Cách giải bài toán tìm x lớp 7 (cực hay, chi tiết)
Bài viết Cách giải bài toán tìm x lớp 7 với phương pháp giải chi tiết giúp học sinh ôn tập, biết cách làm bài tập Cách giải bài toán tìm x.
Cách giải bài toán tìm x lớp 7 (cực hay, chi tiết)
(199k) Xem Khóa học Toán 7 KNTTXem Khóa học Toán 7 CTSTXem Khóa học Toán 7 CD
A. Phương pháp giải
- Áp dụng quy tắc chuyển vế (chuyển vế đổi dấu) để chuyển các số hạng chứa x về một vế, các số hạng tự do về một vế
- Thực hiện các phép tính toán, rồi tìm x
- Chú ý: Một tích bằng không khi một trong các thừa số bằng 0
A . B = 0 khi A = 0 hoặc B = 0
B. Ví dụ minh họa
Ví dụ 1: Tìm x, biết
Lời giải:
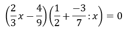
Ví dụ 2: Tìm x
Lời giải:
C. Bài tập vận dụng
Câu 1. Cho . Giá trị của x là
Lời giải:
Đáp án A
Câu 2. Giá trị của x thỏa mãn là:
Lời giải:
Đáp án B
Câu 3. Tìm x, biết
A. x = 2
B. x = 3
C. x = 4
D. x = 5
Lời giải:
Đáp án C
Câu 4. Tìm x, biết
Lời giải:
Đáp án A
Câu 5. Giá của của x thỏa mãn là
A. x = 66
B. x = -66
C. x = 0
D. x = 1
Lời giải:
Nhận xét: các tử số là dãy tăng dần với khoảng cách là 2 đơn vị, mẫu số là dãy giảm dần với khoảng cách cũng là 2 đơn vị.
Phương pháp làm bài: cộng thêm 1 vào các hạng tử.
Do đó x + 66 = 0 ⇒ x = -66
Đáp án B
Câu 6. Cho thì x = ?
A. x = 2004
B. x = -2004
C. x = 4
D. x = 0
Lời giải:
Phương pháp làm bài: trừ đi 1 vào các hạng tử
Do đó x – 2004 = 0 ⇒ x = 2004
Đáp án A
Câu 7. Các giá trị của x thỏa mãn
Lời giải:
Nhận xét: bài bày có dạng A . B = 0
Mà A . B = 0 khi A = 0 hoặc B = 0 (lý thuyết)
Vậy thỏa mãn yêu cầu bài toán.
Đáp án B
Câu 8. Tìm x biết
Lời giải:
Đáp án C
Câu 9. Tìm x thỏa mãn: (2x – 3) - (x – 5) = (x + 2) – (x – 1)
A. x = 1
B. x = 0
C. x = 9
D. x = 5
Lời giải:
Ta có:
(2x – 3) - (x – 5) = (x + 2) – (x – 1)
⇔ 2x – 3 – x + 5 = x + 2 – x + 1
⇔ 2x – x – x + x = 2 + 1 + 3 – 5
⇔ x = 1
Vậy x = 1.
Đáp án A
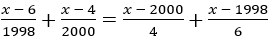
Câu 10. Có bao nhiêu số nguyên x thỏa mãn:
A. 0
B. 1
C. 2
D. 3
Lời giải:
Vì x là số nguyên nên x ∈ {2; 3; 4}
Vậy có 3 giá trị của x thỏa mãn yêu cầu bài toán.
Đáp án D
D. Bài tập tự luyện
Bài 1. Tìm x:
a)
b)
c) 2x – 1 = 16;
d) (x – 1)2 = 25.
