60 bài tập trắc nghiệm Viết phương trình mặt cầu chọn lọc, có đáp án (phần 1)
Với 60 bài tập trắc nghiệm Viết phương trình mặt cầu (phần 1) có lời giải chi tiết sẽ giúp học sinh ôn tập, biết cách làm bài tập trắc nghiệm Viết phương trình mặt cầu (phần 1).
60 bài tập trắc nghiệm Viết phương trình mặt cầu chọn lọc, có đáp án (phần 1)
(199k) Xem Khóa học Toán 12 KNTTXem Khóa học Toán 12 CDXem Khóa học Toán 12 CTST
Bài giảng: Cách viết phương trình mặt cầu - dạng bài cơ bản - Cô Nguyễn Phương Anh (Giáo viên VietJack)
Bài 1: Cho đường thẳng và điểm A(5;4; - 2). Phương trình mặt cầu đi qua điểm A và có tâm là giao điểm của d với mặt phẳng (Oxy) là:
A. ( S): (x + 1)2 + (y + 1)2 + z2= 65.
B. ( S): ( x + 1)2 + ( y - 1)2 + z2= 9.
C. ( S): (x - 1)2 + (y + 2)2 + z2 = 64.
D. ( S): (x + 1)2 + ( y - 1)2 + (z + 2)2= 65.
Lời giải:
Đáp án : A
Giải thích :
Phương trình tham số của đường thẳng
Gọi I là tâm của mặt cầu. Do I thuộc d nên I(t;1+2t; -1-t)
Mặt khác do I thuộc mặt phẳng Oxy nên -1-t=0 ⇔ t= -1
Khi đó I (-1; -1; 0)
Mặt cầu đi qua điểm A nên R2 =IA2 =(5+1)2+ (4+1)2 +(-2+0)2=65
Vậy pt mặt cầu cần tìm là: (x+1)2 +(y+1)2 +z2 =65
Bài 2: Cho bốn điểm A(6;-2;3), B(0;1;6), C(2;0;-1), D(4;1;0). Khi đó mặt cầu ngoại tiếp tứ diện ABCD có phương trình là:
A. x2 + y2 + z2 + 4x - 2y + 6z - 3 = 0.
B. x2 + y2 + z2 - 4x + 2y - 6z - 3 = 0.
C. x2 + y2 + z2 - 2x + y - 3z - 3 = 0.
D. x2 + y2 + z2 + 2x - y + 3z - 3 = 0.
Lời giải:
Đáp án : B
Giải thích :
Gọi I (a; b; c) là tâm mặt cầu
Do mặt cầu ngoại tiếp tứ diện ABCD nên IA = IB = IC = ID
Bán kính R = IA = √17
Vậy phương trình mặt cầu cần tìm là
(x-2)2 +(y+1)2 +(z-3)2 =17
⇔ x2 +y2 +z2 -4x +2y -6z -3 =0
Bài 3: Cho ba điểm A(2;0;1), B(1;0;0), C(1;1;1) và mặt phẳng (P): x + y + z - 2 = 0. Phương trình mặt cầu đi qua ba điểm A, B, C và có tâm thuộc mặt phẳng (P) là:
A. x2 + y2 + z2 - 2x + 2y + 1 = 0.
B. x2 + y2 + z2 - x - 2y + 1 = 0.
C. x2 + y2 + z2 - 2x - 2z + 1 = 0.
D. x2 + y2 + z2 - x + 2z + 1 = 0.
Lời giải:
Đáp án : C
Giải thích :
Gọi I (a; b; c) là tâm mặt cầu
Do mặt cầu đi qua 3 điểm A, B, C nên ta có IA = IB = IC
Mặt khác do I thuộc mặt phẳng (P) nên a + b + c – 2 = 0 (2)
Từ (1) và (2) ta có
Bán kính mặt cầu: R=IA=1
Vậy pt mặt cầu là
(x-1)2 +y2 +(z-1)2 =1
⇔ x2 +y2 +z2 -2x -2z +1 =0
Bài 4: Phương trình mặt cầu tâm I(1;-2;3) và tiếp xúc với trục Oy là:
