)2 + (z + 1)2 = 34.
D. (x - 4)2 + (y - 6)2 + (z + 1)2 = 104.
Lời giải:
Đáp án : B
Giải thích :
Khoảng cách từ I đến trục Ox là:
h =√(62 +1)=√37
Vì tam giác IAB cân tại I nên tam giác IAB vuông cân tại I
Gọi R là bán kính mặt cầu ⇒ IA=IB=R;AB=R√2
Ta có: IA . IB = h . AB ⇒ R2 =√37 . R√2 ⇒ R=√74
Vậy phương trình mặt cầu cần tìm là
(x-4)2 +(y-6)2 +(z+1)2 =74
Bài 28: Phương trình mặt cầu có tâm I(3;6;-4) và cắt trục Oz tại hai điểm A, B sao cho diện tích tam giác IAB bằng 6√5 là:
A. (x - 3)2 + (y - 6)2 + (z + 4)2 = 49.
B. (x - 3)2 + (y - 6)2 + (z + 4)2 = 45.
C. (x - 3)2 + (y - 6)2 + (z + 4)2 = 36.
D. (x - 3)2 + (y - 6)2 + (z + 4)2 = 54.
Lời giải:
Đáp án : A
Giải thích :
Khoảng cách từ điểm I đến trục Oz là:
h=√(32 +62)= 3√5
Ta có:
SIAB=1/2 h . AB ⇒ AB=(2SIAB)/h =4
Gọi R là bán kính mặt cầu
⇒ R2 =h2 +(AB/2)2 =49
Phương trình mặt cầu cần tìm là:
(x-3)2 +(y-6)2 +(z+4)2 =49
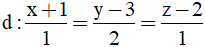
Bài 29: Cho các điểm I(-1;0;0) và đường thẳng . Phương trình mặt cầu (S) có tâm I và tiếp xúc d là:
A. (x + 1)2 + y2 + z2 = 10.
B. (x - 1)2 + y2 + z2 = 5.
C. (x + 1)2 + y2 + z2 = 5.
D. (x - 1)2 + y2 + z2 = 10.
Lời giải:
Đáp án : C
Giải thích :
Đường thẳng d đi qua điểm M (2; 1; 1) và có vecto chỉ phương u→=(1;2;1)
IM→=(3;1;1) ⇒ [IM→ , u→ ]=(-1; -2;5)
Khoảng cách từ điểm I đến đường thẳng d là:
d(I,d)
Do mặt cầu tiếp xúc với d nên d(I,d)=R
Vậy phương trình mặt cầu cần tìm là:
(x+1)2 +y2 +z2 =5
Bài 30: Cho các điểm A(1;3;1) và B(3;2;2). Mặt cầu đi qua hai điểm A, B và tâm thuộc trục Oz có đường kính là:
A. 2√6 B. √(14)
C. 2√(10) D. 2√(14)
Lời giải:
Đáp án : D
Giải thích :
Gọi I là tâm của mặt cầu, do I thuộc trục Oz nên I (0; 0; c)
Mặt cầu đi qua 2 điểm A, B nên IA = IB = R
⇒ IA2 =IB2
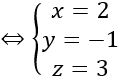
⇔ 12 +32 +(c-1)2 =32 +22 +(c-2)2