Bài 2.
a)
b)
c)
d)
Bài 3. Tìm x
a)
b)
c)
d)
Bài 4. Tìm x
a)
b)
c)
d)
Bài 5. Tìm x
a)
b)
c)
(199k) Xem Khóa học Toán 7 KNTTXem Khóa học Toán 7 CTSTXem Khóa học Toán 7 CD
Xem thêm các dạng bài tập Toán lớp 7 chọn lọc, có đáp án hay khác:
- Cách tính giá trị biểu thức số hữu tỉ lớp 7 cực hay, chi tiết
- Cách tính tổng dãy số hữu tỉ có quy luật cực hay, chi tiết
- Cách tính giá trị tuyệt đối của một số hữu tỉ cực hay, chi tiết
- Tìm một số khi biết giá trị tuyệt đối của số đó cực hay, chi tiết
- Cách tìm giá trị lớn nhất, nhỏ nhất của biểu thức chứa dấu giá trị tuyệt đối cực hay
Lời giải bài tập lớp 7 sách mới:
- Giải bài tập Lớp 7 Kết nối tri thức
- Giải bài tập Lớp 7 Chân trời sáng tạo
- Giải bài tập Lớp 7 Cánh diều
Tủ sách VIETJACK shopee lớp 6-8 (2025):
Đã có app VietJack trên điện thoại, giải bài tập SGK, SBT Soạn văn, Văn mẫu, Thi online, Bài giảng....miễn phí. Tải ngay ứng dụng trên Android và iOS.
Theo dõi chúng tôi miễn phí trên mạng xã hội facebook và youtube:Loạt bài Lý thuyết - Bài tập Toán lớp 7 có đầy đủ Lý thuyết và các dạng bài có lời giải chi tiết được biên soạn bám sát nội dung chương trình sgk Đại số 7 và Hình học 7.
Nếu thấy hay, hãy động viên và chia sẻ nhé! Các bình luận không phù hợp với nội quy bình luận trang web sẽ bị cấm bình luận vĩnh viễn.
- Giải Tiếng Anh 7 Global Success
- Giải Tiếng Anh 7 Friends plus
- Giải sgk Tiếng Anh 7 Smart World
- Giải Tiếng Anh 7 Explore English
- Lớp 7 - Kết nối tri thức
- Soạn văn 7 (hay nhất) - KNTT
- Soạn văn 7 (ngắn nhất) - KNTT
- Giải sgk Toán 7 - KNTT
- Giải sgk Khoa học tự nhiên 7 - KNTT
- Giải sgk Lịch Sử 7 - KNTT
- Giải sgk Địa Lí 7 - KNTT
- Giải sgk Giáo dục công dân 7 - KNTT
- Giải sgk Tin học 7 - KNTT
- Giải sgk Công nghệ 7 - KNTT
- Giải sgk Hoạt động trải nghiệm 7 - KNTT
- Giải sgk Âm nhạc 7 - KNTT
- Lớp 7 - Chân trời sáng tạo
- Soạn văn 7 (hay nhất) - CTST
- Soạn văn 7 (ngắn nhất) - CTST
- Giải sgk Toán 7 - CTST
- Giải sgk Khoa học tự nhiên 7 - CTST
- Giải sgk Lịch Sử 7 - CTST
- Giải sgk Địa Lí 7 - CTST
- Giải sgk Giáo dục công dân 7 - CTST
- Giải sgk Công nghệ 7 - CTST
- Giải sgk Tin học 7 - CTST
- Giải sgk Hoạt động trải nghiệm 7 - CTST
- Giải sgk Âm nhạc 7 - CTST
- Lớp 7 - Cánh diều
- Soạn văn 7 (hay nhất) - Cánh diều
- Soạn văn 7 (ngắn nhất) - Cánh diều
- Giải sgk Toán 7 - Cánh diều
- Giải sgk Khoa học tự nhiên 7 - Cánh diều
- Giải sgk Lịch Sử 7 - Cánh diều
- Giải sgk Địa Lí 7 - Cánh diều
- Giải sgk Giáo dục công dân 7 - Cánh diều
- Giải sgk Công nghệ 7 - Cánh diều
- Giải sgk Tin học 7 - Cánh diều
- Giải sgk Hoạt động trải nghiệm 7 - Cánh diều
- Giải sgk Âm nhạc 7 - Cánh diều


Giải bài tập SGK & SBT
Tài liệu giáo viên
Sách
Khóa học
Thi online
Hỏi đáp

