Tìm một số khi biết giá trị tuyệt đối của số đó lớp 7 (cực hay, chi tiết)
Bài viết Tìm một số khi biết giá trị tuyệt đối của số đó lớp 7 với phương pháp giải chi tiết giúp học sinh ôn tập, biết cách làm bài tập Tìm một số khi biết giá trị tuyệt đối của số đó.
Tìm một số khi biết giá trị tuyệt đối của số đó lớp 7 (cực hay, chi tiết)
(199k) Xem Khóa học Toán 7 KNTTXem Khóa học Toán 7 CTSTXem Khóa học Toán 7 CD
A. Phương pháp giải
- Loại 1: |x| = a
+) Nếu a < 0, thì không có x thỏa mãn |x| = a, do |x| ≥ 0
+) Nếu a = 0, thì |x| = 0 ⇒ x = 0
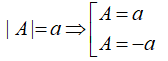
+) Nếu a > 0, thì |x| = a ⇒
⇒ Tổng quát: |A| = a, với a là hằng số dương và A là biểu thức chứa x
- Loại 2: |A| = B. với A và B là các biểu thức chứa x
Các bước giải
+) Tìm điều kiện: B ≥ 0
+) Chia hai trường hợp
TH1: A = B
TH2: A = - B
+) Giải ra x ở từng TH, đối chiếu điều kiện và kết luận.
- Loại 3: |A| = |B| hay |A| - |B| = 0 với A, B là các biểu thức chứa x
- Loại 4: |A| + |B| = 0 với A, B là các biểu thức chứa x
Ta tìm x thỏa mãn cả hai điều kiện
A = 0 và B = 0
B. Ví dụ minh họa
Ví dụ 1: Tìm x, biết
Lời giải:
Ví dụ 2: Tìm x, biết
a) |9 – 7x| = 5x – 3
b) 8x - |4x + 1| = x + 2
Lời giải:
b) 8x - |4x + 1| = x + 2 (1)
Nhận xét: bài này chưa có dạng |A| = B. ta chuyển vế đưa về dạng quen.
(1) ⇒ |4x + 1| = 8x – (x + 2)
⇒ |4x + 1| = 7x – 2
Điều kiện:
Ví dụ 3: Tìm x, biết
a) |17x – 5| - |17x + 5| = 0
b) 2|2x – 9| = |3x + 4|
Lời giải:
a) |17x – 5| - |17x + 5| = 0
⇒ |17x – 5| = |17x + 5|
TH1: 17x – 5 = 17x + 5
17x – 17x = 5 + 5
0 = 10 vô lý
Suy ra không tồn tại x thỏa mãn
TH2: 17x – 5 = -(17x + 5)
17x – 5 = -17x – 5
17x + 17x = - 5 + 5
34x = 0
x = 0
Vậy x = 0.
b) 2|2x – 9| = |3x + 4|
Nhận xét: bài này có dạng 2|A| = |B|, có thêm thừa số 2 ở bên ngoài dấu trị tuyệt đối, ta vẫn làm một cách bình thường theo lý thuyết, chia hai trường hợp.
TH1: 2(2x – 9) = 3x + 4
4x – 18 = 3x + 4
4x – 3x = 4 + 18
x = 22
TH2: 2(2x – 9) = -(3x + 4)
4x – 18 = -3x – 4
4x + 3x = -4 + 18
7x = 14
x = 14 : 7
x = 2
Vậy x = 22 và x = 2.
Ví dụ 4: Tìm x thỏa mãn: |x + 3,5| + |x – 4,5| = 0
Lời giải:
Ta có: |x + 3,5| + |x – 4,5| = 0
điều này không thể xảy ra đồng thời.
Vậy không tồn tại x thỏa mãn bài toán.
C. Bài tập vận dụng
Câu 1. Số hữu tỉ x thỏa mãn |x| = và x < 0 là:
A. x = ; x = -
B. x = -
C. x =
D. không có x
Lời giải:
Đáp án B
Câu 2. Tìm x, biết |2,5 – x| = 1,5
A. x = 1 và x = 4
C. x = -1 và x = 4
B. x = 1 và x = -4
D. x = 1
Lời giải:
Ta có: |2,5 – x| = 1,5
Vì 1,5 > 0 nên ta chia 2 trường hợp
Đáp án A
Câu 3. Tìm được bao nhiêu số x thỏa mãn |1 – x| + |x – 1000| = 0
A. Một số
B. Hai số
C. Ba số
D. Không có số nào
Lời giải:
Ta có: |1 – x| + |x – 1000| = 0
. Điều này không thể đồng thời xảy ra
Vậy không có x thỏa mãn yêu cầu bài toán.
Đáp án D
Câu 4. Tìm tất cả các giá trị của x thỏa mãn |2x + 8| = |10 – 5x|
A. x = - 6
B. x =
C. cả A và B đúng
D. không có x
Lời giải:
Ta có: |2x + 8| = |10 – 5x|
Đáp án C
Câu 5. Khẳng định nào sau đây đúng về số giá trị của x thỏa mãn:
A. Có 1 giá trị của x
B. Có 2 giá trị của x
C. Không có giá trị nào của x
D. Có 3 giá trị của x
Lời giải:
Đáp án B
Câu 6. Tìm x, biết:
Lời giải:
Vậy không có x thỏa mãn yêu cầu.