A. (x - 1)2 + (y + 2)2 + (z - 3)2 = 10.
B. (x - 1)2 + (y + 2)2 + (z - 3)2 = 16.
C. (x - 1)2 + (y + 2)2 + (z - 3)2 = 8.
D. (x - 1)2 + (y + 2)2 + (z - 3)2 = 9.
Lời giải:
Đáp án : A
Giải thích :
Chú ý:
Khoảng cách từ điểm I (a; b; c ) đến trục Ox là d= √(b2 +c2 )
Khoảng cách từ điểm I (a; b; c ) đến trục Oy là d= √(a2 +c2 )
Khoảng cách từ điểm I (a; b; c ) đến trục Oz là d= √(a2 +b2 )
Khoảng cách từ I (1; -2; 3) đến Oy là: d= √(12 +32) = √10
Mặt cầu tiếp xúc với Oy nên R = d= √10
Phương trình mặt cầu cần tìm là:
(x-1)2 +(y+2)2 +(z-3)2 =10
Bài 5: Cho các điểm A(-2;4;1), B(2;0;3) và đường thẳng . Gọi (S) là mặt cầu đi qua A, B và có tâm thuộc đường thẳng d. Bán kính mặt cầu (S) bằng:
A. 2√3 B. √6
C. 3 D. 3√3
Lời giải:
Đáp án : D
Giải thích :
Gọi I là tâm mặt cầu, do I thuộc d nên I(1+t;1+2t; -2+t)
Do mặt cầu đi qua A, B nên IA = IB
⇔ IA2 =IB2
⇔ (t+3)2 +(2t-3)2 +(t-3)2 =(t-1)2 +(2t+1)2 +(t-5)2
⇔ t=0
Khi đó I (1; 1; -2)
Bán kính mặt cầu R=IA= 3√3
Bài 6: Cho điểm A(1;-2;3) và đường thẳng d có phương trình Phương trình mặt cầu tâm A, tiếp xúc với d là:
A. (x-1)2 + (y + 2)2 + (z-3)2 = √50.
B. (x-1)2 + (y + 2)2 + (z-3)2 = 5.
C. ( x-1)2 + (y + 2)2 + (z-3)2 = 50.
D. (x + 1)2 + (y - 2)2 + (z + 3)2 = 50.
Lời giải:
Đáp án : C
Giải thích :
Đường thẳng d đi qua điểm M (-1; 2; -3) và có vecto chỉ phương
u→=(2;1;-1)
AM→=(-2;4; -6); [AM→ ; u→ ]=(2; -14; -10)
Do mặt cầu tiếp xúc với d nên khoảng cách từ A đến đường thẳng d bằng bán kính R của mặt cầu
Phương trình mặt cầu cần tìm là:
(x-1)2 +(y+2)2 +(z-3)2 =50
Bài 7: Cho đường thẳng và mặt phẳng (P): 2x + y - 2z + 2 = 0 Phương trình mặt cầu (S) có tâm nằm trên đường thẳng d có bán kính nhỏ nhất tiếp xúc với (P) và đi qua điểm A(1;-1;1) là:
