50 bài tập trắc nghiệm Viết phương trình mặt phẳng chọn lọc, có đáp án (phần 1)
Với 50 bài tập trắc nghiệm Viết phương trình mặt phẳng (phần 1) có lời giải chi tiết sẽ giúp học sinh ôn tập, biết cách làm bài tập trắc nghiệm Viết phương trình mặt phẳng (phần 1).
50 bài tập trắc nghiệm Viết phương trình mặt phẳng chọn lọc, có đáp án (phần 1)
(199k) Xem Khóa học Toán 12 KNTTXem Khóa học Toán 12 CDXem Khóa học Toán 12 CTST
Bài giảng: Cách làm bài tập viết phương trình mặt phẳng cơ bản - Cô Nguyễn Phương Anh (Giáo viên VietJack)
Bài 1: Trong không gian Oxyz, Phương trình mặt phẳng (P) chứa trục Ox và vuông góc với mặt phẳng (Q): 3x + y - 2z - 5 = 0 là
A. -x +3y =0
B. 2x +3y =0
C. 2y -z =0
D. 2y +z =0
Lời giải:
Đáp án : D
Giải thích :
Trục Ox có vecto chỉ phương u→=(1;0;0) và đi qua điểm O (0; 0; 0)
Mặt phẳng (Q) có vecto pháp tuyến nQ→=(3;1; -2)
Do mặt phẳng (P) chứa trục Ox và vuông góc với mặt phẳng (Q) nên mặt phẳng (P) có vecto pháp tuyến là n→=[u→ ; nQ→ ]=(0;2;1)
Phương trình mặt phẳng (P) có vecto pháp tuyến n→ và đi qua điểm O là:
2y +z =0
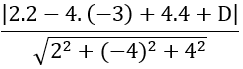
Bài 2: Trong không gian Oxyz, cho điểm A(1;1;1) và mặt phẳng (Q): 2x + y + 2z - 1 = 0. Mặt phẳng (P) song song với mặt phẳng (Q) và khoảng cách từ A đến mặt phẳng (P) bằng 2/3. Phương trình mặt phẳng (P) là
A.
B.
C.
D.
Lời giải:
Đáp án : A
Giải thích :
Mặt phẳng (P) song song với mặt phẳng (Q) nên phương trình mặt phẳng (P) có dạng:
2x +y +2z +D =0 (D≠ -1)
Khoảng cách từ A đến mặt phẳng (P) bằng 2/3 nên ta có:
⇔ |5 +D| =2
Vậy phương trình mặt phẳng (P) cần tìm là:
Bài 3: Trong không gian Oxyz phương trình mặt phẳng (P) đi qua điểm A(2; -1; 2) song song trục Oy và vuông góc với mặt phẳng (Q): 2x - y + 3z - 9 = 0 là
A. 3y + z + 1 = 0
B. x + 2y = 0
C. 3x - 2z - 2 = 0
D. 3x + 2y - 10 = 0
Lời giải:
Đáp án : C
Giải thích :
Trục Oy có vecto chỉ phương là u→=(0;1;0)
Mặt phẳng (Q) có vecto pháp tuyến nQ→=(2;-1;3)
Do mặt phẳng (P) chứa trục Ox và vuông góc với mặt phẳng (Q) nên mặt phẳng (P) có vecto pháp tuyến là n→=[u→ ; nQ→ ]=(3;0; -2)
Phương trình mặt phẳng (P) có vecto pháp tuyến n→ và đi qua điểm A(2; -1; 2) là:
3(x -2) -2(z -2) =0
⇔ 3x -2z -2 =0
Bài 4: Phương trình mặt phẳng (α) đi qua M(1; -2; 3) và song song với mặt phẳng (β): 2x – 3y + z + 5 = 0 là :
A. 2x – 3y +z -11 = 0
B. –x – 2y +3z -11 = 0
C. 2x – 3y +2z +11 = 0
D. 2x – 3y +z +11 = 0
Lời giải:
Đáp án : A
Giải thích :
Mặt phẳng (α) song song với mặt phẳng (β): 2x – 3y + z + 5 = 0 nên phương trình mặt phẳng (α) có dạng: 2x -3y +z +D =0 (D≠5)
Mặt phẳng (α) đi qua M(1; -2; 3) nên:
2 .1 -3 .(-2) +3 +D =0 ⇒ D= -11
Vậy phương trình mặt phẳng cần tìm là 2x -3y +z -11 =0
