Bài tập trắc nghiệm Cộng, trừ đa thức một biến lớp 7 (có đáp án)
Bài tập trắc nghiệm Cộng, trừ đa thức một biến lớp 7 (có đáp án)
(199k) Học Toán 7 KNTTHọc Toán 7 CTSTHọc Toán 7 CD
Câu 1: Cho hai đa thức f(x) = 3x2 + 2x - 5 và g(x) = -3x2 - 2x + 2
1.1: Tính h(x) = f(x) + g(x) và tìm bậc của h(x)
Lời giải:
Đáp án cần chọn là: D
1.2: Tính k(x) = f(x) - g(x) và tìm bậc của k(x)
Lời giải:
Đáp án cần chọn là: A
Câu 2: Cho hai đa thức f(x) = 5x4 + x3 - x2 + 1 và g(x) = -5x4 - x2 + 2
2.1: Tính h(x) = f(x) + g(x) và tìm bậc của h(x)
Lời giải:
Đáp án cần chọn là: D
2.2: Tính k(x) = f(x) - g(x) và tìm bậc của k(x)
Lời giải:
Đáp án cần chọn là: A
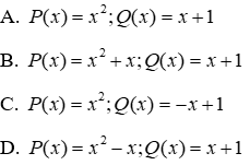
Câu 3: Cho hai đa thức P(x) và Q(x) dưới đây, hai đa thức nào thỏa mãn P(x) + Q(x) = x2 + 1
Lời giải:
Đáp án cần chọn là: D
Câu 4: Cho hai đa thức P(x) và Q(x) dưới đây, hai đa thức nào thỏa mãn P(x) - Q(x) = 2x - 2
Lời giải:
Theo đề bài ta có: P(x) - Q(x) = 2x - 2
Thử đáp án A với P(x) = x2 - 2x; Q(x) = -2x - 2 thì
Do đó đáp án A không thỏa mãn yêu cầu bài toán
Thử đáp án B với P(x) = 2x2 - 2; Q(x) = 2x2 + 2x thì
Do đó đáp án B không thỏa mãn yêu cầu bài toán
Thử đáp án C với P(x) = 2x; Q(x) = -2 thì
P(x) - Q(x) = 2x-(-2) = 2x + 2 ≠ 2x - 2
Do đó đáp án C không thỏa mãn yêu cầu bài toán
Thử đáp án D với P(x) = x3 - 2; Q(x) = x3 - 2x thì
Do đó đáp án D thỏa mãn yêu cầu bài toán
Đáp án cần chọn là: D
Câu 5: Cho f(x) = x5 - 3x4 + x2 - 5 và g(x) = 2x4 + 7x3 - x2 + 6. Tính hiệu f(x) - g(x) rồi sắp xếp kết quả theo lũy thừa tăng dần của biến ta được:
Lời giải:
Ta có:
f(x) - g(x) = x5 - 3x4 + x2 - 5-(2x4 + 7x3 - x2 + 6)
= x5 - 3x4 + x2 - 5 - 2x4 - 7x3 + x2 - 6
= x5 + (-3x4 - 2x4)-7x3 + (x2 + x2)-5-6
= x5 - 5x4 - 7x3 + 2x2 - 11
Sắp xếp kết quả theo lũy thừa tăng dần của biến ta được: -11 + 2x2 - 7x3 - 5x4 + x5
Đáp án cần chọn là: B
Câu 6: Cho f(x) = 5x4 - 4x3 + 6x2 - 2x + 1 và g(x) = 2x5 + 5x4 - 6x2 - 2x+6. Tính hiệu f(x) - g(x) rồi sắp xếp kết quả theo lũy thừa tăng dần của biến ta được:
Lời giải:
Ta có:
f(x) - g(x) = 5x4 - 4x3 + 6x2 - 2x + 1-(2x5 + 5x4 - 6x2 - 2x+6)
= 5x4 - 4x3 + 6x2 - 2x + 1 - 2x5 - 5x4 + 6x2 + 2x - 6
= (5x4 - 5x4) - 4x3 + (6x2 + 6x2) + (-2x + 2x) - 2x5 + 1-6
= - 4x3 + 12x2 - 5 - 2x5
Sắp xếp kết quả theo lũy thừa tăng dần của biến ta được: -5 + 12x2 - 4x3 - 2x5
