Cách tìm chữ số tận cùng của lũy thừa lớp 7 (cực hay, chi tiết)
Bài viết Cách tìm chữ số tận cùng của lũy thừa lớp 7 với phương pháp giải chi tiết giúp học sinh ôn tập, biết cách làm bài tập Cách tìm chữ số tận cùng của lũy thừa.
Cách tìm chữ số tận cùng của lũy thừa lớp 7 (cực hay, chi tiết)
(199k) Xem Khóa học Toán 7 KNTTXem Khóa học Toán 7 CTSTXem Khóa học Toán 7 CD
A. Phương pháp giải
Nắm vững các nhận xét sau để làm bài
- Tất cả các số có chữ số tận cùng là: 0; 1; 5; 6 nâng lên lũy thừa nào (khác 0) cũng có chữ số tận cùng là chính những số đó.
- Để tìm chữ số tận cùng của một số ta thường đưa về dạng các số có chữ số tận cùng là một trong các chữ số đó.
- Lưu ý: những số có chữ số tận cùng là 4 nâng lên lũy thừa bậc chẵn sẽ có chữ số tận cùng là 6 và nâng lên lũy thừa bậc lẻ sẽ có chữ số tận cùng là 4. Những số có chữ số tận cùng là 9 nâng lên lũy thừa bậc chẵn sẽ có chữ số tận cùng là 1 và nâng lên lũy thừa bậc lẻ sẽ có chữ số tận cùng là 9.
- Chú ý : 24 = 16 34 = 81 74 = 2401 84 = 4096
- Tất cả các chữ số có tận cùng là là 01, 25, 76 nâng lên lũy thừa nào (khác 0) cũng tận cùng bằng chính nó.
- Các số 220; 410; 165; 65; 184; 242; 684; 742 có tận cùng là 76.
- Các số 320; 910; 815; 74; 512; 992 có tận cùng là 01.
- Số 5n (với n ∈ N , n > 0) có tận cùng là 25.
- Số 26n (với n ∈ N, n > 1) có tận cùng là 76.
B. Ví dụ minh họa
Ví dụ 1: Tìm chữ số tận cùng của các số sau:
20002020; 11112020; 987654321; 20464026
Lời giải:
Áp dụng nhận xét thứ nhất phần lý thuyết, ta có
Chữ số tận cùng của số 20002020 là 0 (Vì số 2000 có tận cùng là 0)
Chữ số tận cùng của số 11112020 là 1 (Vì số 1111 có tận cùng là 1)
Chữ số tận cùng của số 987654321 là 5 (Vì số 98765 có tận cùng là 5)
Chữ số tận cùng của số 20464026 là 6 (vì số 2046 có tận cùng là 6)
Ví dụ 2: Tìm hai chữ số tận cùng của: 2100
Lời giải:
Dựa vào nhận xét phần lý thuyết
Ta có:
(Số 220 có tận cùng là 76 và số có tận cùng là 76 thì nâng lên lũy thừa nào khác 0 cũng có tận cùng là 76)
C. Bài tập vận dụng
Câu 1. Số 12502020202 có tận cùng là chữ số
A. 0
B. 1
C. 2
D. 3
Lời giải:
Vì số 1250 có chữ số tận cùng là 0 nên nâng lên lũy thừa nào khác 0 cũng có tận cùng là 0
Do đó 12502020202 có tận cùng là chữ số 0.
Đáp án A
Câu 2. Hai chữ số tận cùng của số 3100 là
A. 00
B. 01
C. 02
D. 03
Lời giải:
Ta có:
(số 320 có tận cùng là 01 và số nào có hai chữ số tận cùng là 01 thì nâng lên lũy thừa nào khác 0 cũng có tận cùng là 01.
Đáp án B
Câu 3. Số 996 có chữ số tận cùng là:
A. 0
B. 1
C. 5
D. 6
Lời giải:
Ta có:
Vì số 81 có tận cùng là 1 nên 8148 cũng có tận cùng là 1 do số nào có chữ số tận cùng là 1 thì nâng lên lũy thừa nào khác 0 thì cũng có tận cùng là 1.
Đáp án B
Câu 4. Chữ số tận cùng của số 204208 là
A. 4
B. 6
C. 8
D. 0
Lời giải:
Ta có:
(số 41616 có tận cùng là 6 nên ta nâng lên lũy thừa nào khác 0 đều có tận cùng là 6).
Đáp án B
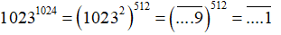
Câu 5. Số 1023208 có chữ số tận cùng là:
A. 1
B. 2
C. 7
D. 9
Lời giải:
Ta có:
(những số có tận cùng bằng 9 thì nâng lên lũy thừa bậc chẵn khác 0 có tận cùng là 1)
Đáp án A
Câu 6. Chữ số tận cùng của hiệu 8102 - 2102 là
A. 1
B. 2
C. 6
D. 0
Lời giải:
Ta có:
(số có chữ số tận cùng là 6 thì nâng lên lũy thừa nào khác 0 cũng có tận cùng là 6)
Lại có:
(số có chữ số tận cùng là 6 thì nâng lên lũy thừa nào khác 0 cũng có tận cùng là 6)
Suy ra
Vậy hiệu 8102 - 2102 có chữ số tận cùng là 0.
Đáp án D
Câu 7. Số 71991 có hai chữ số tận cùng là:
A. 01
B. 25
C. 43
D. 34
Lời giải:
Ta thấy: 74 = 2401 mà số nào có chữ số tận cùng là 01 thì nâng lên lũy thừa nào khác 0 cũng có tận cùng là 01, do đó ta có
Vậy số 71991 có hai chữ số tận cùng là 43.