Bài 5: Phương trình mặt phẳng (α) đi qua hai điểm A(3;1;-1), B(2;-1;4) và vuông góc với mặt phẳng có phương trình (β): 2x - y + 3z = 0 là :
A. 2x - y+3z -2 = 0
B. x -13y - 5z + 5 = 0
C. - x +13y + 5z = 0
D. x -13y - 5z +6 = 0
Lời giải:
Đáp án : B
Giải thích :
AB→ =(-1; -2;5)
Mặt phẳng (β) có vecto pháp tuyến n1→=(2 ; -1 ;3)
Do mặt phẳng (α) đi qua hai điểm A, B và vuông góc với mặt phẳng (β) nên có vecto pháp tuyến là n→=[AB→ ; n1→ ]=(-1;13;5)
Phương trình mặt phẳng (α) có vecto pháp tuyến n→ và đi qua điểm A(3 ; 1 ; -1) là :
-(x -3) +13(y -1) +5(z +1) =0
⇔ x -13y -5z +5 =0
Bài 6: Trong không gian với hệ toạ độ Oxyz, (α) là mặt phẳng đi qua điểm A(2; -1; 5) và vuông góc với hai mặt phẳng (P): 3x - 2y + z + 7 = 0 và (Q): 5x - 4y + 3z + 1 = 0. Phương trình mặt phẳng (α) là:
A. x + 2y + z - 5 = 0
B. 2x - 4y - 2z - 10 = 0
C. 2x + 4y + 2z + 10 = 0
D. x + 2y - z + 5 = 0
Lời giải:
Đáp án : A
Giải thích :
Mặt phẳng (P) có vecto pháp tuyến n1→=(3; -2;1)
Mặt phẳng (Q) có vecto pháp tuyến n2→=(5; -4;3)
Do mặt phẳng (α) vuông góc với 2 mặt phẳng (P) và (Q) nên vecto pháp tuyến của mặt phẳng (α) là n→=[n1→ , n2→ ]=(-2; -4; -2)= -2(1;2;1)
Phương trình mặt phẳng (α) đi qua A (2; -1; 5) và có vecto pháp tuyến n→=(1;2;1) là: x -2 +2(y +1) +z -5 =0
⇔ x +2y +z -5 =0
Bài 7: Trong không gian với hệ toạ độ Oxyz, gọi (α) là mặt phẳng qua G(1;2;3) và cắt các trục Ox, Oy, Oz lần lượt tại các điểm A, B, C (khác gốc O) sao cho G là trọng tâm của tam giác ABC. Khi đó mặt phẳng (α) có phương trình:
A. 6x + 3y + 2z - 18 = 0
B. 3x + 6y + 2z + 18 = 0
C. 2x + y + 3z - 9 = 0
D. 6x + 3y + 2z + 9 = 0
Lời giải:
Đáp án : A
Giải thích :
Giả sử tọa độ của các điểm là A (a; 0; 0), B (0; b; 0), C (0; 0; c)
Do G(1; 2; 3) là trọng tâm tam giác ABC nên ta có:
Mặt phẳng (α) đi qua A (3; 0; 0), B (0; 6; 0), C (0; 0; 9) có phương trình là:
x/3 +y/6 +z/9 =1
⇔ 6x +3y +2z -18 =0
Bài 8: Trong không gian với hệ toạ độ Oxyz, gọi (α) là mặt phẳng song song với mặt phẳng (β): 2x - 4y + 4z + 3 = 0 và cách điểm A(2; -3; 4) một khoảng k=3. Phương trình của mặt phẳng (α) là:
A. x - 2y + 2z - 25 = 0 hoặc x - 2y + 2z - 7 = 0
B. x - 2y + 2z - 25 = 0
C. x - 2y + 2z - 7 = 0
D. 2x - 4y + 4z - 5 = 0 hoặc 2x - 4y + 4z - 13 = 0
Lời giải:
Đáp án : A
Giải thích :
Phương trình mặt phẳng song song với mặt phẳng là:
2x -4y +4z +D =0 (D≠ 3)
Do cách điểm A( 2; -3; 4) một khoảng k = 3 nên ta có:
=3
⇔ |32 +D| =18 ⇔
Vậy phương trình mặt phẳng là:
Bài 9: Trong không gian với hệ toạ độ Oxyz, cho A(1;0;0), B(0; b; 0), C(0; 0; c) (b > 0, c > 0) và mặt phẳng (P): y - z + 1 = 0. Viết phương trình mặt phẳng (ABC) biết mặt phẳng (ABC) vuông góc với mặt phẳng (P) và khoảng cách từ O đến (ABC) bằng 1/3 .
