24+ Bài tập tổng hợp Biểu thức đại số (có lời giải)
24+ Bài tập tổng hợp Biểu thức đại số (có lời giải)
(199k) Xem Khóa học Toán 7 KNTTXem Khóa học Toán 7 CTSTXem Khóa học Toán 7 CD
Câu 1: Có bao nhiêu đơn thức trong các biểu thức sau
A. 5
B. 4
C. 2
D. 3
Lời giải:
Vậy có ba đơn thức tìm được
Đáp án cần chọn là: D
Câu 2: Đơn thức đồng dạng với đơn thức 2x3y4 là:
Lời giải:
Đơn thức đồng dạng với đơn thức 2x3y4 là
Đáp án cần chọn là: B
Câu 3: Bậc của đa thức x3y2 - xy5 + 7xy - 9 là
A. 2
B. 3
C. 5
D. 6
Lời giải:
x3y2có bậc là 5; -xy5có bậc là 6; 7xy có bậc là 2 và 9 có bậc là 0
Vậy bậc của đa thức x3y2 - xy5 + 7xy - 9 là 6
Đáp án cần chọn là: D
Câu 4: Tích của hai đơn thức
A. -6x3y5z4
B. -36x3y5z4
C. 9x2y4z4
D. 54x2y4z4
Lời giải:
Vậy tích của hai đơn thức là -36x3y5z4
Đáp án cần chọn là: B
Câu 5: Chọn câu sai
A. Đơn thức x2yz(x2 )2y3 có phần hệ số là 1 và phần biến số là x6y4z
B. Đơn thức (a là hằng số) có phần hệ số là a/2 và phần biến số là xy2z
C. Đơn thức có phần hệ số là 4 và phần biến số là x2y2z
D. Đơn thức (a là hằng số) có phần hệ số là a2 và phần biến số là x2y2z
Lời giải:
+ Đáp án A: x2yz(x2 )2y3 = x2yz.x4y3 = x6.y4z có phần hệ số là 1 và phần biến số là
+ Đáp án B: (a là hằng số) có phần hệ số là a/2 và phần biến số là xy2z
+ Đáp án C: có phần hệ số là 4 và phần biến số là x2y2z
+ Đáp án D:
(a là hằng số) có phần hệ số là
và phần biến số là x2y2z nên D sai
Đáp án cần chọn là: D
Câu 6: Thu gọn đơn thức ta được kết quả là:
Lời giải:
Đáp án cần chọn là: B
Câu 7: Bậc của đơn thức (với b là hằng số) là
A. 4
B. 7
C. 12
D. 6
Lời giải:
Ta có:
Bậc của đơn thức là 2 + 2 + 3 = 7
Đáp án cần chọn là: B
Câu 8: Tính giá trị biểu thức
Lời giải:
Đáp án cần chọn là: D
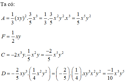
Câu 9: Cho các biểu thức đại số:
9.1: Các đơn thức trong các biểu thức trên là:
Lời giải:
Nhận thức biểu thức B chứa phép tính cộng và biểu thức E chưa phép tính trừ nên B và E không là đơn thức
Các đơn thức:
Đáp án cần chọn là: A
9.2: Chọn câu sai:
Lời giải:
Đáp án cần chọn là: C
Câu 10:Tổng của hai đa thức A=4x2y - 4xy2 + xy - 7 và B = -8xy2 - xy + 10 - 9x2y + 3xy2 là
Lời giải:
Vậy tổng của hai đa thức A và B là: -5x2y - 9xy2 + 3
Đáp án cần chọn là: A
Câu 11: Cho P(x) = 5x2 + 5x - 4; Q(x) = 2x2 - 3x + 1;R(x) = 4x2 - x-3
Tính 2P(x) + Q(x) - R(x)
Lời giải:
