Lý thuyết Lũy thừa của một số hữu tỉ (tiếp) lớp 7 (hay, chi tiết)
Bài viết Lý thuyết Lũy thừa của một số hữu tỉ (tiếp) lớp 7 hay, chi tiết giúp bạn nắm vững kiến thức trọng tâm Lũy thừa của một số hữu tỉ (tiếp).
Lý thuyết Lũy thừa của một số hữu tỉ (tiếp) lớp 7 (hay, chi tiết)
(199k) Xem Khóa học Toán 7 KNTTXem Khóa học Toán 7 CTSTXem Khóa học Toán 7 CD
A. Lý thuyết
Bài giảng: Bài 6: Lũy thừa của một số hữu tỉ (tiếp) - Cô Vũ Xoan (Giáo viên VietJack)
1. Lũy thừa của một tích
Lũy thừa của một tích bằng tích các lũy thừa
(xy)n = xn. yn
Ví dụ:
+ Tính:
+ Tính: (1,5)3. 83 = (8. 1,5)3 = 123
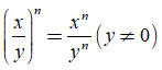
2. Lũy thừa của một thương
Lũy thừa của một thương bằng thương các lũy thừa
Ví dụ:
+ Tính:
+ Tính:
3. Mở rộng
Lũy thừa của một số âm:
Với x ∈ Q, n ∈ N∗ ⇒ -n < 0
B. Bài tập
Bài 1: Thực hiện các phép tính sau
Lời giải:
Bài 2: Chứng minh rằng 109 : 108 : 107 chia hết cho 222
Lời giải:
Ta có: 109 : 108 : 107 = 107(102 + 10 + 1)
= (2.5)7(102 + 10 + 1) = 27.57(102 + 10 + 1)
= 26.57.111.2 = 222.26.57 ⋮ 222 (đpcm)
Bài 3: Tìm x biết
a) (x - 2)2 = 1
b) (x - 1)(x + 2) = (x - 1)(x + 4)
Lời giải:
(199k) Xem Khóa học Toán 7 KNTTXem Khóa học Toán 7 CTSTXem Khóa học Toán 7 CD
Xem thêm các phần lý thuyết, các dạng bài tập Toán lớp 7 có đáp án chi tiết hay khác:
- Lý thuyết Tỉ lệ thức
- Bài tập Tỉ lệ thức
- Lý thuyết Tính chất của dãy tỉ số bằng nhau
- Bài tập Tính chất của dãy tỉ số bằng nhau
- Lý thuyết Số thập phân hữu hạn. Số thập phân vô hạn tuần hoàn
- Bài tập Số thập phân hữu hạn. Số thập phân vô hạn tuần hoàn
Lời giải bài tập lớp 7 sách mới:
- Giải bài tập Lớp 7 Kết nối tri thức
- Giải bài tập Lớp 7 Chân trời sáng tạo
- Giải bài tập Lớp 7 Cánh diều
Tủ sách VIETJACK shopee lớp 6-8 (2025):
Đã có app VietJack trên điện thoại, giải bài tập SGK, SBT Soạn văn, Văn mẫu, Thi online, Bài giảng....miễn phí. Tải ngay ứng dụng trên Android và iOS.
Theo dõi chúng tôi miễn phí trên mạng xã hội facebook và youtube:Loạt bài Lý thuyết - Bài tập Toán lớp 7 có đầy đủ Lý thuyết và các dạng bài có lời giải chi tiết được biên soạn bám sát nội dung chương trình sgk Đại số 7 và Hình học 7.
Nếu thấy hay, hãy động viên và chia sẻ nhé! Các bình luận không phù hợp với nội quy bình luận trang web sẽ bị cấm bình luận vĩnh viễn.
- Giải Tiếng Anh 7 Global Success
- Giải Tiếng Anh 7 Friends plus
- Giải sgk Tiếng Anh 7 Smart World
- Giải Tiếng Anh 7 Explore English
- Lớp 7 - Kết nối tri thức
- Soạn văn 7 (hay nhất) - KNTT
- Soạn văn 7 (ngắn nhất) - KNTT
- Giải sgk Toán 7 - KNTT
- Giải sgk Khoa học tự nhiên 7 - KNTT
- Giải sgk Lịch Sử 7 - KNTT
- Giải sgk Địa Lí 7 - KNTT
- Giải sgk Giáo dục công dân 7 - KNTT
- Giải sgk Tin học 7 - KNTT
- Giải sgk Công nghệ 7 - KNTT
- Giải sgk Hoạt động trải nghiệm 7 - KNTT
- Giải sgk Âm nhạc 7 - KNTT
- Lớp 7 - Chân trời sáng tạo
- Soạn văn 7 (hay nhất) - CTST
- Soạn văn 7 (ngắn nhất) - CTST
- Giải sgk Toán 7 - CTST
- Giải sgk Khoa học tự nhiên 7 - CTST
- Giải sgk Lịch Sử 7 - CTST
- Giải sgk Địa Lí 7 - CTST
- Giải sgk Giáo dục công dân 7 - CTST
- Giải sgk Công nghệ 7 - CTST
- Giải sgk Tin học 7 - CTST
- Giải sgk Hoạt động trải nghiệm 7 - CTST
- Giải sgk Âm nhạc 7 - CTST
- Lớp 7 - Cánh diều
- Soạn văn 7 (hay nhất) - Cánh diều
- Soạn văn 7 (ngắn nhất) - Cánh diều
- Giải sgk Toán 7 - Cánh diều
- Giải sgk Khoa học tự nhiên 7 - Cánh diều
- Giải sgk Lịch Sử 7 - Cánh diều
- Giải sgk Địa Lí 7 - Cánh diều
- Giải sgk Giáo dục công dân 7 - Cánh diều
- Giải sgk Công nghệ 7 - Cánh diều
- Giải sgk Tin học 7 - Cánh diều
- Giải sgk Hoạt động trải nghiệm 7 - Cánh diều
- Giải sgk Âm nhạc 7 - Cánh diều


Giải bài tập SGK & SBT
Tài liệu giáo viên
Sách
Khóa học
Thi online
Hỏi đáp