A. x + 2y + z - 12 = 0
B. x + 2y + 2z - 1 = 0
C. 5x + 4y + 3z - 50 = 0
D. x - y + z = 0
Lời giải:
Đáp án : B
Giải thích :
Phương trình mặt phẳng (ABC) đi qua A(1;0;0), B(0; b; 0), C(0; 0; c) (b > 0, c > 0) là:
x/1 +y/b +z/c =1 ⇔ bcx +cy +bz -bc =0
Mặt phẳng (ABC) có vecto pháp tuyến n→=(bc; c; b)
Mặt phẳng (P) có vecto pháp tuyến n1→=(0;1; -1)
Do mặt phẳng (ABC) vuông góc với mặt phẳng (P) nên n→ .n1→=0
⇔ c -b =0 ⇔ b =c
Khi đó phương trình mặt phẳng (ABC) là: b2 x +by +bz -b2 =0
⇔ bx +y +z -b =0
Khoảng cách từ O đến (ABC) bằng nên:
=1/3 ⇔ 9b2 =b2 +2 ⇔ b = 1/2 (do b > 0)
Vậy phương trình mặt phẳng (ABC) là
1/2 x +y +z -1/2 =0 ⇔ x +2y +2z -1 =0
Bài 10: Trong không gian với hệ toạ độ Oxyz, mặt phẳng (α) đi qua điểm M(5;4;3) và cắt các tia Ox, Oy, Oz các đoạn bằng nhau có phương trình là:
A. x + y + z - 12 = 0
B. x + y + z = 0
C. 5x + 4y + 3z - 50 = 0
D. x - y + z = 0
Lời giải:
Đáp án : A
Giải thích :
Do mặt phẳng (α) cắt các tia Ox, Oy, Oz các đoạn bằng nhau nên mặt phẳng (α) có phương trình:
x/a +y/a +z/a =1
Mặt khác, mặt phẳng (α) đi qua M (5; 4; 3) nên ta có:
5/a +4/a +3/a =1 ⇔ a=12
Vậy phương trình mặt phẳng (α) là:
x/12 +y/12 +z/12 =1 ⇔ x +y +z -12 =0
Bài 11: Trong không gian với hệ trục tọa độ Oxyz, gọi (P) là mặt phẳng chứa trục Oy và tạo với mặt phẳng (Q): y + z + 1 = 0 góc 600. Phương trình mặt phẳng (P) là:
A.
B.
C.
D.