A. (x - 1)2 + (y + 1)2 + z2 = 1.
B. (x - 4)2 + y2 + (z - 1)2 = 1.
C. (x + 2)2 + (y + 2)2 + (z + 1)2 = 1.
D. (x - 3)2 + (y - 1)2 + (z - 1)2 = 1.
Lời giải:
Đáp án : A
Giải thích :
Phương trình tham số của đường thẳng d là:
Gọi I là tâm mặt cầu, do I thuộc đường thẳng d nên I(1+3t; -1+t;t)
Khoảng cách từ điểm I đến mặt phẳng (P) là:
d(I;(P))
IA2 =(1+3t-1)2 +(-1+t+1)2 +(t-1)2=11t2 -2t +1
Do mặt cầu tiếp xúc với (P) và đi qua A nên d(I;(P))=IA
⇔ (5t+3)2 =11t2 -2t +1
Với t = 0, ta có I (1; -1; 0), R = IA = 1
Với t=24/37, ta có I(109/37; (-13)/37; 24/37); R =IA =5929/1369
Theo bài ra, cần viết phương trình mặt cầu có bán kính nhỏ nhất nên viết phương trình mặt cầu có tâm I (1; -1; 0), R = 1
(x-1)2 +(y+1)2 +z2 =1
Bài 8: Phương trình mặt cầu có tâm I(1;2;3) và tiếp xúc với mặt phẳng (Oxz) là:
A. x2 + y2 + z2 + 2x + 4y + 6z - 10 = 0.
B. x2 + y2 + z2 - 2x - 4y - 6z + 10 = 0.
C. x2 + y2 + z2 - 2x - 4y + 6z + 10 = 0.
D. x2 + y2 + z2 + 2x + 4y + 6z - 10 = 0.
Lời giải:
Đáp án : B
Giải thích :
Phương trình mặt phẳng (Oxz) là: y = 0
Khoảng cách từ điểm I đến mặt phẳng (Oxz) là: d = 2
Phương trình mặt cầu cần tìm là:
(x-1)2 +(y-2)2 +(z-3)2 =4
⇔ x2 +y2 +z2 -2x -4y -6z +10=0
Bài 9: Cho 4 điềm A(3;-2;-2), B(3;2;0), C(0;2;1), D(-1;1;2). Mặt cầu tâm A và tiếp xúc với mặt phẳng (BCD) có phương trình là:
A. (x - 3)2 + (y + 2)2 + (z + 2)2 = √14.
B. (x + 3)2 + (y - 2)2 + (z - 2)2 = 14.
C. (x + 3)2 + (y - 2)2 + (z - 2)2 = √14.
D. (x - 3)2 + (y + 2)2 + (z + 2)2 = 14.
Lời giải:
Đáp án : D
Giải thích :
BC→=(-3;0;1); BD→=(-4; -1;2)
⇒ [BC→ , BD→ ]=(1;2;3)
⇒ Vecto pháp tuyến của mặt phẳng (BCD) là: n→ =(1;2;3)
Phương trình mặt phẳng (BCD) có VPPT n→=(1;2;3) và đi qua điểm B(3; 2; 0) là: x -3 +2(y-2) +3z =0
⇔ x +2y +3z -7 =0
Khoảng cách từ A đến mặt phẳng (BCD) là:
d(A;(BCD))= √14
Khi đó, phương trình mặt cầu tâm A và tiếp xúc với (BCD) là:
(x-3)2 +(y+2)2 +(z+2)2=14
Bài 10: Cho mặt phẳng (P): 2x + 3y + z - 2 = 0. Mặt cầu (S) có tâm I thuộc trục Oz, bán kính bằng 2/(√14) và tiếp xúc mặt phẳng (P) có phương trình:
A. x2 + y2 + (z - 3)2 = 2/7 hoặc x2 + y2 + (z - 4)2 = 2/7.
B. x2 + y2 + (z - 1)2 = 2/7 hoặc x2 + y2 + (z + 2)2 = 2/7.
C. x2 + y2 + z2 = 2/7 hoặc x2 + y2 + (z - 4)2 = 2/7.
D. x2 + y2 + z2 = 2/7 hoặc x2 + y2 + (z - 1)2 = 2/7.
Lời giải:
Đáp án : C
Giải thích :
Tâm I thuộc trục Oz nên I (0; 0; c)
Do mặt cầu tiếp xúc với mặt phẳng (P) nên khoảng cách từ I đến mặt phẳng (P) bằng bán kính mặt cầu
⇒ R=2/√(14)
⇒ |c-2|=2
Vậy I (0; 0; 0) hoặc I (0; 0; 4)
Vậy phương trình mặt cầu cần tìm là
x2 +y2 +z2 =2/7
x2 +y2 +(z-4)2 =2/7
Bài 11: Cho đường thẳng và điểm I(4;1;6). Đường thẳng d cắt mặt cầu (S) tâm I tại hai điểm A, B sao cho AB=6. Phương trình của mặt cầu (S) là:
A. (x - 4)2 + (y - 1)2 + (z - 6)2 = 18.
B. (x - 4)2 + (y - 1)2 + (z - 6)2 = 12.
C. (x - 4)2 + (y - 1)2 + (z - 6)2 = 16.
D. (x - 4)2 + (y - 1)2 + (z - 6)2 = 9.
Lời giải:
Đáp án : A
Giải thích :
Đường thẳng d đi qua điểm M (-5; 7; 0) và có vecto chỉ phương u→ =(2; -2;1)
IM→ =(-9;6; -6) ⇒ [ IM→ ; u→ ]=(-6; -3;6)
Khoảng cách từ I đến đường thẳng d là :
Gọi R là bán kính của mặt cầu
⇒ R2 =d2 +(AB2)/4=18
Vậy phương trình mặt cầu cần tìm là
(x-4)2 +(y-1)2 +(z-6)2 =18
Bài 12: Cho hai mặt phẳng (P), (Q) có phương trình (P): x - 2y + z - 1 = 0 và (Q): 2x + y - z + 3 = 0. Mặt cầu có tâm nằm trên mặt phẳng (P) và tiếp xúc với mặt phẳng (Q) tại điểm M, biết rằng M thuộc mặt phẳng (Oxy) và có hoành độ XM=1, có phương trình là:
A. (x + 19)2 + (y + 15)2 + (z - 10)2 = 600.
B. (x - 21)2 + (y - 5)2 + (z + 10)2 = 600.
C. (x - 21)2 + (y - 5)2 + (z + 10)2 = 100.
D. (x + 21)2 + (y + 5)2 + (z - 10)2 = 600.
Lời giải:
Đáp án : B
Giải thích :
Điểm M thuộc mặt phẳng Oxy và có hoành độ xM =1 nên M (1; y0; 0)
Mặt khác M thuộc mặt phẳng Q nên 2. 1 + y0 + 3 = 0 ⇒ y0= -5
⇒ M (1; -5;0)
Gọi I (a; b; c) là tâm mặt cầu
⇒ IM→=(1-a; -5-b; -c)
Mặt phẳng (Q) có vecto pháp tuyến n→=(2;1;-1)
Do mặt cầu tiếp xúc với (Q) tại điểm M nên IM→ vuông góc với mặt phẳng (Q)
⇒ IM→=k n→
Mặt khác I thuộc mặt phẳng (P) nên tọa độ của I thỏa mãn phương trình mặt phẳng (P)
⇒ a -2b +c -1 =0
⇔ 1 -2k +2(5+k) +k -1 =0
⇔ k =-10
Với k =-10 thì I (21; 5; -10)
Bán kính của mặt cầu là:
R =|IM→ |=|k n→ |
Vậy phương trình mặt cầu cần tìm là:
(x-21)2 +(y-5)2 +(z+10)2 =600
Bài 13: Cho hai điểm A(1;-2;3), B(-1;0;1) và mặt phẳng (P): x + y + z + 4 = 0. Phương trình mặt cầu (S) có bán kính bằng AB/6 có tâm thuộc đường thẳng AB và (S) tiếp xúc với mặt phẳng (P) là:
A. (x + 4)2 + (y - 3)2 + (z + 2)2 = 1/3 hoặc (x + 6)2 + (y - 5)2 + (z + 4)2 = 1/3.
B. (x - 4)2 + (y + 3)2 + (z - 2)2 = 1/3 hoặc (x - 6)2 + (y + 5)2 + (z - 4)2 = 1/3.
C. (x + 4)2 + (y - 3)2 + (z + 2)2 = 1/3.
D. (x - 4)2 + (y + 3)2 + (z - 2)2 = 1/3.
Lời giải:
Đáp án : C
Giải thích :
AB→=(-2;2;-2) ⇒ AB=|AB→ |= 2√3
Gọi R là bán kính của mặt cầu (S). Theo giả thiết ta có:
R =AB/6 = √3/3
Đường thẳng AB đi qua A (1; -2; 3) và có một vecto chỉ phương
AB→=(-2;2;-2) có phương trình là:
Tâm I thuộc đường thẳng AB nên I(1-2t; -2+2t; 3-2t)
Khoảng cách từ tâm I đến mặt phẳng (P) là:
d(I; (P))
Do mặt cầu tiếp xúc với (P) nên d(I;(P)) =R
⇔ |-2t+6|=1
Với t=5/2 thì I ( -4; 3; -2)
Với t=7/2 thì I ( -6; 5; -4)
Vậy có 2 phương trình mặt cầu thỏa mãn là :
(x+4)2 +(y-3)2 +(z+2)2 =1/3
(x+6)2 +(y-5)2 +(z+4)2=1/3
Bài 14: Cho đường thẳng và hai mặt phẳng (P1): x, + 2y + 2z - 2 = 0; (P2): 2x + y + 2z - 1 = 0. Mặt cầu có tâm I nằm trên d và tiếp xúc với 2 mặt phẳng (P1), (P2) có phương trình:
A. (S): (x + 1)2 + (y + 2)2 + (z + 3)2 = 9.
B. (S): (x + 1)2 + (y + 2)2 + (z + 3)2 = 9 hoặc
C. (S): (x - 1)2 + (y - 2)2 + (z - 3)2 = 9.
D. (S): (x - 1)2 + (y - 2)2 + (z - 3)2 = 9 hoặc
Lời giải:
Đáp án : D
Giải thích :
Do I nằm trên d nên I (1 + 2t; 2 + t; 3 + 2t)
d(I;(P))
d(I;(Q))
Do mặt cầu (S) tiếp xúc với 2 mặt phẳng (P) và (Q) nên
⇔ |8t+9| =|9t+9|
Với t=0 thì I(1;2;3); R=3
Với t= -18/17 thì I(-19/17; 16/17; 15/17); R= 3/17
Vậy có 2 phương trình mặt cầu thỏa mãn đề bài là:
(x-1)2 +(y-2)2 +(z-3)2 =9
(x+19/17)2 +(y-16/17)2 +(z-15/17)2 =9/289
Bài 15: Cho điểm A(1;3;2), đường thẳng và mặt phẳng (P): 2x - 2y + z - 6 = 0. Phương trình mặt cầu (S) đi qua A, có tâm thuộc d đồng thời tiếp xúc với (P) là:
A. (S): (x - 1)2 + (y - 3)2 + (z + 2)2 = 16 hoặc
B. (S): (x + 1)2 + (y + 3)2 + (z - 2)2 = 16 hoặc
C. (S): (x - 1)2 + (y - 3)2 + (z + 2)2 = 16.
D. (S): (x - 1)2 + (y - 3)2 + (z + 2)2 = 4.
Lời giải:
Đáp án : A
Giải thích :
Phương trình đường thẳng
Gọi I là tâm mặt cầu, do I thuộc d nên I (-1+2t; 4 – t; -2t)
Khoảng cách từ I đến mặt phẳng (P) là:
d(I;(P)
IA
Do mặt cầu đi qua A và tiếp xúc với (P) nên d(I; (P)) =IA =R
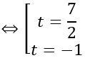
⇔ 65t2 +110t -175 =0
Khi đó, phương trình mặt cầu cần tìm là:
(x-1)2 +(y-3)2 +(z+2)2 =16
(x +83/13)2 +(y -87/13)2 +(z -70/13)2 =13456/169
Bài 16: Cho mặt phẳng (P): x - 2y - 2z + 10 = 0 và hai đường thẳng . Mặt cầu (S) có tâm thuộc Δ1, tiếp xúc với Δ2 và mặt phẳng (P), có phương trình:
A. (x + 1)2 + (y - 1)2 + (z + 2)2 = 9 hoặc (x + 11/2)2 + (y + 7/2)2 + (z - 5/2)2 = 81/4.
B. (x - 1)2 + (y + 1)2 + (z - 2)2 = 9 hoặc (x - 11/2)2 + (y - 7/2)2 + (z + 5/2)2 = 81/4.
C. (x - 1)2 + (y + 1)2 + (z - 2)2 = 9.
D. (x - 1)2 + (y + 1)2 + (z - 2)2 = 3.
Lời giải:
Đáp án : B
Giải thích :
Phương trình tham số của đường thẳng
Do I thuộc đường thẳng Δ1 nên I ( 2+t; t; 1- t)
Đường thẳng Δ2 đi qua điểm M (2; 0; -3) và có vecto chỉ phương u→ =(1;1;4)
IM→ =(-t; -t;t-4) ⇒ [ IM→ , u→ ] =(4 -5t; 5t -4; 0)
Khoảng cách từ I đến Δ2 là:
d(I; Δ2 )
Khoảng cách từ I đến mặt phẳng (P) là:
d(I;(P))
Theo bài ra, mặt cầu tiếp xúc với Δ1 và mặt phẳng (P) nên:
d(I; Δ1 )= d(I;(P)) =R
⇔ |5t -4| =|t +10|
Với t=7/2, I(11/2; 7/2; (-5)/2), R=9/2
Với t = - 1, I (1; -1; 2); R= 3
Vậy phương trình mặt cầu cần tìm là:
(x -11/2)2 +(y -7/2)2 +(z +5/2)2 =81/4
(x -1)2 +(y +1)2 +(z -2)2 =9
Bài 17: Cho điểm A(2;5;1) và mặt phẳng (P): 6x + 3y - 2z + 24 = 0, H là hình chiếu vuông góc của A trên mặt phẳng (P). Phương trình mặt cầu (S) có diện tích 784π và tiếp xúc với mặt phẳng (P) tại H, sao cho điểm A nằm trong mặt cầu là:
A. (x + 16)2 + (y + 4)2 + (z - 7)2 = 196.
B. (x + 8)2 + (y + 8)2 + (z - 1)2 = 196.
C. (x - 8)2 + (y - 8)2 + (z + 1)2 = 196.
D. (x - 16)2 + (y - 4)2 + (z + 7)2 = 196.
Lời giải:
Đáp án : C
Giải thích :
Gọi H (a; b; c).
⇒ AH→=(a -2; b -5; c -1)
Mặt phẳng (P) có vecto pháp tuyến n→=(6;3;-2)
Do H là hình chiếu vuông góc của A trên mặt phẳng (P) nên AH→ vuông góc với mặt phẳng (P).
⇒ AH→=k n→
Lại có H thuộc (P) nên 6a + 3b – 2c + 24 = 0
⇔ 6(6k+2) +3(3k+5) -2(-2k+1) +24 =0
⇔ k= -1
⇒ H(-4;2;3)
Gọi R là bán kính mặt cầu.
Mặt cầu (S) có diện tích là 784π
⇒ 4π R2=784π ⇒ R=14
Gọi I (m, n, p) là tâm mặt cầu
⇒ IH→=(-4-m; 2-n; 3-p)
Do mặt cầu tiếp xúc với mặt phẳng (P) tại H nên ta có
Xét (*): |t n→ |=R
⇔ |t| =2 ⇔ t =±2
Với t = 2 ta có I (-16; -4; 7)
Khi đó:
= 21 > R
⇒ A nằm ngoài mặt cầu.