Ta có: 2P(x) = 2.(5x2 + 5x-4) = 10x2 + 10x - 8
Khi đó:
2P(x) + Q(x) - R(x)
= 10x2 + 10x - 8 + (2x2 - 3x + 1) - (4x2 - x-3)
= 10x2 + 10x - 8 + 2x2 - 3x + 1 - 4x2 + x + 3
= (10x2 + 2x2 - 4x2) + (10x - 3x + x) + (-8 + 1 + 3)
= 8x2 + 8x-4
Đáp án cần chọn là: C
Câu 12: Cho hai đa thức f(x) = -x5 + 2x4 - x2 - 1; g(x) = -6 + 2x-3x3 - x4 + 3x5
Gía trị của h(x) = f(x) - g(x) tại x = -1 là:
A. -8
B. -12
C. 10
D. 18
Lời giải:
h(x) = f(x) - g(x)
= (-x5 + 2x4 - x2 - 1) - (-6 + 2x - 3x3 - x4 + 3x5)
= -x5 + 2x4 - x2 - 1 + 6 - 2x + 3x3 + x4 - 3x5
= (-x5 - 3x5) + (2x4 + x4) + 3x3 - x2 - 2x + 5
= - 4x5 + 3x4 + 3x3 - x2 - 2x + 5
Thay x = -1 vào đa thức h(x) ta có:
-4.(-1)5 + 3.(-1)4 + 3.(-1)3 - (-1)2 - 2.(-1) + 5
= -4.(-1) + 3.1 + 3.(-1)-1-2.(-1) + 5
= 10
Vậy gía trị của h(x) là 10 tại x = -1
Đáp án cần chọn là: C
Câu 13: Tập nghiệm của đa thức x2 - 5x là
Lời giải:
Đáp án cần chọn là: C
Câu 14: Đa thức P(x) = (x-1)(3x + 2) có bao nhiêu nghiệm?
A. 1
B. 2
C. 3
D. 0
Lời giải:
Đáp án cần chọn là: B
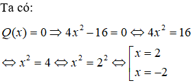
Câu 15: Tổng các nghiệm của đa thức Q(x) = 4x2 - 16 là
A. 1
B. 2
C. 4
D. 0
Lời giải:
Vậy tổng các nghiệm của Q(x) là 2 + (-2) = 0
Đáp án cần chọn là: D
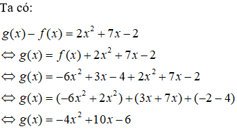
Câu 16:Cho đa thức f(x) = -6x2 + 3x-4. Tìm đa thức g(x) sao cho g(x)-f(x) = 2x2 + 7x - 2
Lời giải:
Đáp án cần chọn là: A
Câu 17: Cho đa thức P(x) = 2x2 + mx - 10. Tìm m để P(x) có một nghiệm bằng 2
A. m = 0
B. m = 1
C. m = 2
D. m = 3
Lời giải:
Vì P(x) có một nghiệm bằng 2 nên
P(2) = 0 ⇔ 2.22 + m.2-10=0 ⇔ 2m - 2 = 0 ⇔ m = 1
Đáp án cần chọn là: B
Câu 18: Cho các đa thức f(x) = x3 + 4x2 - 5x-3; g(x) = 2x3 + x2 + x + 2; h(x) = x3 - 3x2 - 2x + 1. Tính g(x) + h(x)-f(x)
Lời giải:
Ta có:
g(x) + h(x)-f(x) = (2x3 + x2 + x + 2) + (x3 - 3x2 - 2x + 1) - (x3 + 4x2 - 5x-3)
= 2x3 + x2 + x + 2 + x3 - 3x2 - 2x + 1-x3 - 4x2 + 5x + 3
= (2x3 + x3 - x3) + (x2 - 3x2 - 4x2) + (x - 2x + 5x) + (2 + 1 + 3)
= 2x3 - 6x2 + 4x + 6
Đáp án cần chọn là: D
Câu 19: Cho đa thức f(x) = a4 x4 + a3 x3 + a2 x2 + a1 x + a0. Biết rằng f(1) = f(-1);f(2) = f(-2). Chọn câu đúng
Lời giải:
Theo đề bài ta có:
f(1) = a4.14 + a3.13 + a2.12 + a1.1 + a0
= a4 + a3 + a2 + a1 + a0
f(-1) = a4.(-1)4 + a3.(-1)3 + a2.(-1)2 + a1.(-1) + a0
= a4 - a3 + a2 - a1 + a0
Vì f(1) = f(-1) nên ta có:
a4 + a3 + a2 + a1 + a0 = a4 - a3 + a2 - a1 + a0