Lời giải:
Đáp án : C
Giải thích :
Gọi n→ (a;b;c) là vecto pháp tuyến của mặt phẳng (P)
Mặt phẳng (Q) có vecto pháp tuyến n1→ =(0;1;1), trục Oy có vecto chỉ phương
u→=(0;1;0)
Do mặt phẳng (P) chứa trục Oy nên n→. u→=0 ⇔ b=0
Mặt phẳng (P) tạo với mặt phẳng (Q) góc 600
⇒ cos 600=
=
⇔ 1/2=
⇔ a=±c
Chọn a = 1 ⇒ c=±1. Khi đó, phương trình mặt phẳng (P) đi qua điểm O(0; 0; 0) và có vecto pháp tuyến n→ là:
Bài 12: Trong không gian với hệ toạ độ Oxyz, cho hình cầu (S): (x - 1)2 +(y - 2)2 +(z - 3)2 = 1. Phương trình mặt phẳng (α) chứa trục Oz và tiếp xúc với (S)
A.
B.
C.
D.
Lời giải:
Đáp án : D
Giải thích :
Gọi n→ (a;b;c) là vecto pháp tuyến của mặt phẳng (P)
Trục Oz có vecto chỉ phương u→=(0;0;1) và đi qua điểm O(0; 0; 0)
Do mặt phẳng (P) chứa trục Oz nên n→. u→=0 ⇔ c=0
Phương trình mặt phẳng (P) có vecto pháp tuyến n→ (a;b;0) và đi qua O là:
ax +by=0
Mặt cầu (S) có tâm I (1; 2; 3) và bán kính R = 1.
Do mặt phẳng (P) tiếp xúc với mặt cầu S nên d(I;(P))=R
=1 ⇔ a2 +4ab +4b2 =a2 +b2
Với b = 0, chọn a= 1 ⇒ phương trình mặt phẳng (P) là x = 0
Với a=(-3/4)b, chọn b= -4 ⇒ a=3,
Phương trình mặt phẳng (P) là: 3x -4y =0
Bài 13: Trong không gian với hệ toạ độ Oxyz, cho hình cầu (S): (x - 1)2 + (y - 2)2 + (z - 3)2 = 16. Phương trình mặt phẳng (α) chứa Oy cắt hình cầu (S) theo thiết diện là đường tròn có chu vi bằng 8π
A. (α): 3x + z =0
B. (α): 3x - z =0
C. (α): 3x + z +2 =0
D. (α): x - 3z =0
Lời giải:
Đáp án : B
Giải thích :
Gọi n→ (a;b;c) là vecto pháp tuyến của mặt phẳng (P)
Trục Oy có vecto chỉ phương u→=(0;1;0) và đi qua điểm O(0; 0; 0)
Do mặt phẳng (P) chứa trục Oz nên n→. u→=0 ⇔ b=0
Phương trình mặt phẳng (P) có vecto pháp tuyến n→(a;0;c) và đi qua O là:
ax +cz =0
Mặt cầu (S) có tâm I (1; 2; 3) và bán kính R = 4.
Mặt phẳng cắt mặt cầu theo thiết diện là đường tròn chu vi bằng
⇒ Bán kính của thiết diện là 4
⇒ Mặt phẳng (P) đi qua tâm I của mặt cầu (S)
Khi đó, ta có: a +3c=0 ⇔ a= -3c
Chọn c= -1 ⇒ a=3
Vậy phương trình mặt phẳng (P) là: 3x -z=0
Bài 14: Trong không gian với hệ trục tọa độ Oxyz, gọi (P) là mặt phẳng song song với mặt phẳng Oxz và cắt mặt cầu (x - 1)2 + (y + 2)2 + z2 = 12 theo đường tròn có chu vi lớn nhất. Phương trình của (P) là:
A. y +2 =0
B. y -2 =0
C. y +1 =0
D. x -2y +1 =0
Lời giải:
Đáp án : A
Giải thích :
Mặt phẳng (P) song song với mặt phẳng Oxz nên mặt phẳng (P) có dạng:
y +D =0 (D≠0)
Mặt cầu có tâm I (1; -2; 0) và bán kính R=2√3
Mặt phẳng cắt mặt cầu theo đường tròn có chu vi lớn nhất ⇔ Mặt phẳng (P) đi qua tâm I
⇒ -2 +D =0 ⇔ D=2
Vậy phương trình mặt phẳng (P) là y +2 =0
Bài 15: Trong không gian Oxyz. Phương trình mặt phẳng (α) đi qua A(-1 ;2 ;4) và song song với mặt phẳng (P): 2x - 4y + 5z - 15 = 0
A. (α): 2x - 4y + 5z + 10 = 0
B. (α): 2x - 4y + 5z - 5 = 0
C. (α): 2x - 4y + 5z - 10 = 0
D. (α): 2x - 4y + 5z + 5 = 0
Lời giải:
Đáp án : C
Giải thích :
Phương trình mặt phẳng (α) song song với mặt phẳng (P) : 2x – 4y + 5z – 15 =0 có dạng :
⇒ 2x -4y +5z +D =0 (D≠ -15)
Do mặt phẳng (α) đi qua điểm A (-1 ; 2 ; 4) nên ta có :
2 .(-1) -4 .2 +5 .4 +D =0 ⇒ D= -10
Vậy phương trình mặt phẳng cần tìm là : 2x -4y +5z -10 =0
Bài 16: Trong không gian Oxyz cho ba điểm A(3;0;0), B(-1;1;1), C(-3;1;2). Phương trình của mặt phẳng (ABC) là :
A. 2x + y + 2z - 2 = 0
B. x + 2y + 2z - 3 = 0
C. x + 2y + z - 3 = 0
D. x - 2y + 2z - 3 = 0
Lời giải:
Đáp án : B
Giải thích :
AB→=(-4;1;1); AC→=(-6;1;2)
⇒ [AB→ , AC→ ]=(1;2;2)
Phương trình mặt phẳng (ABC) nhận n→=[AB→ , AC→ ]=(1;2;2) làm vecto pháp tuyến và đi qua A (3; 0; 0) là:
x +2y +2z -3 =0
Bài 17: Trong không gian với hệ trục tọa độ Oxyz, cho các điểm A(5;1;3), B(1;2;6), C(5;0;4). Viết phương trình mặt phẳng chứa AB và song song với CD.
A. x + y + z - 9 = 0
B. 2x - y + 3z + 6 = 0
C. 2x - y + z + 4 = 0
D. 2x + 5y + z - 18 = 0
Lời giải:
Đáp án : D
Giải thích :
AB→ =(-4;1;3); CD→=(-1;0;2)
⇒ [AB→ , CD→ ]=(2;5;1)
Phương trình mặt phẳng (P) chứa AB và song song với CD nhận n→=[AB→ , CD→ ]=(2;5;1) làm vecto pháp tuyến và đi qua A (5;1;3) là:
2(x -5) +5(y -1) +z -3 =0
⇔ 2x +5y +z -18 =0
Bài 18: Trong không gian Oxyz cho 2 điểm A(4;-1;3), B(-2;3;1). Phương trình mặt phẳng trung trực của đoạn thẳng AB là
A. 3x - 2y + z + 3 = 0
B. - 6x + 4y - 2z - 6 = 0
C. 3x - 2y + z - 3 = 0
D. 3x - 2y - z + 1 = 0
Lời giải:
Đáp án : C
Giải thích :
Mặt phẳng (P) đi qua trung điểm I (1; 1; 2) của AB và vuông góc với AB nên nhận
AB→=(-6;4; -2) làm vecto pháp tuyến.
