Cách tìm cơ số, số mũ của lũy thừa của một số hữu tỉ lớp 7 (cực hay, chi tiết)
Bài viết Cách tìm cơ số, số mũ của lũy thừa của một số hữu tỉ lớp 7 với phương pháp giải chi tiết giúp học sinh ôn tập, biết cách làm bài tập Cách tìm cơ số, số mũ của lũy thừa của một số hữu tỉ.
Cách tìm cơ số, số mũ của lũy thừa của một số hữu tỉ lớp 7 (cực hay, chi tiết)
(199k) Xem Khóa học Toán 7 KNTTXem Khóa học Toán 7 CTSTXem Khóa học Toán 7 CD
A. Phương pháp giải
Một số tính chất cần nhớ
• Với: x, y ∈ Q; m, n ∈ N
• Quy ước: a1 = a; a0 = 1 (a ≠ 0)
Phương pháp giải
- Loại 1: Tìm cơ số, thành phần của cơ số trong lũy thừa
PP: Đưa về hai lũy thừa cùng số mũ
Chú ý: số mũ chẵn ta chia thành hai trường hợp, mũ lẻ chỉ có một trường hợp.
- Loại 2: Tìm số mũ, thành phần của số mũ trong lũy thừa
PP: Đưa về hai lũy thừa có cùng cơ số
B. Ví dụ minh họa
Ví dụ 1: Tìm x, biết
a) x3 = 27
b) (x – 2)2 = 16
Lời giải:
a) x3 = 27
Vì 27 = 33
Nên x3 = 33
x = 3
Vậy x = 3.
b) (x – 2)2 = 16
Vì 16 = 42 = (-4)2
Ví dụ 2: Tìm số tự nhiên n, biết
a) 2020n = 1
b) 5n + 5n + 2 = 650
Lời giải:
C. Bài tập vận dụng
Câu 1. Tìm số hữu tỉ x thỏa mãn x5 = x2
A. x = 0; x = 1
B. x = 1
C. x = 0
D. x = -1; x = 0
Lời giải:
Ta có: x5 = x2
⇒ x5 - x2 = 0
⇒ x2 + 3 - x2 = 0
⇒ x2.x3 - x2 = 0
⇒ x2.(x3 - 1) = 0
Vậy x = 0 và x = 1 thì thỏa mãn yêu cầu bài toán.
Đáp án A
Câu 2. Tìm x thỏa mãn (x - 5)2 = (1 - 3x)2
Lời giải:
Nhận xét: Bài này hai lũy thừa có số mũ giống nhau và bằng hai. Ta áp dụng tính chất: “Bình phương của hai lũy thừa bằng nhau khi hai cơ số bằng nhau hoặc đối nhau.”
Đáp án B
Câu 3. Có bao nhiêu số hữu tỉ y thỏa mãn: (3y - 1)10 = (3y - 1)20
A. 1
B. 2
C. 3
D. 4
Lời giải:
Ta có: (3y - 1)10 = (3y - 1)20 (1)
Đặt 3y – 1 = t thay vào (1) ta được: t10 = t20
⇒ t10 - t20 = 0
⇒ t10 - t10 + 10 = 0
⇒ t10 - t10.t10 = 0
⇒ t10(1 - t10 ) = 0
Đáp án C
Câu 4. Tìm x biết (2x - 1)3 = -8
A. x = 1
B. x = -1
C. x =
D. x = -
Lời giải:
Đáp án D
Câu 5. Tìm x và y biết: (3x - 5)100 + (2y + 1)200 ≤ 0
Lời giải:
Đáp án C
Câu 6. Tìm số tự nhiên n thỏa mãn 32-n.16n = 1024
A. n = 10
B. n = -10
C. n = 20
D. n = -20
Lời giải:
Áp dụng các công thức ở phần lý thuyết biến đổi về dạng hai lũy thừa cùng cơ số.
Đáp án B
Câu 7. Có bao nhiêu số tự nhiên n thỏa mãn 3 < 3n ≤ 243
A. 1
B. 2
C. 3
D. 4
Lời giải:
Đáp án D
Câu 8. Cho 3-1.3n + 5.3n - 1 = 162 thì
A. n = 4
B. n = 3
C. n = 2
D. không có n
Lời giải:
Đáp án A
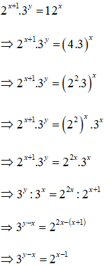
Câu 9. Tìm các số tự nhiên x và y biết rằng: 2x + 1.3y = 12x
A. x = y = 0
B. x = y = -1
C. x = y = 1
D. không có x và y
Lời giải:
⇒ y - x = x - 1 = 0 (do hai lũy thừa khác cơ số và a0 = 1 với mọi a)
Suy ra x = y = 1
Đáp án C
Câu 10. Cho 10x : 5y = 20y thì
A. x = y
B. x = - y
C. x = 2y
D. x = - 2y
Lời giải:
Vậy x = 2y thì thỏa mãn yêu cầu bài toán.