⇔ a3 + a1 = -a3 - a1
⇔ 2a3 + 2a1 = 0
⇔ a3 + a1 = 0
⇔ a3 = -a1 (1)
f(2) = a4.24 + a3.23 + a2.22 + a1.2 + a0
= 16a4 + 8a3 + 4a2 + 2a1 + a0
f(-2) = a4.(-2)4 + a3.(-2)3 + a2.(-2)2 + a1.(-2) + a0
= 16a4 - 8a3 + 4a2 - 2a1 + a0
Vì f(2) = f(-2) nên ta có:
16a4 + 8a3 + 4a2 + 2a1 + a0 = 16a4 - 8a3 + 4a2 - 2a1 + a0
⇒ 8a3 + 2a1 = -8a3 - 2a1
⇔ 16a3 + 4a1 = 0
⇔ 4a3 + 1=0(2)
Đáp án cần chọn là: A
Câu 20: Xét đa thức P(x) = ax + b, giả sử rằng có hai giá trị khác nhau x1;x2 là nghiệm của P(x) thì
Lời giải:
Đáp án cần chọn là: D
Câu 21: Cho hai đa thức A = 5xyz - 5x2y + 8xy + 5-2xy2 - 3x2y - 4xy;
B = 3x2y + 2xyz - xy2 + 9xy-6x2y - xyz-7
22.1: Tìm A - B rồi tìm bậc của các đa thức thu được
A. A - B = -5x2y - xy2 + 4xyz - 5xy + 12 có bậc là 5
B. A - B = -5x2y - xy2 + 4xyz - 5xy - 2 có bậc là 3
C. A - B = -5x2y - xy2 + 4xyz - 5xy + 12 có bậc là 3
D. A - B = -5x2y - xy2 + 4xyz - 5xy - 2 có bậc là 5
Lời giải:
+ Thu gọn các đa thức A,B ta có:
A = 5xyz - 5x2y + 8xy + 5-2xy2 - 3x2y - 4xy
= (-5x2y - 3x2y) - 2xy2 + 5xyz + (8xy - 4xy) + 5
= -8x2y - 2xy2 + 5xyz + 4xy + 5
B = 3x2y + 2xyz - xy2 + 9xy-6x2y - xyz-7
= (3x2y - 6x2y)-xy2 + (2xyz - xyz) + 9xy - 7
= -3x2y - xy2 + xyz + 9xy - 7
⇒ A - B = -8x2y - 2xy2 + 5xyz + 4xy + 5-(-3x2y - xy2 + xyz + 9xy - 7)
= -8x2y - 2xy2 + 5xyz + 4xy + 5 + 3x2y + xy2 - xyz - 9xy + 7
= (-8x2y + 3x2y) + (-2xy2 + xy2) + (5xyz - xyz) + (4xy - 9xy) + (5 + 7)
= -5x2y - xy2 + 4xyz - 5xy + 12
Vậy đa thức A - B có bậc là 3
Đáp án cần chọn là: C
21.2: Tính A + B tại x = 1; y = 2; z = -2
Lời giải:
Theo câu trước ta có:
A = -8x2y - 2xy2 + 5xyz + 4xy + 5
B = -3x2y - xy2 + xyz + 9xy - 7
⇒ A + B = (-8x2y - 2xy2 + 5xyz + 4xy + 5) + (-3x2y - xy2 + xyz + 9xy - 7)
= -8x2y - 2xy2 + 5xyz + 4xy + 5-3x2y - xy2 + xyz + 9xy - 7
= (-8x2y - 3x2y) + (-2xy2 - xy2) + (5xyz + xyz) + (4xy + 9xy) + (5 - 7)
= -11x2y - 3xy2 + 6xyz + 13xy - 2
Thay x = 1; y = 2; z = -2 vào đa thức A + B ta được:
A + B = -11.(-1)2.2-3.(-1).22 + 6.(-1).2.(-2) + 13.(-1).(2)-2
= -11.1.2-3.(-1).4 + 6.(-1).2 + 13.(-1).2 - 2
= -22 + 12 + 24 - 26 - 2 = -14
Đáp án cần chọn là: A
Câu 22: Cho đa thức f(x) = 2x6 + 3x2 + 5x3 - 2x2 + 4x4 - x3 + 1 - 4x3 - x4
22.1: Thu gọn biểu thức f(x) ta được
Lời giải:
Ta có:
f(x) = 2x6 + 3x2 + 5x3 - 2x2 + 4x4 - x3 + 1 - 4x3 - x4
= 2x6 + (4x4 - x4) + (5x3 - x3 - 4x3) + (3x2 - 2x2) + 1