Phương trình mặt phẳng (P) là: -6(x -1) +4(y -1) -2(z -2) =0
⇔ 3x -2y +z -3 =0
Bài 19: Trong không gian với hệ trục tọa độ Oxyz, gọi (P) là mặt phẳng chứa trục Ox và vuông góc với mặt phẳng (Q): x + y + z - 3 = 0. Phương trình mặt phẳng (P) là:
A. y - z = 0
B. y + z = 0
C. y - z - 1 = 0
D. y - 2z = 0
Lời giải:
Đáp án : A
Giải thích :
Trục Ox có vecto chỉ phương u→=(1;0;0) và đi qua điểm O (0; 0; 0)
Mặt phẳng (Q) có vecto pháp tuyến nQ→=(1;1;1)
[u→ , nQ→ ]=(0;-1;1)
Mặt phẳng (P) chứa trục Ox và vuông góc với mặt phẳng (Q) nên nhận vecto
n→= -[u→ , nQ→ ]=(0;1; -1) làm vecto pháp tuyến
Phương trình mặt phẳng (P) nhận n→ làm vecto pháp tuyến và đi qua O(0; 0; 0) là:
y -z =0
Bài 20: Trong không gian với hệ trục tọa độ Oxyz. Phương trình của mặt phẳng chứa trục Ox và qua điểm I(2;-3;1) là:
A. y + 3z = 0
B. 3x + y = 0
C. y - 3z = 0
D. 3y + z = 0
Lời giải:
Đáp án : A
Giải thích :
Trục Ox có vecto chỉ phương u→=(1;0;0) và đi qua điểm O (0; 0; 0)
OI→=(2; -3;1)
⇒ [OI→ , u→]=(0;1;3)
Do mặt phẳng (P) chứa trục Ox và đi qua I(2; -3; 1) nên mặt phẳng (P) nhận
n→=[OI→ , u→]=(0;1;3) làm vecto pháp tuyến.
Phương trình mặt phẳng (P) là: y +3z =0
Bài 21: Trong không gian với hệ tọa độ Oxyz, cho tứ diện ABCD có các đỉnh A(1;2;1), B(-2;1;3), C(2;-1;3) và D(0;3;1). Phương trình mặt phẳng (α) đi qua A, B đồng thời cách đều C, D
A. (P1): 3x + 5y + 7z - 20 = 0; (P2): x + + 3y + 3z - 10 = 0
B. (P1): 6x - 4y + 7z - 5 = 0; (P2): 3x + y + 5z + 10 = 0
C. (P1): 6x - 4y + 7z - 5 = 0; (P2): 2x + 3z - 5 = 0
D. (P1): 4x + 2y + 7z - 15 = 0; (P2): x - 5y - z + 10 = 0
Lời giải:
Đáp án : A
Giải thích :
AB→=(-3; -1;2); CD→=(-2;4; -2)
Gọi n→ là vecto pháp tuyến của mặt phẳng (α)
Do mặt phẳng (α) cách đều C, D nên xảy ra 2 trường hợp
TH1: CD song song với mặt phẳng (α)
Khi đó: n→=[AB→ , CD→ ]=(-6; -10; -14)= -2(3;5;7)
Phương trình mặt phẳng (α) là:
3(x -1)+5(y -2) +7(z -1) =0
⇔ 3x +5y +7z -20 =0
TH2: Mặt phẳng (α) cắt CD tại trung điểm I của CD
I(1;1;2) ⇒ AI→=(0; -1;1)
Do I thuộc (α) nên n→=[AB→ ; AI→]=(1;3;3)
Phương trình mặt phẳng (α) là:
x -1+3(y -2)+3(z -1) =0
⇔ x +3y +3z -10 =0
Bài 22: Trong không gian Oxyz cho điểm A(1;0;0) và hai đường thẳng;
. Phương trình mặt phẳng qua A và song song với d1 và d2 là
A. x + y + z - 1 = 0
B. 2x + y + 2z - 1 = 0
C. x + y + 2z - 1 = 0
D. 3x + 2y + z - 3 = 0
Lời giải:
Đáp án : C
Giải thích :
Đường thẳng d1 có vecto chỉ phương u1→=(1 ;1 ; -1)
Đường thẳng d2 có vecto chỉ phương u2→=(2 ;0 ; -1)
Mặt phẳng (P) song song với d1 và d2 nên mặt phẳng (P) có vecto pháp tuyến
n→=[u1→ ; u2→ ]=(-1;-1; -2)= -(1;1;2)
Phương trình mặt phẳng (P) có vecto pháp tuyến n→=(1;1;2) và đi qua A (1 ; 0 ; 0) là:
x +y +2z -1 =0.