⇔ 2c=6 ⇔ c=3
Vậy I (0; 0; 3); R= IA = √14
⇒ Đường kính của mặt cầu là 2√14
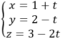
Bài 31: Cho các điểm A(0;1;3), B(2;2;1) và đường thẳng . Mặt cầu đi qua hai điểm A, B và tâm thuộc đường thẳng d thì tọa độ tâm là:
A. (3/2; 3/2; 2) B. (13/10; 17/10; 12/5)
C. (4/3; 2/3; 7/3) D. (6/5; 9/5; 13/5)
Lời giải:
Đáp án : B
Giải thích :
Phương trình tham số của đường thẳng d:
Gọi I là tâm mặt cầu, do I thuộc đường thẳng d nên I(1+t;2-t;3-2t)
Mặt cầu đi qua 2 điểm A, B nên IA = IB = R
⇒ IA2 =IB2
⇔ (1+t)2 +(1-t)2 +4t2 =(t-1)2 +t2 +(2-2t)2
⇔ t=(-3)/10
⇒ I(17/10; 17/10; 12/5)
Bài 32: Cho các điểm A(-2;4;1), B(2;0;3) và đường thẳng . Gọi (S) là mặt cầu đi qua A, B và có tâm thuộc đường thẳng d. Bán kính mặt cầu (S) bằng:
A. (√1169)/4 B. (√873)/4
C. 1169/16 D. (√967)/2
Lời giải:
Đáp án : A
Giải thích :
Phương trình tham số của đường thẳng d là:
Gọi I là tâm của mặt cầu, do I thuộc d nên I (1+2t; -2-t; 3-2t)
Mặt khác mặt cầu đi qua A, B nên IA = IB = R
⇒ IA2 =IB2
⇔ (2t+3)2 +(t+6)2 +(2-2t)2 =(2t-1)2 +(t+2)2 +4t2
⇔ t=(-11)/4
⇒ R=IA= √(1169)/4
Bài 33: Mặt cầu tâm I(2;4;6) và tiếp xúc với mặt phẳng (Oxy) có phương trình:
A. (x - 2)2 + (y - 4)2 + (z - 6)2 = 36.
B. (x - 2)2 + (y - 4)2 + (z - 6)2 = 16.
C. (x - 2)2 + (y - 4)2 + (z - 6)2 = 4.
D. (x - 2)2 + (y - 4)2 + (z - 6)2 = 56.
Lời giải:
Đáp án : A
Giải thích :
Chú ý:
Khoảng cách từ điểm I (a; b; c) đến mặt phẳng (Oxy) là: d=|c|
Khoảng cách từ điểm I (a; b; c) đến mặt phẳng (Oyz) là: d=|a|
Khoảng cách từ điểm I (a; b; c) đến mặt phẳng (Oxz) là: d=|b|
Khoảng cách từ điểm I (2; 4; 6) đến mặt phẳng Oxy là d = 6
Khi đó, mặt cầu tâm I(2; 4; 6) và tiếp xúc với mặt phẳng Oxy là:
(x-2)2 +(y-4)2 +(z-6)2 =36
Bài 34: Mặt cầu tâm I(2;4;6) và tiếp xúc với mặt phẳng (Oxz) có phương trình:
