Bài tập trắc nghiệm Đa thức một biến lớp 7 (có đáp án)
Bài tập trắc nghiệm Đa thức một biến lớp 7 (có đáp án)
(199k) Học Toán 7 KNTTHọc Toán 7 CTSTHọc Toán 7 CD
Câu 1: Đa thức nào dưới đây là đa thức một biến
Lời giải:
Đa thức x3 - 2x2 + 3 là đa thức một biến
Đáp án cần chọn là: B
Câu 2: Đa thức nào dưới đây là đa thức một biến
Lời giải:
Đa thức là đa thức một biến
Đáp án cần chọn là: A
Câu 3: Sắp xếp đa thức 6x3 + 5x4 - 8x6 - 3x2 + 4 theo lũy thừa giảm dần của biến ta được:
Lời giải:
Ta có: 6x3 + 5x4 - 8x6 - 3x2 + 4 = -8x6 + 5x4 + 6x3 - 3x2 + 4
Đáp án cần chọn là: A
Câu 4: Sắp xếp đa thức 1-7x7 + 5x4 - 3x5 + 9x6 theo lũy thừa giảm dần của biến ta được:
Lời giải:
Ta có:
1-7x7 + 5x4 - 3x5 + 9x6 = -7x7 + 8x6 - 3x5 + 5x4 + 1
Đáp án cần chọn là: A
Câu 5: Sắp xếp đa thức 7x12 - 8x10 + x11 - x5 + 6x6 + x-10 theo lũy thừa tăng dần của biến ta được:
Lời giải:
Ta có:
7x12 - 8x10 + x11 - x5 + 6x6 + x-10 = -10+x - x5 + 6x6 - 8x10 + x11 + 7x12
Đáp án cần chọn là: D
Câu 6: Sắp xếp đa thức -y4 + y7 - 3y2 + 8y5 - y theo lũy thừa tăng dần của biến ta được:
Lời giải:
Ta có:
-y4 + y7 - 3y2 + 8y5 - y = -y - 3y2 - y4 + 8y5 + y7
Đáp án cần chọn là: D
Câu 7: Cho a, b, c là hằng số, hệ số tự do của đa thức x2 + (A + B)x - 5a + 3b + 2 là
Lời giải:
Hệ số tự do của đa thức x2 + (A + B)x - 5a + 3b + 2 là -5a + 3a + 2
Đáp án cần chọn là: B
Câu 8: Cho a, b là hằng số, hệ số tự do của đa thức x3 - 7(a+1)x2 - a2 + b2 - ab + 3 là
A. a2 + b2 - ab + 3
B. -a2 + b2 - ab + 3
C. 3
D. -ab + 3
Lời giải:
Hệ số tự do của đa thức x3 - 7(a+1)x2 - a2 + b2 - ab + 3 là -a2 + b2 - ab + 3
Đáp án cần chọn là: B
Câu 9: Hệ số cao nhất của đa thức 5x6 + 6x5 + x4 - 3x2 + 7
A. 6
B. 7
C. 4
D. 5
Lời giải:
Hệ số cao nhất của đa thức 5x6 + 6x5 + x4 - 3x2 + 7 là 5
Đáp án cần chọn là: D
Câu 10: Hệ số cao nhất của đa thức -7x5 - 9x2 + x6 - x4 + 10
A. -7
B. -1
C. 10
D. 1
Lời giải:
Ta có: -7x5 - 9x2 + x6 - x4 + 10= x6 - 7x5 - x4 - 9x2 + 10
Hệ số cao nhất của đa thức đã cho là 1
Đáp án cần chọn là: D
Câu 11:Cho đa thức A = x4 - 4x3 + x-3x2 + 1. Tính giá trị của A tại x = -2
A. A = -35
B. A = 53
C. A = 33
D. A = 35
Lời giải:
Thay x = -2 vào biểu thức A ta có:
Vậy với x = -2 thì A =35
Đáp án cần chọn là: D
Câu 12: Cho đa thức -3x2 + 5x6 - 7x. Tính giá trị của A tại x = -1
A. A = -9
B. A = -15
C. A = -5
D. A = 9
Lời giải:
Thay x = -1 vào đa thức A ta được:
A = -3.(-1)2 + 5.(-1)6 - 7.(-1) = -3+5+7=9
Vậy với x = -1 thì A = 9
Đáp án cần chọn là: D
Câu 13: Cho hai đa thức f(x) = x5 + 2 và g(x) = 5x3 - 4x+2
13.1: So sánh f(0) và g(1)
Lời giải:
Ta có:
Đáp án cần chọn là: C
13.2: Chọn câu đúng về f (-2) và g(-2)
Lời giải:
Ta có:
Đáp án cần chọn là: A
Câu 14: Cho hai đa thức f(x) = 3x4 - 1 và g(x) = 5x4 - 3x3 + 2x
14.1: Chọn câu đúng về f(2) và g(2)