Bài 23: Trong không gian với hệ trục tọa độ Oxyz, cho điểm G(1;4;3). Viết phương trình mặt phẳng cắt các trục Ox, Oy, Oz lần lượt tại A, B, C sao cho G là trọng tâm tứ diện OABC ?
A.
B.
C.
D.
Lời giải:
Đáp án : D
Giải thích :
Goi A(a; 0; 0); B(0; b; 0); C(0; 0; c)
G(1; 4; 3) là trọng tâm của tứ diện OABC.
Phương trình mặt phẳng (ABC) là:
Bài 24: Trong không gian với hệ trục tọa độ Oxyz, cho hai mặt phẳng có phương trình (P): x + 2y + 2z - 1 = 0, (Q): x + 2y - z - 3 = 0 và mặt cầu (S): (x - 1)2 +(y + 2)2 +z2 = 5 .Mặt phẳng (α) vuông với mặt phẳng (P), (Q) đồng thời tiếp xúc với mặt cầu (S).
A. 2x - y + 1 = 0 Λ 2x - y - 9 = 0
B. 2x - y - 1 = 0 Λ 2x - y + 9 = 0
C. x - 2y + 1 = 0 Λ x - 2y - 9 = 0
D. 2x + y - 1 = 0 Λ 2x + y + 9 = 0
Lời giải:
Đáp án : A
Giải thích :
Mặt phẳng (P) có vecto pháp tuyến n1→=(1;2;2)
Mặt phẳng (Q) có vecto pháp tuyến n2→=(1;2;-1)
Mặt cầu (S) có tâm I (1; -2; 0), bán kính R=√5.
Gọi n→ là vecto pháp tuyến của mặt phẳng (α).Do mặt phẳng (α) vuông góc với mặt phẳng (P), (Q) nên n→=[n1→ ; n2→ ]=(-6;3;0)= -3(2; -1;0)
Phương trình mặt phẳng (α) có dạng: 2x -y + D =0
Do mặt phẳng (α) tiếp xúc với mặt cầu (S) nên d(I;(α))=R
=√5
⇒ |4+D|=5 ⇔
Vậy phương trình mặt phẳng (α) là
2x -y +1=0
2x -y -9 =0
Bài 25: Trong không gian với hệ trục tọa độ Oxyz, cho mặt phẳng (P): x + 2y - 2z + 1 = 0, 2 điểm A(1;0;0), B(-1;2;0), (S): (x - 1)2 + (y - 2)2 +z2 = 25. Viết phương trình mặt phẳng (α) vuông với mặt phẳng (P), song song với đường thẳng AB, đồng thời cắt mặt cầu (S) theo đường tròn có bán kính bằng r=2√2
A. 2x - 2y + 3z + 11 = 0 Λ 2x - 2y + 3z - 23 = 0
B. 2x + 2y + 3z + 11 = 0 Λ 2x + 2y + 3z - 23 = 0
C. 2x - 2y + 3z - 11 = 0 Λ 2x - 2y + 3z + 23 = 0
D. 2x + 2y + 3z - 11 = 0 Λ 2x + 2y + 3z + 23 = 0
Lời giải:
Đáp án : B
Giải thích :
Mặt phẳng (P) có vecto pháp tuyến n1→=(1;2; -2)
AB→=(-2;2;0)
Gọi n→ là vecto pháp tuyến của mặt phẳng (α)
Do mặt phẳng (α) vuông với mặt phẳng (P), song song với đường thẳng AB nên
n→=[n1→ ; AB→ ]=(4;4;6)= 2(2; 2; 3)
Phương trình mặt phẳng (α) có dạng:
2x +2y +3z +D =0
Mặt cầu (S) có tâm I (1; 2; 0) bán kính R=5
Gọi khoảng cách từ tâm I đến mặt phẳng (P) là d
⇒ d=
Mặt phẳng (α) cắt mặt cầu (S) theo đường tròn có bán kính bằng r= 2√2 nên ta có:
d2 +r2 =R2 ⇒ d=√(52 -(2√2)2 )=√17
⇒ |D+6|/√17=√17 ⇔ |D+6|=17 ⇔
Vậy phương trình mặt phẳng (α) là:
2x +2y +3z +23 =0
2x +2y +3z -11 =0
Bài giảng: Cách viết phương trình mặt phẳng nâng cao - Cô Nguyễn Phương Anh (Giáo viên VietJack)
Đã có app VietJack trên điện thoại, giải bài tập SGK, SBT Soạn văn, Văn mẫu, Thi online, Bài giảng....miễn phí. Tải ngay ứng dụng trên Android và iOS.