A. (x - 2)2 + (y - 4)2 + (z - 6)2 = 36.
B. (x - 2)2 + (y - 4)2 + (z - 6)2 = 4.
C. (x - 2)2 + (y - 4)2 + (z - 6)2 = 16.
D. (x - 2)2 + (y - 4)2 + (z - 6)2 = 56.
Lời giải:
Đáp án : B
Bài 35: Trong không gian Oxyz, mặt cầu có đường kính AB với A(4; -3;7), B(2;1;3) là:
A. (x + 3)2 + (y - 1)2 + (z + 5)2 = 9
B. (x - 3)2 + (y + 1)2 + (z - 5)2 = 9
C. (x + 3)2 + (y - 1)2 + (z + 5)2 = 3
D. (x - 3)2 + (y + 1)2 + (z - 5)2 = 3
Lời giải:
Đáp án : B
Giải thích :
Mặt cầu có đường kính AB nên trung điểm I của AB là tâm mặt cầu và
R= IA= AB/2
⇒ I(3; -1;5); R=AB/2=3
Vậy pt mặt cầu cần tìm là:
(x-3)2 +(y+1)2 +(z-5)2 =9
Bài 36: Trong không gian Oxyz, mặt cầu tâm I(1;2;4) tiếp xúc với mặt phẳng (α): 2x + 2y + z - 1 = 0 có phương trình là :
A. (x + 1)2 + (y + 2)2 + (z + 4)2 = 1
B. (x - 4)2 + (y - 2)2 + (z - 1)2 = 1
C. (x - 1)2 + (y - 2)2 + (z - 4)2 = 9
D. (x - 1)2 + (y - 2)2 + (z - 4)2 = 3
Lời giải:
Đáp án : C
Giải thích :
Khoảng cách từ tâm I đến mặt phẳng (α) là :
d(I; (α))=3
Do mặt cầu tiếp xúc với mặt phẳng nên khoảng cách từ I đến mặt phẳng bằng R
Vậy phương trình mặt cầu là :
(x-1)2 +(y-2)2 +(z-4)2 =9
Bài 37: Trong không gian Oxyz, mặt cầu tâm I(1;1;2) và đi qua A(-2; 1; 6) có phương trình là :
A. (x + 1)2 + (y + 1)2 + (z + 2)2 = 25
B. (x - 1)2 + (y - 1)2 + (z - 2)2 = 5
C. (x + 1)2 + (y + 1)2 + (z + 2)2 = 5
D. (x - 1)2 + (y - 1)2 + (z - 2)2 = 25
Lời giải:
Đáp án : D
Giải thích :
Gọi R là bán kính mặt cầu
⇒ R =IA = √(32 +42)=5
Vậy phương trình mặt cầu cần tìm là :
(x-1)2 +(y-1)2 +(z-2)2 =25
Bài 38: Trong không gian Oxyz, mặt cầu đi qua bốn điểm A(6; -2; 3), B(0; 1; 6), C(2; 0; -1) và D(4; 1; 0) có phương trình là:
A. x2 + y2 + z2 - 4x + 2y - 6z - 3 = 0
B. 2x2 + y2 + z2 - 4x + 2y - 6z - 3 = 0
C. x2 + y2 + z2 + 4x - 2y + 6z - 3 = 0
D. x2 + y2 + z2 - 4x + 2y - 6z + 3 = 0
Lời giải:
Đáp án : A
Giải thích :
Gọi I (x; y; z) là tâm của mặt cầu
Do mặt cầu ngoại tiếp tứ diện ABCD nên ta có IA = IB = IC = ID
Khi đó: R2 =IA2 =17
Phương trình mặt cầu cần tìm là:
(x-2)2 +(y+1)2 +(z-3)2 =17
⇔ x2 +y2 +z2 -4x +2y -6z -3 =0
Bài 39: Trong không gian Oxyz, cho bốn điểm A(1;1;0), B(0;1;0), C(0;0;1) và O(0;0;0). Khi đó mặt cầu ngoại tiếp tứ diện OABC có phương trình là :
A. x2 + y2 + z2 + x + y + z = 0
B. x2 + y2 + z2 - 2x - 2y - 2z = 0
C. x2 + y2 + z2 - x - y - z = 0
D. x2 + y2 + z2 + 2x + 2y + 2z = 0
Lời giải:
Đáp án : C
Giải thích :
Gọi Phương trình mặt cầu cần tìm là
x2 +y2 +z2 -2ax -2by -2cz +d =0
Ta có : O(O;0;0)∈(S) ⇒ d=0
A(1;0;0)∈(S) ⇒ 1-2a+d=0
B(0;1;0)∈(S) ⇒ 1-2b+d=0
C(0;1;0)∈(S) ⇒ 1-2c+d=0
⇒ a=b=c=1/2
Vậy phương trình mặt cầu cần tìm là :
x2 +y2 +z2 -x -y -z =0
Bài 40: Trong không gian Oxyz, phương trình mặt cầu (S) qua ba điểm A(1; -2; 4), B(1; 3; -1), C(2; -2; -3) và có tâm nằm trên mặt phẳng Oxy là :
A. x2 + y2 + z2 + 4x + 2y + 21 = 0
B. x2 + y2 + z2 + 4x + 2y + 3z - 21 = 0
C. x2 + y2 + z2 - 4x + 2y - 21 = 0
D. x2 + y2 + z2 + 4x + 2y - 21 = 0
Lời giải:
Đáp án : D
Giải thích :
Gọi I là tâm mặt cầu, do I nằm trên mặt phẳng (Oxy) nên I (a; b; 0)
Do mặt cầu đi qua 3 điểm A, B, C nên IA = IB = IC = R
Vậy I (-2 ; -1 ; 0); R=IA=√26
Phương trình mặt cầu cần tìm là:
(x+2)2 +(y+1)2 +z2 =26
⇔ x2 +y2 +z2 +4x +2y -21 =0
Bài giảng: Cách viết phương trình mặt cầu - dạng bài nâng cao - Cô Nguyễn Phương Anh (Giáo viên VietJack)
Đã có app VietJack trên điện thoại, giải bài tập SGK, SBT Soạn văn, Văn mẫu, Thi online, Bài giảng....miễn phí. Tải ngay ứng dụng trên Android và iOS.