Đáp án cần chọn là: D
Câu 7: Cho P(x) = 5x4 + 4x3 - 3x2 + 2x - 1 và Q(x) = -x4 + 2x3 - 3x2 + 4x - 5. Tính P(x) + q(x) rồi tìm bậc của đa thức thu gọn
Lời giải:
Ta có:
P(x) + Q(x) = 5x4 + 4x3 - 3x2 + 2x - 1 + (-x4 + 2x3 - 3x2 + 4x - 5)
= 5x4 + 4x3 - 3x2 + 2x - 1-x4 + 2x3 - 3x2 + 4x - 5
= (5x4 - x4) + (4x3 + 2x3) + (-3x2 - 3x2) + (2x + 4x)-1-5
= 4x4 + 6x3 - 6x2 + 6x - 6
Bậc của đa thức P(x) + Q(x) = 4x4 + 6x3 - 6x2 + 6x - 6 là 4
Đáp án cần chọn là: C
Câu 8: Cho
và Q(x) = -3x3 - x4 - 5x2 + 2x3 - 5x + 3. Tính P(x) + q(x) rồi tìm bậc của đa thức thu gọn
Lời giải:
Bậc của đa thức là 4
Đáp án cần chọn là: C
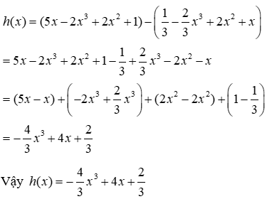
Câu 9: Tìm đa thức h(x) biết f(x) - h(x) = g(x) và f(x) = x2 + x + 1; g(x) = 4 - 2x3 + x4 + 7x5
Lời giải:
Ta có: f(x) - h(x) = g(x) ⇒ h(x) = f(x) - g(x)
Mà f(x) = x2 + x + 1; g(x) = 4 - 2x3 + x4 + 7x5 nên
Đáp án cần chọn là: A
Câu 10: Tìm đa thức h(x) biết f(x) - h(x) = g(x) và
Lời giải:
Ta có: f(x) - h(x) = g(x) ⇒ h(x) = f(x) - g(x)
Mà nên
Đáp án cần chọn là: A
Câu 11: Tìm hệ số cao nhất của đa thức k(x) biết f(x) + k(x) = g(x) và f(x) = x4 - 4x2 + 6x3 + 2x - 1; g(x) = x + 3
A. -1
B. 1
C. 4
D. 6
Lời giải:
Nhận thấy số hạng có lũy thừa cao nhất của biến -x4 nên hệ số cao nhất là -1
Đáp án cần chọn là: A
Câu 12: Tìm hệ số cao nhất của đa thức k(x) biết f(x) + k(x) = g(x) và f(x) = 2x5 - 5x2 + x3; g(x) = 2x3 + x2 + 1
A. -1
B. 1
C. -2
D. 6
Lời giải:
Sắp xếp các hạng tử của đa thức k(x) theo lũy thừa giảm dần của biến x ta được k(x) = x3 + 6x2 + 1 - 2x5
Hệ số cao nhất của k(x) là -2
Đáp án cần chọn là: C
Câu 13:Tìm hệ số tự do của hiệu f(x)-2.g(x) với f(x) = 5x4 + 4x3 - 3x2 + 2x - 1; g(x) = -x4 + 2x3 - 3x2 + 4x+5
A. 7
B. 11
C. -11
D. 4
Lời giải:
Hệ số tự do cần tìm là -11
Đáp án cần chọn là: C
Câu 14: Tìm hệ số tự do của hiệu 2f(x) - g(x) với f(x) = - 4x3 + 3x2 - 2x+5; g(x) = 2x3 - 3x2 + 4x+5
A. 10
B. -5
C. 5
D. -8
Lời giải:
Hệ số tự do cần tìm là 5
Đáp án cần chọn là: C
Câu 15: Cho hai đa thức P(x) = 2x3 - 3x + x5 - 4x3 + 4x - x5 + x2 - 2; và Q(x) = x3 - 2x2 + 3x + 1 + 2x2
15.1: Tính P(x) - Q(x)
Lời giải:
Đáp án cần chọn là: B
15.2: Tìm bậc của đa thức M(x) = P(x) + Q(x)
A. 4
B. 2
C. 3
D. 1
Lời giải:
Đáp án cần chọn là: C