Theo dõi chúng tôi miễn phí trên mạng xã hội facebook và youtube:Nếu thấy hay, hãy động viên và chia sẻ nhé! Các bình luận không phù hợp với nội quy bình luận trang web sẽ bị cấm bình luận vĩnh viễn.
- Giải Tiếng Anh 12 Global Success
- Giải sgk Tiếng Anh 12 Smart World
- Giải sgk Tiếng Anh 12 Friends Global
- Lớp 12 Kết nối tri thức
- Soạn văn 12 (hay nhất) - KNTT
- Soạn văn 12 (ngắn nhất) - KNTT
- Giải sgk Toán 12 - KNTT
- Giải sgk Vật Lí 12 - KNTT
- Giải sgk Hóa học 12 - KNTT
- Giải sgk Sinh học 12 - KNTT
- Giải sgk Lịch Sử 12 - KNTT
- Giải sgk Địa Lí 12 - KNTT
- Giải sgk Giáo dục KTPL 12 - KNTT
- Giải sgk Tin học 12 - KNTT
- Giải sgk Công nghệ 12 - KNTT
- Giải sgk Hoạt động trải nghiệm 12 - KNTT
- Giải sgk Giáo dục quốc phòng 12 - KNTT
- Giải sgk Âm nhạc 12 - KNTT
- Giải sgk Mĩ thuật 12 - KNTT
- Lớp 12 Chân trời sáng tạo
- Soạn văn 12 (hay nhất) - CTST
- Soạn văn 12 (ngắn nhất) - CTST
- Giải sgk Toán 12 - CTST
- Giải sgk Vật Lí 12 - CTST
- Giải sgk Hóa học 12 - CTST
- Giải sgk Sinh học 12 - CTST
- Giải sgk Lịch Sử 12 - CTST
- Giải sgk Địa Lí 12 - CTST
- Giải sgk Giáo dục KTPL 12 - CTST
- Giải sgk Tin học 12 - CTST
- Giải sgk Hoạt động trải nghiệm 12 - CTST
- Giải sgk Âm nhạc 12 - CTST
- Lớp 12 Cánh diều
- Soạn văn 12 Cánh diều (hay nhất)
- Soạn văn 12 Cánh diều (ngắn nhất)
- Giải sgk Toán 12 Cánh diều
- Giải sgk Vật Lí 12 - Cánh diều
- Giải sgk Hóa học 12 - Cánh diều
- Giải sgk Sinh học 12 - Cánh diều
- Giải sgk Lịch Sử 12 - Cánh diều
- Giải sgk Địa Lí 12 - Cánh diều
- Giải sgk Giáo dục KTPL 12 - Cánh diều
- Giải sgk Tin học 12 - Cánh diều
- Giải sgk Công nghệ 12 - Cánh diều
- Giải sgk Hoạt động trải nghiệm 12 - Cánh diều
- Giải sgk Giáo dục quốc phòng 12 - Cánh diều
- Giải sgk Âm nhạc 12 - Cánh diều


Giải bài tập SGK & SBT
Tài liệu giáo viên
Sách
Khóa học
Thi online
Hỏi đáp