Đáp án C
Câu 8. Hai chữ số tận cùng của số 51992 là:
A. 01
B. 25
C. 76
D. 52
Lời giải:
Ta có:
(số có tận cùng là 25 thì khi nâng lên lũy thừa nào khác 0 cũng có tận cùng bằng 25)
Đáp án B
Câu 9. Số 261570 có hai chữ số tận cùng là:
A. 01
B. 25
C. 76
D. 09
Lời giải:
Ta có:
(số nào có tận cùng là 76 thì nâng lên lũy thừa nào khác 0 cũng có tận cùng là 76)
Đáp án C
Câu 10. Tìm hai chữ số tận cùng của số 5151
A. 51
B. 25
C. 76
D. 01
Lời giải:
Vì 512 = 2601 mà số có tận cùng là 01 thì nâng lên lũy thừa nào khác 0 cũng có tận cùng là 01
Nên ta có:
Vậy hai chữ số tận cùng của số 5151 là 51.
Đáp án A
D. Bài tập tự luyện
Bài 1. Tìm chữ số tận cùng của các số
a) 22024;
b) 141414;
c) 4567.
Bài 2. Tìm chữ số tận cùng của tổng S = 21 + 35 + 49 + … + 20048009.
Bài 3. Tìm chữ số tận cùng của tổng T = 23 + 37 + 411 + … + 20048011.
Bài 4. Tồn tại hay không số tự nhiên n sao cho n2 + n + 1 chia hết cho 19952000.
Bài 5. Chứng minh rằng tổng sau không thể là số chính phương:
M = 19k + 5k + 1995k + 1996k (với k chẵn).
(199k) Xem Khóa học Toán 7 KNTTXem Khóa học Toán 7 CTSTXem Khóa học Toán 7 CD
Xem thêm các dạng bài tập Toán lớp 7 chọn lọc, có đáp án hay khác:
- Cách tìm giá trị lớn nhất, nhỏ nhất của biểu thức chứa dấu giá trị tuyệt đối cực hay
- Cách tìm cơ số, số mũ của lũy thừa của một số hữu tỉ cực hay, chi tiết
- Cách so sánh hai lũy thừa cực hay, chi tiết
- Cách tính biểu thức có lũy thừa cực hay, chi tiết
- Cách lập tỉ lệ thức từ các số đã cho cực hay, chi tiết
Lời giải bài tập lớp 7 sách mới:
- Giải bài tập Lớp 7 Kết nối tri thức
- Giải bài tập Lớp 7 Chân trời sáng tạo
- Giải bài tập Lớp 7 Cánh diều
Tủ sách VIETJACK shopee lớp 6-8 (2025):
Đã có app VietJack trên điện thoại, giải bài tập SGK, SBT Soạn văn, Văn mẫu, Thi online, Bài giảng....miễn phí. Tải ngay ứng dụng trên Android và iOS.
Theo dõi chúng tôi miễn phí trên mạng xã hội facebook và youtube:Loạt bài Lý thuyết - Bài tập Toán lớp 7 có đầy đủ Lý thuyết và các dạng bài có lời giải chi tiết được biên soạn bám sát nội dung chương trình sgk Đại số 7 và Hình học 7.
Nếu thấy hay, hãy động viên và chia sẻ nhé! Các bình luận không phù hợp với nội quy bình luận trang web sẽ bị cấm bình luận vĩnh viễn.
- Giải Tiếng Anh 7 Global Success
- Giải Tiếng Anh 7 Friends plus
- Giải sgk Tiếng Anh 7 Smart World
- Giải Tiếng Anh 7 Explore English
- Lớp 7 - Kết nối tri thức
- Soạn văn 7 (hay nhất) - KNTT
- Soạn văn 7 (ngắn nhất) - KNTT
- Giải sgk Toán 7 - KNTT
- Giải sgk Khoa học tự nhiên 7 - KNTT
- Giải sgk Lịch Sử 7 - KNTT
- Giải sgk Địa Lí 7 - KNTT
- Giải sgk Giáo dục công dân 7 - KNTT
- Giải sgk Tin học 7 - KNTT
- Giải sgk Công nghệ 7 - KNTT
- Giải sgk Hoạt động trải nghiệm 7 - KNTT
- Giải sgk Âm nhạc 7 - KNTT
- Lớp 7 - Chân trời sáng tạo
- Soạn văn 7 (hay nhất) - CTST
- Soạn văn 7 (ngắn nhất) - CTST
- Giải sgk Toán 7 - CTST
- Giải sgk Khoa học tự nhiên 7 - CTST
- Giải sgk Lịch Sử 7 - CTST
- Giải sgk Địa Lí 7 - CTST
- Giải sgk Giáo dục công dân 7 - CTST
- Giải sgk Công nghệ 7 - CTST
- Giải sgk Tin học 7 - CTST
- Giải sgk Hoạt động trải nghiệm 7 - CTST
- Giải sgk Âm nhạc 7 - CTST
- Lớp 7 - Cánh diều
- Soạn văn 7 (hay nhất) - Cánh diều
- Soạn văn 7 (ngắn nhất) - Cánh diều
- Giải sgk Toán 7 - Cánh diều
- Giải sgk Khoa học tự nhiên 7 - Cánh diều
- Giải sgk Lịch Sử 7 - Cánh diều
- Giải sgk Địa Lí 7 - Cánh diều
- Giải sgk Giáo dục công dân 7 - Cánh diều
- Giải sgk Công nghệ 7 - Cánh diều
- Giải sgk Tin học 7 - Cánh diều
- Giải sgk Hoạt động trải nghiệm 7 - Cánh diều
- Giải sgk Âm nhạc 7 - Cánh diều


Giải bài tập SGK & SBT
Tài liệu giáo viên
Sách
Khóa học
Thi online
Hỏi đáp