Lời giải:
Đáp án cần chọn là: C
14.2: So sánh f(0) và g(0)
Lời giải:
Đáp án cần chọn là: C
Câu 15: Cho f(x) = 1 + x3 + x5 + x7 + ... +x101. Tính f(1); f(-1)
Lời giải:
Đáp án cần chọn là: B
Câu 16: Cho f(x) = 1 + x2 + x4 + x6 + ... + x2020. Tính f(1); f(-1)
Lời giải:
Đáp án cần chọn là: B
Câu 17: Bậc của đa thức 8x8 - x2 + x9 + x5 - 12x3 + 10 là
A. 10
B. 8
C. 9
D. 7
Lời giải:
Ta có số mũ cao nhất của biến trong đa thức
8x8 - x2 + x9 + x5 - 12x3 + 10 là 9 nên bậc của đa thức 8x8 - x2 + x9 + x5 - 12x3 + 10 là 9
Đáp án cần chọn là: C
Câu 18: Bậc của đa thức 9x2 + x7 - x5 + 1 là:
A. 14
B. 9
C. 5
D. 7
Lời giải:
Ta có số mũ cao nhất của biến trong đa thức
9x2 + x7 - x5 + 1 là 7 nên bậc của đa thức 9x2 + x7 - x5 + 1 là 7
Đáp án cần chọn là: D
Câu 19: Tính đa thức f(x) = ax+b. Biết f(0) = 7;f(2) = 13
Lời giải:
Đáp án cần chọn là: D
Câu 20: Tính đa thức f(x) = ax+b. Biết f(0) = 4;f(3) = 12
Lời giải:
Đáp án cần chọn là: C
Câu 21: Tính đa thức f(x) = ax+b. Biết
Lời giải:
Đáp án cần chọn là: A
Câu 22: Tính đa thức f(x) = ax+b. Biết f(2) = 4;f(1) = 3
Lời giải:
Đáp án cần chọn là: A
Câu 23: Cho hai đa thức f(x) = 3x3 + 2ax2 + ax - 5 và g(x) = x2 + 3ax-4. Tìm a để f(1) = g(-1)
Lời giải:
Đáp án cần chọn là: D
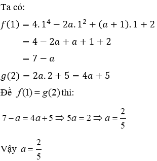
Câu 24: Cho hai đa thức f(x) = 4x4 - 2ax2 + (a+1)x+2 và g(x) = 2ax+5. Tìm a để f(1) = g(2)
Lời giải:
Đáp án cần chọn là: D
Câu 25: Xác định hệ số a của đa thức Q(x) = 3ax+5 biết Q(-1) = 3
Lời giải:
Đáp án cần chọn là: B
Câu 26: Cho f(x) = ax3 + 4x(x2 - 1)+8; g(x) = x3 - 4x(bx + 1)+x-5 với a, b, c là hằng số. Xác định a, b, c để f(x) = g(x)
Lời giải:
Đáp án cần chọn là: A
Câu 27: Tìm a biết rằng đa thức (a+1)x4 - 4x3 + x4 - 3x2 + x có bậc là 3
A. a = -2
B. a = -1
C. a = 1
D. a = 2
Lời giải:
Để đa thức đã cho có bậc là 3 thì a + 2 = 0 ⇒ A = -2
Vậy a = -2
Đáp án cần chọn là: A
Câu 28: Tìm a,b biết rằng đa thức x3 + x2 - x + (2a - 3)x5 - 3b - 1 có hệ số cao nhất là 3 và hệ số tự do bằng 8
Lời giải:
Hệ số cao nhất của đa thức đã cho là 2a - 3 nên
2a - 3 = 3 ⇒ 2a = 6 ⇒ a = 3
Hệ số tự do của đa thức đã cho là -3b - 1 nên
-3a - 1 = 8 ⇒ -3a = 9 ⇒ b = -3
Vậy a = 3; b = -3
Đáp án cần chọn là: D
Câu 29: Cho P(x) = 100x100 + 99x99 + 98x98 + ... + 2x2 + x. Tính P(-1)
A. P(-1) = -50
B. P(-1) = 100
C. P(-1) = 50
D. P(-1) = 5050
Lời giải:
Thay x = -1 vào P(x) = 100x100 + 99x99 + 98x98 + ... + 2x2 + x ta được:
Vậy P(-1) = 50
Đáp án cần chọn là: C
Câu 30: Cho f(x) = x99 - 101x98 + 101x97 - 101x96 + ... +101x - 1. Tính f(100)
A. f(100) = -1
B. f(100) = 99
C. f(100) = -99
D. f(100) = 100
Lời giải:
Ta có:
f(x) = x99 - 101x98 + 101x97 - 101x96 + ... +101x - 1
= x99 - (100+1)x98 + (100+1)x97 - (100+1)x96 + ... -(100+1)x2 + (100+1)x - 1