Câu 16: Cho hai đa thức P(x) = -6x5 - 4x4 + 3x2 - 2x; và Q(x) = 2x5 - 4x4 - 2x3 + 2x2 - x - 3
16.1: Tính 2P(x) + Q(x)
Lời giải:
Đáp án cần chọn là: B
16.2: Gọi M(x) = P(x) - Q(x). Tính M(-1)
A. 11
B. -10
C. -11
D. 10
Lời giải:
Ta có: M(x) = P(x) - Q(x)
M(x) = P(x) - Q(x)
= -6x5 - 4x4 + 3x2 - 2x-(2x5 - 4x4 - 2x3 + 2x2 - x - 3)
= -6x5 - 4x4 + 3x2 - 2x - 2x5 + 4x4 + 2x3 - 2x2 + x + 3
= (-6x5 - 2x5) + ( - 4x4 + 4x4) + 2x3 + (3x2 - 2x2) + (-2x + x) + 3
= -8x5 + 2x3 + x2 - x + 3
Nên M(x) = -8x5 + 2x3 + x2 - x + 3
Thay x = -1 vào M(x) ta được
M(-1) = -8.(-1)5 + 2.(-1)3 + (-1)2 - (-1) + 3
= 8 - 2 + 1 + 1 + 3 = 11
Đáp án cần chọn là: A
16.3: Tìm N(x) biết P(x) - 2Q(x) = N(x)-x2 + 6
Lời giải:
Ta có:
2Q(x) = 2(2x5 - 4x4 - 2x3 + 2x2 - x - 3)
= 4x5 - 8x4 - 4x3 + 4x2 - 2x - 6
Khi đó
P(x) - 2Q(x)
= -6x5 - 4x4 + 3x2 - 2x-(4x5 - 8x4 - 4x3 + 4x2 - 2x - 6)
= -6x5 - 4x4 + 3x2 - 2x - 4x5 + 8x4 + 4x3 - 4x2 + 2x+6
= (-6x5 - 4x5) + ( - 4x4 + 8x4)+4x3 + (3x2 - 4x2) + (-2x + 2x)+6
= -10x5 + 4x4 + 4x3 - x2 + 6
Nên P(x) - 2Q(x) = N(x)-x2 + 6
⇒ N = P(x) - 2Q(x) - (-x2 + 6)
= -10x5 + 4x4 + 4x3 - x2 + 6-(-x2 + 6)
= -10x5 + 4x4 + 4x3 - x2 + 6 + x2 - 6
= -10x5 + 4x4 + 4x3
Nên N(x) = -10x5 + 4x4 + 4x3
Đáp án cần chọn là: C
Câu 17: Cho hai đa thức P(x) = -3x6 - 5x4 + 2x2 - 5; Q(x) = 8x6 + 7x4 - x2 + 10
17.1: Tính 2P(x) + Q(x)
Lời giải:
Ta có:
2P(x) = 2(-3x6 - 5x4 + 2x2 - 5)
= -6x6 - 10x4 + 4x2 - 10
Khi đó:
2P(x) + Q(x)
= -6x6 - 10x4 + 4x2 - 10 + 8x6 + 7x4 - x2 + 10
= (-6x6 + 8x6) + (-10x4 + 7x4) + (4x2 - x2) + (-10+10)
= 2x6 - 3x4 + 3x2
Đáp án cần chọn là: B
17.2: Gọi M(x) = P(x) - Q(x). Tính M(1)
A. -35
B. -3
C. 35
D. 3
Lời giải:
Ta có: M(x) = P(x) - Q(x)
= -3x6 - 5x4 + 2x2 - 5-(8x6 + 7x4 - x2 + 10)
= -3x6 - 5x4 + 2x2 - 5-8x6 - 7x4 + x2 - 10
= (-3x6 - 8x6) + (-5x4 - 7x4) + (2x2 + x2) + (-10-5)
= -11x6 - 12x4 + 3x2 - 15
Đáp án cần chọn là: A
17.3: Tìm N(x) biết P(x) + Q(x) = N(x)+C(x) với C(x) = x6 + 2x4 - 8x2 + 6
Lời giải:
Ta có: P(x) + Q(x)
= -3x6 - 5x4 + 2x2 - 5 + 8x6 + 7x4 - x2 + 10
= (-3x6 + 8x6) + (-5x4 + 7x4) + (2x2 - x2) + (-5+10)
= 5x6 + 2x4 + x2 + 5
Theo đề bài ra ra có:
P(x) + Q(x) = N(x)+C(x)
⇒ N(x) = [P(x) + Q(x)]-C(x)
⇒ N(x) = 5x6 + 2x4 + x2 + 5-(x6 + 2x4 - 8x2 + 6)
= 5x6 + 2x4 + x2 + 5-x6 - 2x4 + 8x2 - 6
= (5x6 - x6) + (2x4 - 2x4) + (x2 + 8x2) + (5-6)
= 4x6 + 9x2 - 1