Theo dõi chúng tôi miễn phí trên mạng xã hội facebook và youtube:Nếu thấy hay, hãy động viên và chia sẻ nhé! Các bình luận không phù hợp với nội quy bình luận trang web sẽ bị cấm bình luận vĩnh viễn.
- Giải Tiếng Anh 12 Global Success
- Giải sgk Tiếng Anh 12 Smart World
- Giải sgk Tiếng Anh 12 Friends Global
- Lớp 12 Kết nối tri thức
- Soạn văn 12 (hay nhất) - KNTT
- Soạn văn 12 (ngắn nhất) - KNTT
- Giải sgk Toán 12 - KNTT
- Giải sgk Vật Lí 12 - KNTT
- Giải sgk Hóa học 12 - KNTT
- Giải sgk Sinh học 12 - KNTT
- Giải sgk Lịch Sử 12 - KNTT
- Giải sgk Địa Lí 12 - KNTT
- Giải sgk Giáo dục KTPL 12 - KNTT
- Giải sgk Tin học 12 - KNTT
- Giải sgk Công nghệ 12 - KNTT
- Giải sgk Hoạt động trải nghiệm 12 - KNTT
- Giải sgk Giáo dục quốc phòng 12 - KNTT
- Giải sgk Âm nhạc 12 - KNTT
- Giải sgk Mĩ thuật 12 - KNTT
- Lớp 12 Chân trời sáng tạo
- Soạn văn 12 (hay nhất) - CTST
- Soạn văn 12 (ngắn nhất) - CTST
- Giải sgk Toán 12 - CTST
- Giải sgk Vật Lí 12 - CTST
- Giải sgk Hóa học 12 - CTST
- Giải sgk Sinh học 12 - CTST
- Giải sgk Lịch Sử 12 - CTST
- Giải sgk Địa Lí 12 - CTST
- Giải sgk Giáo dục KTPL 12 - CTST
- Giải sgk Tin học 12 - CTST
- Giải sgk Hoạt động trải nghiệm 12 - CTST
- Giải sgk Âm nhạc 12 - CTST
- Lớp 12 Cánh diều
- Soạn văn 12 Cánh diều (hay nhất)
- Soạn văn 12 Cánh diều (ngắn nhất)
- Giải sgk Toán 12 Cánh diều
- Giải sgk Vật Lí 12 - Cánh diều
- Giải sgk Hóa học 12 - Cánh diều
- Giải sgk Sinh học 12 - Cánh diều
- Giải sgk Lịch Sử 12 - Cánh diều
- Giải sgk Địa Lí 12 - Cánh diều
- Giải sgk Giáo dục KTPL 12 - Cánh diều
- Giải sgk Tin học 12 - Cánh diều
- Giải sgk Công nghệ 12 - Cánh diều
- Giải sgk Hoạt động trải nghiệm 12 - Cánh diều
- Giải sgk Giáo dục quốc phòng 12 - Cánh diều
- Giải sgk Âm nhạc 12 - Cánh diều


Giải bài tập SGK & SBT
Tài liệu giáo viên
Sách
Khóa học
Thi online
Hỏi đáp