= 2x6 + 3x4 + x2 + 1
Đáp án cần chọn là: D
22.2: Chọn đáp án đúng
A. f(1) = f(-1)
B. Đa thức f(x) không có nghiệm
C. Cả A, B đều sai
D. Cả A, B đều đúng
Lời giải:
Theo câu trước ta có: f(x) = 2x6 + 3x4 + x2 + 1
f(1) = 2.16 + 3.14 + 12 + 1 = 2.1 + 3.1 + 1 + 1 = 7
f(-1) = 2.(-1)6 + 3.(-1)4 + (-1)2 + 1 = 2.1 + 3.1 + 1 + 1 = 7
Suy ra: f(1) = f(-1)
+ Ta có: x6 ≥ 0; x4 ≥ 0; x2 ≥ 0 với mọi x nên
f(x) = 2x6 + 3x4 + x2 + 1 ≥ 1 > 0 với mọi x
Do đó không tồn tại x để f(x) = 0
Vậy đa thức f(x) không có nghiệm
Vậy cả A,B đều đúng
Đáp án cần chọn là: D
Câu 23: Cho P(x) = -3x2 + 2x + 1; Q(x) = -3x2 + x - 2
Lời giải:
Đáp án cần chọn là: A
Lời giải:
Ta có:
P(x) - Q(x) = (-3x2 + 2x + 1) - (-3x2 + x - 2)
= -3x2 + 2x + 1 + 3x2 - x + 2
= (-3x2 + 3x2) + (2x - x) + 3
= x + 3
Đáp án cần chọn là: A
23.3: Vậy với giá trị nào của x thì P(x) = Q(x)
A. x = 0
B. x = 2
C. x = -3
D. x = 3
Lời giải:
Ta có: P(x) = Q(x) ⇔ P(x) - Q(x) = 0
Mà theo câu trước ta có P(x) - Q(x) = x + 3 nên
P(x) - Q(x) = 0 ⇔ x + 3 = 0 ⇔ x = -3
Vậy với x = -3 thì P(x) = Q(x)
Đáp án cần chọn là: C
Câu 24: Lớp 6A có số học sinh giỏi kì I bằng 2/7 số học sinh còn lại. Học kì II có thêm 5 học sinh đạt loại giỏi nên số học sinh giỏi kì II bằng 1/2 số học sinh còn lại. Tính số học sinh của lớp 6A
A. 40
B. 45
C. 35
D. 42
Lời giải:
Vì số học sinh giỏi kì I bằng 2/7 số học sinh còn lại nên số học sinh giỏi kì I bằng số học sinh cả lớp
Vì số học sinh giỏi kì II bằng 1/2 số học sinh còn lại nên số học sinh giỏi kì II bằng số học sinh cả lớp
5 học sinh đạt loại giỏi tăng thêm của học kì II so với học kì I bằng số học sinh cả lớp
Số học sinh của lớp 6A là (học sinh)
Vậy lớp 6A có 45 học sinh
Đáp án cần chọn là: D
(199k) Xem Khóa học Toán 7 KNTTXem Khóa học Toán 7 CTSTXem Khóa học Toán 7 CD
Xem thêm các bài tập trắc nghiệm Toán lớp 7 chọn lọc, có đáp án chi tiết hay khác:
- Trắc nghiệm Cộng, trừ đa thức
- Trắc nghiệm Đa thức một biến
- Trắc nghiệm Cộng, trừ đa thức một biến
- Trắc nghiệm Nghiệm của đa thức một biến
Lời giải bài tập lớp 7 sách mới:
- Giải bài tập Lớp 7 Kết nối tri thức
- Giải bài tập Lớp 7 Chân trời sáng tạo
- Giải bài tập Lớp 7 Cánh diều
Tủ sách VIETJACK shopee lớp 6-8 (2025):
Đã có app VietJack trên điện thoại, giải bài tập SGK, SBT Soạn văn, Văn mẫu, Thi online, Bài giảng....miễn phí. Tải ngay ứng dụng trên Android và iOS.