Đáp án cần chọn là: C
Câu 18: Tìm x biết (5x3 - 4x2 + 3x + 3) - (4-x - 4x2 + 5x3) = 5
Lời giải:
Đáp án cần chọn là: A
Câu 19: Xác định P(x) = ax2 + bx + c biết P(1) = 0;P(-1) = 6;P(2) = 3
Lời giải:
Thay x = 1 vào P(x) = a x 2 + bx + c ta được:
P(1) = a. 1 2 + b.1 + c = A + B + C
Mà P(1) = 0 suy ra A + B + C hay a + c = -b (1)
Thay x = -1 vào P(x) = a x 2 + bx + c ta được:
P(-1) = a.(-1)2 + b.(-1) + c = a - b + C
Mà P (-1) = 6 suy ra a-B + C =6 hay a + c = 6 + b (2)
Thay x = 2 vào P(x) = a x 2 + bx + c ta được:
P(2) = a. 22 + b.2 + c = 4a + 2B + C
Mà P(2) = 3 suy ra 4a + 2B + C = 3(3)
Từ (1),(2) ta có -b = 6 + b ⇒ -2b = 6 ⇒ b = -3
Thay b = -3 vào (1) ta được: a + c = 3 ⇒ c = 3-a (4)
Thay b = -3 vào (3) ta được (5)
Từ (4),(5) ta có:
3-a = 9-4a ⇒ -a + 4a = 9-3 ⇒ 3a = 6 ⇒ a = 2
Thay a = 2 vào (4) ta được c = 3 - 2 = 1
Vậy P(x) = 2x2 - 3x + 1
Đáp án cần chọn là: C
Câu 20: Tìm f(x) biết f(x) + g(x) = 6x4 - 3x2 - 5 và g(x) = 4x4 - 6x3 + 7x2 + 8x-8
Lời giải:
Ta có:
f(x) + g(x) = 6x4 - 3x2 - 5 ⇒ f(x) = (6x4 - 3x2 - 5) - g(x)
⇒ f(x) = 6x4 - 3x2 - 5-(4x4 - 6x3 + 7x2 + 8x - 8)
= 6x4 - 3x2 - 5 - 4x4 + 6x3 - 7x2 - 8x + 8
= (6x4 - 4x4)+6x3 + (-3x2 - 7x2)-8x + (-5 + 8)
= 2x4 + 6x3 - 10x2 - 8x + 3
Đáp án cần chọn là: A
Câu 21: Cho f(x) = x2n - x2n-1 + ... + x2 - x + 1; g(x) = -x2n+1 + x2n - x2n-1 + ... + x2 - x + 1
Lời giải:
Ta có:
h(x) = f(x) - g(x)
= (x2n - x2n-1 + ... + x2 - x + 1) - (-x2n+1 + x2n - x2n-1 + ... + x2 - x + 1)
= x2n - x2n-1 + ... + x2 - x + 1 + x2n+1 - x2n + x2n-1 - ...-x2 + x-1
= x2n+1 + (x2n - x2n) + (-x2n-1 + x2n-1) + ... . + (x2 - x2) + (-x + x) + (1-1)
= x2n+1
Thay vào h(x) ta được :
Đáp án cần chọn là: B
(199k) Học Toán 7 KNTTHọc Toán 7 CTSTHọc Toán 7 CD
Xem thêm các bài tập trắc nghiệm Toán lớp 7 chọn lọc, có đáp án chi tiết hay khác:
- Trắc nghiệm Cộng, trừ đa thức
- Trắc nghiệm Đa thức một biến
- Trắc nghiệm Nghiệm của đa thức một biến
- Bài tập ôn tập Chương 4 Đại Số 7
Lời giải bài tập lớp 7 sách mới:
- Giải bài tập Lớp 7 Kết nối tri thức
- Giải bài tập Lớp 7 Chân trời sáng tạo
- Giải bài tập Lớp 7 Cánh diều
Tủ sách VIETJACK shopee lớp 6-8 (2025):
Đã có app VietJack trên điện thoại, giải bài tập SGK, SBT Soạn văn, Văn mẫu, Thi online, Bài giảng....miễn phí. Tải ngay ứng dụng trên Android và iOS.
