Bài tập trắc nghiệm tìm giá trị lớn nhất, giá trị nhỏ nhất của hàm số cực hay
Với Bài tập trắc nghiệm tìm giá trị lớn nhất, giá trị nhỏ nhất của hàm số có lời giải chi tiết sẽ giúp học sinh ôn tập, biết cách làm Bài tập trắc nghiệm tìm giá trị lớn nhất, giá trị nhỏ nhất của hàm số.
Bài tập trắc nghiệm tìm giá trị lớn nhất, giá trị nhỏ nhất của hàm số cực hay
(199k) Học Toán 12 KNTTHọc Toán 12 CDHọc Toán 12 CTST
Bài giảng: Giá trị lớn nhất, giá trị nhỏ nhất của hàm số - Cô Nguyễn Phương Anh (Giáo viên VietJack)
Câu 1: Giá trị lớn nhất và giá trị nhỏ nhất của hàm số y = -2x4 + 4x2 + 5 trên đoạn [0; 2] là:
A.
B.
C. và không có giá trị lớn nhất
D. và không có giá trị nhỏ nhất
Lời giải:
Đáp án : B
Giải thích :
Ta có y' = -8x3 + 8x ; y' = 0
Vì y(0) = 5; y(1) = 7; y(2) = -11 nên
Câu 2: Giá trị lớn nhất và giá trị nhỏ nhất của hàm số y = x3 - 3x + 3 trên [-1; 3/2] lần lượt là;
A. 15/8 và 5
B. 5 và 1
C. 1 và 15/8
D. 5 và 15/8
Lời giải:
Đáp án : B
Giải thích :
Ta có
Vì y(-1) = 5; y(1) = 1; y(3/2) = 15/8 nên
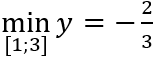
Câu 3: Giá trị nhỏ nhất của hàm số y = x - 5 + 4/x trên đoạn [1; 3] là:
A.
B.
C.
D.
Lời giải:
Đáp án : A
Giải thích :
ĐKXĐ: x ≠ 0;
Có y(1) = 0; y(2) = -1; y(3) = -2/3 nên
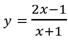
Câu 4: Giá trị lớn nhất của hàm số trên đoạn [0;2] là:
A.
B.
C.
D.
Lời giải:
Đáp án : B
Giải thích :
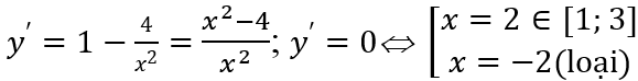
Câu 5: Giá trị nhỏ nhất của hàm số trên [0;2] là:
A. 0
B. -1/3
C. -1
D. 2
Lời giải:
Đáp án : B
Giải thích :
Ta có
Câu 6: Giá trị lớn nhất của hàm số trên đoạn [-1; 1] là;
A. √5
B. 3
C. 1
D. √3
Lời giải:
Đáp án : A
Giải thích :
Ta có
Câu 7: Giá trị lớn nhất M của hàm số là:
A. M = 1
B. M = 2
C. M = 3
D. M = 4
Lời giải:
Đáp án : B
Giải thích :
ĐKXĐ: 2 ≤ x ≤ 4
Ta có
Vì y(2) = y(4) = √2; y(3) = 2 nên
Câu 8: Giá trị lớn nhất M và giá trị nhỏ nhất m của hàm số là
A. M = 2; m = 0
B. M = √2; m = -√2
C. M = 2; m = -2
D. M = √2; m = 0
Lời giải:
Đáp án : C
Giải thích :
Câu 9:Giá trị lớn nhất M của hàm số là:
A. M = √2
B. M = 4
C. M = √2
D. M = 8
Lời giải:
Đáp án : B
Giải thích :
TXĐ D = [0; 2]
Đặt
Vì y(0) = y(2) = √2; y(1) = 2 nên
Khi đó
Vì
Khi đó hàm số trở thành y = t2 + t - 2; y' = 2t + 1 > 0 ∀ x ∈[√2;2]
Câu 10: (Đề thi Đại học Khối D – 2011). Cho hàm số giá trị lớn nhất M và giá trị nhỏ nhất m của hàm số trên đoạn [0; 2] là:
A. M = 17/3; m = 3 C. M = 17/3; m = -5
B. M = 3; m = -5 D. M = -3; m = 5
Lời giải:
Đáp án : A
Giải thích :
Hàm số xác định, liên tục trên đoạn [0; 2]
Ta có
Vì y(0) = 3; y(2) = 17/3. Vậy
Câu 11: Gọi M, N lần lượt là giá trị lớn nhất và giá trị nhỏ nhất của hàm số trên đoạn [0; 4]. Tình biểu thức M + 2N
A. (16√3)/9
B. 3 + √5
C. (16√3)/3
D. √5
Lời giải:
Đáp án : A
Giải thích :
Xét hàm số g(x) = (x - 3)2(x + 1), x ∈ [0; 4].
g'(x) = 2(x - 3)(x + 1) + (x - 3)2 = (x - 3)(2(x + 1) + x - 3) = (x - 3)(3x - 1).
Vậy M + 2N = (16√3)/9.
Câu 12: Hàm số y = √3sinx + cosx có giá trị lớn nhất và giá trị nhỏ nhất là:
A. 0 và -1
B. √3 và 0
C. √3 và -1
D. 2 và -2
Lời giải:
Đáp án : D
Giải thích :
Ta có √3sinx + cosx = 2(√3/2 sin x + 1/2 cosx ) = 2sin(x + π/6)
Vì -1 ≤ sin(x + π/6) ≤ 1 nên -2 ≤ 2sin(x + π/6) ≤ 2 .