Theo dõi chúng tôi miễn phí trên mạng xã hội facebook và youtube:Loạt bài Lý thuyết - Bài tập Toán lớp 7 có đầy đủ Lý thuyết và các dạng bài có lời giải chi tiết được biên soạn bám sát nội dung chương trình sgk Đại số 7 và Hình học 7.
Nếu thấy hay, hãy động viên và chia sẻ nhé! Các bình luận không phù hợp với nội quy bình luận trang web sẽ bị cấm bình luận vĩnh viễn.
- Giải Tiếng Anh 7 Global Success
- Giải Tiếng Anh 7 Friends plus
- Giải sgk Tiếng Anh 7 Smart World
- Giải Tiếng Anh 7 Explore English
- Lớp 7 - Kết nối tri thức
- Soạn văn 7 (hay nhất) - KNTT
- Soạn văn 7 (ngắn nhất) - KNTT
- Giải sgk Toán 7 - KNTT
- Giải sgk Khoa học tự nhiên 7 - KNTT
- Giải sgk Lịch Sử 7 - KNTT
- Giải sgk Địa Lí 7 - KNTT
- Giải sgk Giáo dục công dân 7 - KNTT
- Giải sgk Tin học 7 - KNTT
- Giải sgk Công nghệ 7 - KNTT
- Giải sgk Hoạt động trải nghiệm 7 - KNTT
- Giải sgk Âm nhạc 7 - KNTT
- Lớp 7 - Chân trời sáng tạo
- Soạn văn 7 (hay nhất) - CTST
- Soạn văn 7 (ngắn nhất) - CTST
- Giải sgk Toán 7 - CTST
- Giải sgk Khoa học tự nhiên 7 - CTST
- Giải sgk Lịch Sử 7 - CTST
- Giải sgk Địa Lí 7 - CTST
- Giải sgk Giáo dục công dân 7 - CTST
- Giải sgk Công nghệ 7 - CTST
- Giải sgk Tin học 7 - CTST
- Giải sgk Hoạt động trải nghiệm 7 - CTST
- Giải sgk Âm nhạc 7 - CTST
- Lớp 7 - Cánh diều
- Soạn văn 7 (hay nhất) - Cánh diều
- Soạn văn 7 (ngắn nhất) - Cánh diều
- Giải sgk Toán 7 - Cánh diều
- Giải sgk Khoa học tự nhiên 7 - Cánh diều
- Giải sgk Lịch Sử 7 - Cánh diều
- Giải sgk Địa Lí 7 - Cánh diều
- Giải sgk Giáo dục công dân 7 - Cánh diều
- Giải sgk Công nghệ 7 - Cánh diều
- Giải sgk Tin học 7 - Cánh diều
- Giải sgk Hoạt động trải nghiệm 7 - Cánh diều
- Giải sgk Âm nhạc 7 - Cánh diều


Giải bài tập SGK & SBT
Tài liệu giáo viên
Sách
Khóa học
Thi online
Hỏi đáp