Theo dõi chúng tôi miễn phí trên mạng xã hội facebook và youtube:Loạt bài Lý thuyết - Bài tập Toán lớp 7 có đầy đủ Lý thuyết và các dạng bài có lời giải chi tiết được biên soạn bám sát nội dung chương trình sgk Đại số 7 và Hình học 7.
Nếu thấy hay, hãy động viên và chia sẻ nhé! Các bình luận không phù hợp với nội quy bình luận trang web sẽ bị cấm bình luận vĩnh viễn.
- Giải Tiếng Anh 7 Global Success
- Giải Tiếng Anh 7 Friends plus
- Giải sgk Tiếng Anh 7 Smart World
- Giải Tiếng Anh 7 Explore English
- Lớp 7 - Kết nối tri thức
- Soạn văn 7 (hay nhất) - KNTT
- Soạn văn 7 (ngắn nhất) - KNTT
- Giải sgk Toán 7 - KNTT
- Giải sgk Khoa học tự nhiên 7 - KNTT
- Giải sgk Lịch Sử 7 - KNTT
- Giải sgk Địa Lí 7 - KNTT
- Giải sgk Giáo dục công dân 7 - KNTT
- Giải sgk Tin học 7 - KNTT
- Giải sgk Công nghệ 7 - KNTT
- Giải sgk Hoạt động trải nghiệm 7 - KNTT
- Giải sgk Âm nhạc 7 - KNTT
- Lớp 7 - Chân trời sáng tạo
- Soạn văn 7 (hay nhất) - CTST
- Soạn văn 7 (ngắn nhất) - CTST
- Giải sgk Toán 7 - CTST
- Giải sgk Khoa học tự nhiên 7 - CTST
- Giải sgk Lịch Sử 7 - CTST
- Giải sgk Địa Lí 7 - CTST
- Giải sgk Giáo dục công dân 7 - CTST
- Giải sgk Công nghệ 7 - CTST
- Giải sgk Tin học 7 - CTST
- Giải sgk Hoạt động trải nghiệm 7 - CTST
- Giải sgk Âm nhạc 7 - CTST
- Lớp 7 - Cánh diều
- Soạn văn 7 (hay nhất) - Cánh diều
- Soạn văn 7 (ngắn nhất) - Cánh diều
- Giải sgk Toán 7 - Cánh diều
- Giải sgk Khoa học tự nhiên 7 - Cánh diều
- Giải sgk Lịch Sử 7 - Cánh diều
- Giải sgk Địa Lí 7 - Cánh diều
- Giải sgk Giáo dục công dân 7 - Cánh diều
- Giải sgk Công nghệ 7 - Cánh diều
- Giải sgk Tin học 7 - Cánh diều
- Giải sgk Hoạt động trải nghiệm 7 - Cánh diều
- Giải sgk Âm nhạc 7 - Cánh diều


Giải bài tập SGK & SBT
Tài liệu giáo viên
Sách
Khóa học
Thi online
Hỏi đáp