Đáp án C
D. Bài tập tự luyện
Bài 1. Tìm số tự nhiên n biết: .
Bài 2. Tìm x, biết:
a) x3 = 64;
b) (x – 5)2 = x – 5.
Bài 3. Tìm x, biết:
a) ;
b) .
Bài 4. Tìm các số nguyên x, n biết:
a) (2x – 5)4 = −81;
b) .
Bài 5. Tìm số nguyên dương n, biết rằng:
a) 32 < 2n < 128;
b) 2.16 ≥ 2n > 4;
c) 9.27 ≤ 3n ≤ 243.
(199k) Xem Khóa học Toán 7 KNTTXem Khóa học Toán 7 CTSTXem Khóa học Toán 7 CD
Xem thêm các dạng bài tập Toán lớp 7 chọn lọc, có đáp án hay khác:
- Cách tìm giá trị lớn nhất, nhỏ nhất của biểu thức chứa dấu giá trị tuyệt đối cực hay
- Cách tìm chữ số tận cùng của lũy thừa cực hay, chi tiết
- Cách so sánh hai lũy thừa cực hay, chi tiết
- Cách tính biểu thức có lũy thừa cực hay, chi tiết
- Cách lập tỉ lệ thức từ các số đã cho cực hay, chi tiết
Lời giải bài tập lớp 7 sách mới:
- Giải bài tập Lớp 7 Kết nối tri thức
- Giải bài tập Lớp 7 Chân trời sáng tạo
- Giải bài tập Lớp 7 Cánh diều
Tủ sách VIETJACK shopee lớp 6-8 (2025):
Đã có app VietJack trên điện thoại, giải bài tập SGK, SBT Soạn văn, Văn mẫu, Thi online, Bài giảng....miễn phí. Tải ngay ứng dụng trên Android và iOS.
Theo dõi chúng tôi miễn phí trên mạng xã hội facebook và youtube:Loạt bài Lý thuyết - Bài tập Toán lớp 7 có đầy đủ Lý thuyết và các dạng bài có lời giải chi tiết được biên soạn bám sát nội dung chương trình sgk Đại số 7 và Hình học 7.
Nếu thấy hay, hãy động viên và chia sẻ nhé! Các bình luận không phù hợp với nội quy bình luận trang web sẽ bị cấm bình luận vĩnh viễn.
- Giải Tiếng Anh 7 Global Success
- Giải Tiếng Anh 7 Friends plus
- Giải sgk Tiếng Anh 7 Smart World
- Giải Tiếng Anh 7 Explore English
- Lớp 7 - Kết nối tri thức
- Soạn văn 7 (hay nhất) - KNTT
- Soạn văn 7 (ngắn nhất) - KNTT
- Giải sgk Toán 7 - KNTT
- Giải sgk Khoa học tự nhiên 7 - KNTT
- Giải sgk Lịch Sử 7 - KNTT
- Giải sgk Địa Lí 7 - KNTT
- Giải sgk Giáo dục công dân 7 - KNTT
- Giải sgk Tin học 7 - KNTT
- Giải sgk Công nghệ 7 - KNTT
- Giải sgk Hoạt động trải nghiệm 7 - KNTT
- Giải sgk Âm nhạc 7 - KNTT
- Lớp 7 - Chân trời sáng tạo
- Soạn văn 7 (hay nhất) - CTST
- Soạn văn 7 (ngắn nhất) - CTST
- Giải sgk Toán 7 - CTST
- Giải sgk Khoa học tự nhiên 7 - CTST
- Giải sgk Lịch Sử 7 - CTST
- Giải sgk Địa Lí 7 - CTST
- Giải sgk Giáo dục công dân 7 - CTST
- Giải sgk Công nghệ 7 - CTST
- Giải sgk Tin học 7 - CTST
- Giải sgk Hoạt động trải nghiệm 7 - CTST
- Giải sgk Âm nhạc 7 - CTST
- Lớp 7 - Cánh diều
- Soạn văn 7 (hay nhất) - Cánh diều
- Soạn văn 7 (ngắn nhất) - Cánh diều
- Giải sgk Toán 7 - Cánh diều
- Giải sgk Khoa học tự nhiên 7 - Cánh diều
- Giải sgk Lịch Sử 7 - Cánh diều
- Giải sgk Địa Lí 7 - Cánh diều
- Giải sgk Giáo dục công dân 7 - Cánh diều
- Giải sgk Công nghệ 7 - Cánh diều
- Giải sgk Tin học 7 - Cánh diều
- Giải sgk Hoạt động trải nghiệm 7 - Cánh diều
- Giải sgk Âm nhạc 7 - Cánh diều


Giải bài tập SGK & SBT
Tài liệu giáo viên
Sách
Khóa học
Thi online
Hỏi đáp

