Cách giải phương trình mũ chứa tham số (cực hay)
Bài viết Cách giải phương trình mũ chứa tham số với phương pháp giải chi tiết giúp học sinh ôn tập, biết cách làm bài tập Cách giải phương trình mũ chứa tham số.
Cách giải phương trình mũ chứa tham số (cực hay)
(199k) Xem Khóa học Toán 12 KNTTXem Khóa học Toán 12 CDXem Khóa học Toán 12 CTST
Bài giảng: Cách giải phương trình mũ - Cô Nguyễn Phương Anh (Giáo viên VietJack)
Câu 1:Hỏi có bao nhiêu giá trị nguyên của m để phương trình 3x+m2=10m-9 có nghiệm thực?
A. 7
B. 9
C. 6
D. 10
Lời giải:
Phương trình đã cho tương đương 3x= -m2+10m-9 (1)
Phương trình (1) có nghiệm thực khi và chỉ khi -m2+10m -9>0 hay 1<m<9
Mà
Chọn A.
Câu 2:Cho phương trình (m là tham số thực) có nghiệm duy nhất.
Mệnh đề nào dưới đây là đúng ?
A. 1<m<2
B. 2≤m<4
C. m>2
D.m>3
Lời giải:
Trước hết ta cần có m-1>0 hay m>1
Khi đó
Phương trình đã cho có nghiệm duy nhất .
Chọn B.
Câu 3:Hỏi có bao nhiêu giá trị nguyên của m để phương trình m(2x+ 3x) =3x+1-2x+2 có nghiệm thực?
A.8
B.5
C.7
D. 6
Lời giải:
Phương trình đã cho tương đươg với:
(m+4)2x=(3-m)3x (1)
Để phương trình đã cho có nghiệm thực khi và chỉ khi (m+4) (3-m)>0 hay -4 <m<3
Mà
Chọn C.
Câu 4:Tìm tất cả các giá trị thực của tham số m để phương trình 4x-2x+1+m=0 có hai nghiệm thực phân biệt.
A.
B.
C.
D.
Lời giải:
Phương trình đã cho
Đặt t= 2x > 0 ta được t2- 2t+m=0
Để phương trình đã cho có hai nghiệm thực dương phân biệt
Chọn D.
Câu 5:Cho phương trình 4x-3.2x+1+2m=0 ( m là tham số thực) có hai nghiệm thực phân biệt x1; x2 thỏa mãn x1+ x2= 4. Mệnh đề nào dưới đây là đúng ?
A.4<m≤6
B. m > 6
C.2<m≤4
D. 0<m≤2
Lời giải:
Phương trình
Đặt t= 2x >0, ta được t2-2mt+2m=0
P hương trình đã cho có hai nghiệm thực phân biệt ⇔ (1) có hai nghiệm thực dương phân biệt
(*)
Ta có
Chọn B.
Câu 6:Cho phương trình 4x-(m+3) 2x+m+2=0 ( m là tham số thực dương) có hai nghiệm thực phân biệt x1 ; x2 thỏa mãn . Mệnh đề nào dưới đây là đúng ?
A. 1<m≤3
B.3≤m<5
C. 0< m≤1
D. m>5
Lời giải:
Phương trình
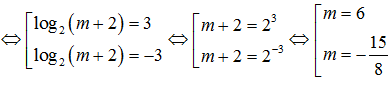
Ta thấy 1-(m+3)+m+2=0 nên
Từ đó 2x=m+2 cần phải có nghiệm thực khác (*)
Khi đó
thỏa mãn (*)
Kết hợp với m>0 đề bài cho thì ta được m=6 thỏa mãn.
Chọn D.
Câu 7:Hỏi có bao nhiêu giá trị nguyên của m thuộc đoạn [0 ; 10] để phương trình 4x-m.2x+1+4( m-1)=0 có hai nghiệm thực dương phân biệt.
A. 9
B. 8
C.10
D. 11
Lời giải:
Phương trình
Đặt t= 2x >0 ta được t22mt+ 4(m-1) =0 (1)
Để ý nên (1)
Do đó
Khi đó 2x= 2m-2 cần phải có nghiệm thực dương khác
Mà m nguyên và
Chọn B.
Đã có app VietJack trên điện thoại, giải bài tập SGK, SBT Soạn văn, Văn mẫu, Thi online, Bài giảng....miễn phí. Tải ngay ứng dụng trên Android và iOS.
Theo dõi chúng tôi miễn phí trên mạng xã hội facebook và youtube:Nếu thấy hay, hãy động viên và chia sẻ nhé! Các bình luận không phù hợp với nội quy bình luận trang web sẽ bị cấm bình luận vĩnh viễn.
- Giải Tiếng Anh 12 Global Success
- Giải sgk Tiếng Anh 12 Smart World
- Giải sgk Tiếng Anh 12 Friends Global
- Lớp 12 Kết nối tri thức
- Soạn văn 12 (hay nhất) - KNTT
- Soạn văn 12 (ngắn nhất) - KNTT
- Giải sgk Toán 12 - KNTT
- Giải sgk Vật Lí 12 - KNTT
- Giải sgk Hóa học 12 - KNTT
- Giải sgk Sinh học 12 - KNTT
- Giải sgk Lịch Sử 12 - KNTT
- Giải sgk Địa Lí 12 - KNTT
- Giải sgk Giáo dục KTPL 12 - KNTT
- Giải sgk Tin học 12 - KNTT
- Giải sgk Công nghệ 12 - KNTT
- Giải sgk Hoạt động trải nghiệm 12 - KNTT
- Giải sgk Giáo dục quốc phòng 12 - KNTT
- Giải sgk Âm nhạc 12 - KNTT
- Giải sgk Mĩ thuật 12 - KNTT
- Lớp 12 Chân trời sáng tạo
- Soạn văn 12 (hay nhất) - CTST
- Soạn văn 12 (ngắn nhất) - CTST
- Giải sgk Toán 12 - CTST
- Giải sgk Vật Lí 12 - CTST
- Giải sgk Hóa học 12 - CTST
- Giải sgk Sinh học 12 - CTST
- Giải sgk Lịch Sử 12 - CTST
- Giải sgk Địa Lí 12 - CTST
- Giải sgk Giáo dục KTPL 12 - CTST
- Giải sgk Tin học 12 - CTST
- Giải sgk Hoạt động trải nghiệm 12 - CTST
- Giải sgk Âm nhạc 12 - CTST
- Lớp 12 Cánh diều
- Soạn văn 12 Cánh diều (hay nhất)
- Soạn văn 12 Cánh diều (ngắn nhất)
- Giải sgk Toán 12 Cánh diều
- Giải sgk Vật Lí 12 - Cánh diều
- Giải sgk Hóa học 12 - Cánh diều
- Giải sgk Sinh học 12 - Cánh diều
- Giải sgk Lịch Sử 12 - Cánh diều
- Giải sgk Địa Lí 12 - Cánh diều
- Giải sgk Giáo dục KTPL 12 - Cánh diều
- Giải sgk Tin học 12 - Cánh diều
- Giải sgk Công nghệ 12 - Cánh diều
- Giải sgk Hoạt động trải nghiệm 12 - Cánh diều
- Giải sgk Giáo dục quốc phòng 12 - Cánh diều
- Giải sgk Âm nhạc 12 - Cánh diều


Giải bài tập SGK & SBT
Tài liệu giáo viên
Sách
Khóa học
Thi online
Hỏi đáp