Câu 13: Giá trị nhỏ nhất m của hàm số y = 2cos3x - 9/2 cos2x + 3cosx + 1/2 là:
A. m = -24
B. m = -12
C. m = -9
D. m = 1
Lời giải:
Đáp án : C
Giải thích :
Đặt cosx = t (-1 ≤ t ≤ 1)
Hàm số trở thành (thỏa mãn)
Ta có y(-1) = -9; y(1)= 1 ; y(1/2) = 9/8 nên
Câu 14:Hàm số y = cos2x - 4sinx + 4 có giá trị lớn nhất, giá trị nhỏ nhất trên đoạn [0; π/2] là
A. π/2 và 0
B. 5 và 1
C. 5 và -1
D. 9 và 1
Lời giải:
Đáp án : C
Giải thích :
Ta có y = cos2x - 4sinx + 4 = -2sin2x - 4sinx + 5
Đặt sinx = t khi
Hàm số trở thành y = -2t2 - 4t + 5; y' = -4t - 4; y' = 0 t = -1 (loại)
Ta có y(0) = 5; y(1) = -1 nên
Câu 15: Hàm số y = cosx(sinx+1) có giá trị lớn nhất và giá trị nhỏ nhất trên đoạn [0; π] là:
A. 1 và -1 B. 2 và -2 C. (3√3)/4 và -(3√3)/4 D. 2 và 0
Lời giải:
Đáp án : C
Giải thích :
TXĐ: D = R
Ta có y' = -sinx(sinx + 1) + cos2x = -2sin2x - sin x + 1
Vì
Khi đó y(0) = 1; y(π/6) = (3√3)/4; y(5π/6) = -(3√3)/4; y(π) = -1
Vậy
(199k) Học Toán 12 KNTTHọc Toán 12 CDHọc Toán 12 CTST
Xem thêm các dạng bài tập Toán lớp 12 có trong đề thi Tốt nghiệp THPT khác:
- Dạng 1: Tìm giá trị lớn nhất, giá trị nhỏ nhất của hàm số
- Dạng 2: Tìm m để hàm số có Giá trị lớn nhất, Giá trị nhỏ nhất thoả mãn điều kiện
- Trắc nghiệm Tìm m để hàm số có Giá trị lớn nhất, Giá trị nhỏ nhất thoả mãn điều kiện
Đã có app VietJack trên điện thoại, giải bài tập SGK, SBT Soạn văn, Văn mẫu, Thi online, Bài giảng....miễn phí. Tải ngay ứng dụng trên Android và iOS.
Theo dõi chúng tôi miễn phí trên mạng xã hội facebook và youtube:Nếu thấy hay, hãy động viên và chia sẻ nhé! Các bình luận không phù hợp với nội quy bình luận trang web sẽ bị cấm bình luận vĩnh viễn.
- Giải Tiếng Anh 12 Global Success
- Giải sgk Tiếng Anh 12 Smart World
- Giải sgk Tiếng Anh 12 Friends Global
- Lớp 12 Kết nối tri thức
- Soạn văn 12 (hay nhất) - KNTT
- Soạn văn 12 (ngắn nhất) - KNTT
- Giải sgk Toán 12 - KNTT
- Giải sgk Vật Lí 12 - KNTT
- Giải sgk Hóa học 12 - KNTT
- Giải sgk Sinh học 12 - KNTT
- Giải sgk Lịch Sử 12 - KNTT
- Giải sgk Địa Lí 12 - KNTT
- Giải sgk Giáo dục KTPL 12 - KNTT
- Giải sgk Tin học 12 - KNTT
- Giải sgk Công nghệ 12 - KNTT
- Giải sgk Hoạt động trải nghiệm 12 - KNTT
- Giải sgk Giáo dục quốc phòng 12 - KNTT
- Giải sgk Âm nhạc 12 - KNTT
- Giải sgk Mĩ thuật 12 - KNTT
- Lớp 12 Chân trời sáng tạo
- Soạn văn 12 (hay nhất) - CTST
- Soạn văn 12 (ngắn nhất) - CTST
- Giải sgk Toán 12 - CTST
- Giải sgk Vật Lí 12 - CTST
- Giải sgk Hóa học 12 - CTST
- Giải sgk Sinh học 12 - CTST
- Giải sgk Lịch Sử 12 - CTST
- Giải sgk Địa Lí 12 - CTST
- Giải sgk Giáo dục KTPL 12 - CTST
- Giải sgk Tin học 12 - CTST
- Giải sgk Hoạt động trải nghiệm 12 - CTST
- Giải sgk Âm nhạc 12 - CTST
- Lớp 12 Cánh diều
- Soạn văn 12 Cánh diều (hay nhất)
- Soạn văn 12 Cánh diều (ngắn nhất)
- Giải sgk Toán 12 Cánh diều
- Giải sgk Vật Lí 12 - Cánh diều
- Giải sgk Hóa học 12 - Cánh diều
- Giải sgk Sinh học 12 - Cánh diều
- Giải sgk Lịch Sử 12 - Cánh diều
- Giải sgk Địa Lí 12 - Cánh diều
- Giải sgk Giáo dục KTPL 12 - Cánh diều
- Giải sgk Tin học 12 - Cánh diều
- Giải sgk Công nghệ 12 - Cánh diều
- Giải sgk Hoạt động trải nghiệm 12 - Cánh diều
- Giải sgk Giáo dục quốc phòng 12 - Cánh diều
- Giải sgk Âm nhạc 12 - Cánh diều


Giải bài tập SGK & SBT
Tài liệu giáo viên
Sách
Khóa học
Thi online
Hỏi đáp