= x99 - 100x98 - x98 + 100x97 + ... -100x2 - x2 + 100x + x - 1
= (x99 - 100x98) - (x98 - 100x97) + ... -(x2 - 100x) + x - 1
Thay x = 100 vào f(x) ta được:
f(100) = (10099 - 100.10098) - (10098 - 100.10097) + ... - (1002 - 100.100) + 100 - 1
= (10099 - 10099) - (10098 - 10098) + ... -(1002 - 1002) + 99
= 99
Vậy f(100) = 99
Đáp án cần chọn là: B
(199k) Học Toán 7 KNTTHọc Toán 7 CTSTHọc Toán 7 CD
Xem thêm các bài tập trắc nghiệm Toán lớp 7 chọn lọc, có đáp án chi tiết hay khác:
- Trắc nghiệm Cộng, trừ đa thức
- Trắc nghiệm Cộng, trừ đa thức một biến
- Trắc nghiệm Nghiệm của đa thức một biến
- Bài tập ôn tập Chương 4 Đại Số 7
Lời giải bài tập lớp 7 sách mới:
- Giải bài tập Lớp 7 Kết nối tri thức
- Giải bài tập Lớp 7 Chân trời sáng tạo
- Giải bài tập Lớp 7 Cánh diều
Tủ sách VIETJACK shopee lớp 6-8 (2025):
Đã có app VietJack trên điện thoại, giải bài tập SGK, SBT Soạn văn, Văn mẫu, Thi online, Bài giảng....miễn phí. Tải ngay ứng dụng trên Android và iOS.
Theo dõi chúng tôi miễn phí trên mạng xã hội facebook và youtube:Loạt bài Lý thuyết - Bài tập Toán lớp 7 có đầy đủ Lý thuyết và các dạng bài có lời giải chi tiết được biên soạn bám sát nội dung chương trình sgk Đại số 7 và Hình học 7.
Nếu thấy hay, hãy động viên và chia sẻ nhé! Các bình luận không phù hợp với nội quy bình luận trang web sẽ bị cấm bình luận vĩnh viễn.
- Giải Tiếng Anh 7 Global Success
- Giải Tiếng Anh 7 Friends plus
- Giải sgk Tiếng Anh 7 Smart World
- Giải Tiếng Anh 7 Explore English
- Lớp 7 - Kết nối tri thức
- Soạn văn 7 (hay nhất) - KNTT
- Soạn văn 7 (ngắn nhất) - KNTT
- Giải sgk Toán 7 - KNTT
- Giải sgk Khoa học tự nhiên 7 - KNTT
- Giải sgk Lịch Sử 7 - KNTT
- Giải sgk Địa Lí 7 - KNTT
- Giải sgk Giáo dục công dân 7 - KNTT
- Giải sgk Tin học 7 - KNTT
- Giải sgk Công nghệ 7 - KNTT
- Giải sgk Hoạt động trải nghiệm 7 - KNTT
- Giải sgk Âm nhạc 7 - KNTT
- Lớp 7 - Chân trời sáng tạo
- Soạn văn 7 (hay nhất) - CTST
- Soạn văn 7 (ngắn nhất) - CTST
- Giải sgk Toán 7 - CTST
- Giải sgk Khoa học tự nhiên 7 - CTST
- Giải sgk Lịch Sử 7 - CTST
- Giải sgk Địa Lí 7 - CTST
- Giải sgk Giáo dục công dân 7 - CTST
- Giải sgk Công nghệ 7 - CTST
- Giải sgk Tin học 7 - CTST
- Giải sgk Hoạt động trải nghiệm 7 - CTST
- Giải sgk Âm nhạc 7 - CTST
- Lớp 7 - Cánh diều
- Soạn văn 7 (hay nhất) - Cánh diều
- Soạn văn 7 (ngắn nhất) - Cánh diều
- Giải sgk Toán 7 - Cánh diều
- Giải sgk Khoa học tự nhiên 7 - Cánh diều
- Giải sgk Lịch Sử 7 - Cánh diều
- Giải sgk Địa Lí 7 - Cánh diều
- Giải sgk Giáo dục công dân 7 - Cánh diều
- Giải sgk Công nghệ 7 - Cánh diều
- Giải sgk Tin học 7 - Cánh diều
- Giải sgk Hoạt động trải nghiệm 7 - Cánh diều
- Giải sgk Âm nhạc 7 - Cánh diều


Giải bài tập SGK & SBT
Tài liệu giáo viên
Sách
Khóa học
Thi online
Hỏi đáp