Đáp án D
Câu 7. Số giá trị của x thỏa mãn: |x(x – 4)| = x là
A. 1
B. 2
C. 3
D. 4
Lời giải:
Ta có: |x(x – 4)| = x
Điều kiện: x ≥ 0
Vậy x = 0; x = 3 và x = 5 thì thỏa mãn yêu cầu.
Đáp án C
Câu 8. Tìm x, biết: |x2 – 3x| + |(x + 1)(x – 3)| = 0
A. x = 3
B. x = 3; x = -1
C. x = 0
D. x = - 1
Lời giải:
Đáp án A
Câu 9. Tìm cặp số (x; y) thỏa mãn: |x – y – 5| + |y + 3| = 0
A. (-3; 2)
B. (3; -2)
C. (2; -3)
D. (-2; 3)
Lời giải:
Ta có: |x – y – 5| + |y + 3| = 0
Suy ra
Thay y = - 3 vào x – y – 5 = 0 ta được: x – (-3) – 5 = 0
Suy ra x + 3 = 5 x = 5 – 3 = 2
Vậy (x; y) = (2; - 3).
Đáp án C
Câu 10. Tìm x, biết: |7 – 2x| + 7 = 2x
Lời giải:
Đáp án D
(199k) Xem Khóa học Toán 7 KNTTXem Khóa học Toán 7 CTSTXem Khóa học Toán 7 CD
Xem thêm các dạng bài tập Toán lớp 7 chọn lọc, có đáp án hay khác:
- Cách tính giá trị biểu thức số hữu tỉ lớp 7 cực hay, chi tiết
- Cách giải bài toán tìm x lớp 7 cực hay, chi tiết
- Cách tính tổng dãy số hữu tỉ có quy luật cực hay, chi tiết
- Cách tính giá trị tuyệt đối của một số hữu tỉ cực hay, chi tiết
- Cách tìm giá trị lớn nhất, nhỏ nhất của biểu thức chứa dấu giá trị tuyệt đối cực hay
Lời giải bài tập lớp 7 sách mới:
- Giải bài tập Lớp 7 Kết nối tri thức
- Giải bài tập Lớp 7 Chân trời sáng tạo
- Giải bài tập Lớp 7 Cánh diều
Tủ sách VIETJACK shopee lớp 6-8 (2025):
Đã có app VietJack trên điện thoại, giải bài tập SGK, SBT Soạn văn, Văn mẫu, Thi online, Bài giảng....miễn phí. Tải ngay ứng dụng trên Android và iOS.
Theo dõi chúng tôi miễn phí trên mạng xã hội facebook và youtube:Loạt bài Lý thuyết - Bài tập Toán lớp 7 có đầy đủ Lý thuyết và các dạng bài có lời giải chi tiết được biên soạn bám sát nội dung chương trình sgk Đại số 7 và Hình học 7.
Nếu thấy hay, hãy động viên và chia sẻ nhé! Các bình luận không phù hợp với nội quy bình luận trang web sẽ bị cấm bình luận vĩnh viễn.
- Giải Tiếng Anh 7 Global Success
- Giải Tiếng Anh 7 Friends plus
- Giải sgk Tiếng Anh 7 Smart World
- Giải Tiếng Anh 7 Explore English
- Lớp 7 - Kết nối tri thức
- Soạn văn 7 (hay nhất) - KNTT
- Soạn văn 7 (ngắn nhất) - KNTT
- Giải sgk Toán 7 - KNTT
- Giải sgk Khoa học tự nhiên 7 - KNTT
- Giải sgk Lịch Sử 7 - KNTT
- Giải sgk Địa Lí 7 - KNTT
- Giải sgk Giáo dục công dân 7 - KNTT
- Giải sgk Tin học 7 - KNTT
- Giải sgk Công nghệ 7 - KNTT
- Giải sgk Hoạt động trải nghiệm 7 - KNTT
- Giải sgk Âm nhạc 7 - KNTT
- Lớp 7 - Chân trời sáng tạo
- Soạn văn 7 (hay nhất) - CTST
- Soạn văn 7 (ngắn nhất) - CTST
- Giải sgk Toán 7 - CTST
- Giải sgk Khoa học tự nhiên 7 - CTST
- Giải sgk Lịch Sử 7 - CTST
- Giải sgk Địa Lí 7 - CTST
- Giải sgk Giáo dục công dân 7 - CTST
- Giải sgk Công nghệ 7 - CTST
- Giải sgk Tin học 7 - CTST
- Giải sgk Hoạt động trải nghiệm 7 - CTST
- Giải sgk Âm nhạc 7 - CTST
- Lớp 7 - Cánh diều
- Soạn văn 7 (hay nhất) - Cánh diều
- Soạn văn 7 (ngắn nhất) - Cánh diều
- Giải sgk Toán 7 - Cánh diều
- Giải sgk Khoa học tự nhiên 7 - Cánh diều
- Giải sgk Lịch Sử 7 - Cánh diều
- Giải sgk Địa Lí 7 - Cánh diều
- Giải sgk Giáo dục công dân 7 - Cánh diều
- Giải sgk Công nghệ 7 - Cánh diều
- Giải sgk Tin học 7 - Cánh diều
- Giải sgk Hoạt động trải nghiệm 7 - Cánh diều
- Giải sgk Âm nhạc 7 - Cánh diều


Giải bài tập SGK & SBT
Tài liệu giáo viên
Sách
Khóa học
Thi online
Hỏi đáp