Với t = - 2 ta có I (8; 8; -1)
Khi đó:
IA= 7<R
⇒ A nằm trong mặt cầu.
Vậy phương trình mặt cầu cần tìm là:
(x-8)2 +(y-8)2 +(z+1)2 =196
Bài 18: Cho mặt phẳng (P): 2x + y - z + 5 = 0 và các điểm A(0;0;4), B(2;0;0). Phương trình mặt cầu đi qua O, A, B và tiếp xúc với mặt phẳng (P) là:
A. (x - 1)2 + (y - 1)2 + (z - 2)2 = 6.
B. (x + 1)2 + (y + 1)2 + (z + 2)2 = 6.
C. (x - 1)2 + (y + 1)2 + (z - 2)2 = 6.
D. (x - 1)2 + (y - 1)2 + (z + 2)2 = 6.
Lời giải:
Đáp án : A
Giải thích :
Gọi I (a; b; c) là tâm mặt cầu
Lại có mặt cầu đi qua O; A; B nên IO = IA = IB
⇒ I(1;b;2)
Khoảng cách từ I đến mặt phẳng (P) là:
d(I;(P))
Do mặt cầu tiếp xúc với mặt phẳng (P) nên d(I;(P))=IO
⇔ (b+5)2/6 =5 +b2⇔ 5b2 -10b +5 =0 ⇔ b=1
Vậy I (1; 1; 2) và R = √6
Phương trình mặt cầu cần tìm là:
(x-1)2 +(y-12 +(z-2)2 =6
Bài 19: Cho hai mặt phẳng (P): 2x + 3y - z + 2 = 0, (Q): 2x - y - z + 2 = 0. Phương trình mặt cầu (S) tiếp xúc với mặt phẳng (P) tại điểm A(1;-1;1) và có tâm thuộc mặt phẳng (Q) là:
A. (S): (x - 3)2 + (y - 7)2 + (z + 3)2 = 56.
B. (S): (x + 3)2 + (y + 7)2 + (z - 3)2 = 56.
C. (S): (x + 3)2 + (y + 7)2 + (z - 3)2 = 14.
D. (S): (x - 3)2 + (y - 7)2 + (z + 3)2 = 14.
Lời giải:
Đáp án : B
Giải thích :
Gọi I (a; b; c) là tâm của mặt cầu
⇒ IA→=(1 -a; -1 -b; 1 -c)
Mặt phẳng (P) có vecto pháp tuyến n→=(2;3; -1)
Do mặt cầu tiếp xúc với (P) tại điểm A nên IA→ vuông góc với mặt phẳng (P)
⇒ IA→= k n→
Lại có I thuộc mặt phẳng (Q) nên ta có:
2a -b -c +2 =0
⇔ 2(1 -2k) +(1 +3k) -1 -k +2 =0
⇔ k=2
Với k = 2 thì I (-3; -7; 3)
Bán kính mặt cầu: R=|IA→ | =|k n→ |
= 2√14
Vậy phương trình mặt cầu cần tìm là:
(x+3)2 +(y+7)2 +(z-3)2 =56
Bài 20: Cho điểm I(0;0;3) và đường thẳng. Phương trình mặt cầu (S) có tâm I và cắt đường thẳng d tại hai điểm A, B sao cho tam giác IAB vuông là:
A. x2 + y2 + (z - 3)2 = 4/3.
B. x2 + y2 + (z - 3)2 = 3/2.
C. x2 + y2 + (z - 3)2 = 2/3.
D. x2 + y2 + (z - 3)2 = 8/3.
Lời giải:
Đáp án : D
Giải thích :
Đường thẳng d đi qua điểm M(-1; 0; 2) và có vecto chỉ phương u→ =(1;2;1)
IM→ =(-1;0; -1) ⇒ [IM→ ; u→ ]=(2;0;-2)
Khoảng cách từ I đến đường thẳng d là
d(I;d)
Tam giác IAB có IA = IB = R, vuông cân tại I nên AB= R√2
Mặt khác ta có: IA. IB = d(I;d).AB
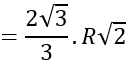
⇔ R2 ⇔ R=(2√6)/3
Phương trình mặt cầu cần tìm là
x2 +y2 +(z-3)2 =8/3
Bài giảng: Cách viết phương trình mặt cầu - dạng bài nâng cao - Cô Nguyễn Phương Anh (Giáo viên VietJack)
Đã có app VietJack trên điện thoại, giải bài tập SGK, SBT Soạn văn, Văn mẫu, Thi online, Bài giảng....miễn phí. Tải ngay ứng dụng trên Android và iOS.
Theo dõi chúng tôi miễn phí trên mạng xã hội facebook và youtube:Nếu thấy hay, hãy động viên và chia sẻ nhé! Các bình luận không phù hợp với nội quy bình luận trang web sẽ bị cấm bình luận vĩnh viễn.
- Giải Tiếng Anh 12 Global Success
- Giải sgk Tiếng Anh 12 Smart World
- Giải sgk Tiếng Anh 12 Friends Global
- Lớp 12 Kết nối tri thức
- Soạn văn 12 (hay nhất) - KNTT
- Soạn văn 12 (ngắn nhất) - KNTT
- Giải sgk Toán 12 - KNTT
- Giải sgk Vật Lí 12 - KNTT
- Giải sgk Hóa học 12 - KNTT
- Giải sgk Sinh học 12 - KNTT
- Giải sgk Lịch Sử 12 - KNTT
- Giải sgk Địa Lí 12 - KNTT
- Giải sgk Giáo dục KTPL 12 - KNTT
- Giải sgk Tin học 12 - KNTT
- Giải sgk Công nghệ 12 - KNTT
- Giải sgk Hoạt động trải nghiệm 12 - KNTT
- Giải sgk Giáo dục quốc phòng 12 - KNTT
- Giải sgk Âm nhạc 12 - KNTT
- Giải sgk Mĩ thuật 12 - KNTT
- Lớp 12 Chân trời sáng tạo
- Soạn văn 12 (hay nhất) - CTST
- Soạn văn 12 (ngắn nhất) - CTST
- Giải sgk Toán 12 - CTST
- Giải sgk Vật Lí 12 - CTST
- Giải sgk Hóa học 12 - CTST
- Giải sgk Sinh học 12 - CTST
- Giải sgk Lịch Sử 12 - CTST
- Giải sgk Địa Lí 12 - CTST
- Giải sgk Giáo dục KTPL 12 - CTST
- Giải sgk Tin học 12 - CTST
- Giải sgk Hoạt động trải nghiệm 12 - CTST
- Giải sgk Âm nhạc 12 - CTST
- Lớp 12 Cánh diều
- Soạn văn 12 Cánh diều (hay nhất)
- Soạn văn 12 Cánh diều (ngắn nhất)
- Giải sgk Toán 12 Cánh diều
- Giải sgk Vật Lí 12 - Cánh diều
- Giải sgk Hóa học 12 - Cánh diều
- Giải sgk Sinh học 12 - Cánh diều
- Giải sgk Lịch Sử 12 - Cánh diều
- Giải sgk Địa Lí 12 - Cánh diều
- Giải sgk Giáo dục KTPL 12 - Cánh diều
- Giải sgk Tin học 12 - Cánh diều
- Giải sgk Công nghệ 12 - Cánh diều
- Giải sgk Hoạt động trải nghiệm 12 - Cánh diều
- Giải sgk Giáo dục quốc phòng 12 - Cánh diều
- Giải sgk Âm nhạc 12 - Cánh diều


Giải bài tập SGK & SBT
Tài liệu giáo viên
Sách
Khóa học
Thi online
Hỏi đáp

