Cách tìm x, y trong dãy tỉ số bằng nhau lớp 7 (cực hay, chi tiết)
Bài viết Cách tìm x, y trong dãy tỉ số bằng nhau lớp 7 với phương pháp giải chi tiết giúp học sinh ôn tập, biết cách làm bài tập Cách tìm x, y trong dãy tỉ số bằng nhau.
Cách tìm x, y trong dãy tỉ số bằng nhau lớp 7 (cực hay, chi tiết)
(199k) Xem Khóa học Toán 7 KNTTXem Khóa học Toán 7 CTSTXem Khóa học Toán 7 CD
A. Phương pháp giải
- Đầu tiên, ta đưa về cùng một tỉ số:
- Sau đó dùng:
+ Vận dụng tính chất dãy tỉ số bằng nhau
+ Sử dụng phương pháp thế (rút x, hoặc y từ một biểu thức thế vào biểu thức còn lại để tính)
+ Đặt = k
B. Ví dụ minh họa
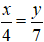
Ví dụ 1: Tìm hai số x và y biết và x + y = 110.
Lời giải:
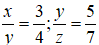
Ví dụ 2: Tìm x, y , z biết và x – 3y + 4z = 62
Lời giải:
Ví dụ 3: Tìm x, y, z biết: và 2x + 3y – z = 186
Lời giải:
Vậy x = 45; y = 60; z = 84.
C. Bài tập vận dụng
Câu 1. Biết và x + y = 90. Hai số x, y lần lượt là?
A. x = 48; y = 42
B. x = 42; y = 48
C. x = 63; y = 72
D. x = 72; y = 63
Lời giải:
Áp dụng tính chất của dãy tỉ số bằng nhau ta được:
Đáp số B
Câu 2. Cho 2x = 9y và y – x = 49. Tìm giá trị của x và y?
A. x = -63; y = -14
B. x = 63; y =14
C. x = -63; y = 14
D. x = -14 ; y = -63
Lời giải:
Đáp số A
Câu 3. Tìm x, y , z biết và –x + z = -196
A. x = 28; y = 231; z =35
B. x = 231; y = 35; z =28
C. x = 231; y = 28; z = 35
D. x = 35; y = 28; z = 231
Lời giải:
Áp dụng tính chất của dãy tỉ số bằng nhau ta có:
Đáp số C
Câu 4. Biết rằng x : y = 7 : 6 và 2x – y = 120. Giá trị của x và y là
A. x = 103; y = 86
B. x = 110; y = 100
C. x = 98; y = 84
D. x = 105; y = 90
Lời giải:
Đáp số D
Câu 5. Tìm x, y, z biết và x2 + 2y2 - 3z2 = -650
A. x =10; y = 15; z = 20
B. x = -10; y = -15; z = -20
C. x = ±10; y = ±15; z= ±20
D. Không có x, y, z thỏa mãn
Lời giải:
Đáp số C
Câu 6. Tìm x, y, z thỏa mãn và 2x + 3y – z = 50.
Lời giải:
Ta có:
Áp dụng tính chất của dãy tỉ số bằng nhau ta có:
Đáp số D
Câu 7. Tìm x, y biết và 2x + 3y = 7.
Lời giải:
Ta có:
Áp dụng tính chất của dãy tỉ số bằng nhau ta được:
Đáp số A
Câu 8. Tìm x, y, z biết và x + y + z = 92.
A. x = 20; y = 42; z = 30
B. x = 20; y = 30; z = 42
C. x = 30; y = 42; z = 20
D. x = 40; y = 30; z = 22
Lời giải:
Đáp số B
Câu 9. Tìm x và y biết
Lời giải:
Đáp số D
Câu 10. Cho (1) với x + y + z ≠ 0. Giá trị của x, y, z là:
Lời giải:
Áp dụng tính chất của dãy tỉ số bằng nhau ta có:
Đáp số B
D. Bài tập tự luyện
Bài 1.
a) Tìm hai số x và y biết và x + y = 28.
b) Tìm ba số x, y, z biết rằng và x + y – z = 10.
Bài 2. Tìm x, y, z biết: và x – 3y + 4z = 62.
Bài 3. Tìm x, y, z biết:
a) và 2x + 3y – z = 186.
b) 2x = 3y = 5z và |x + y – z| = 95.
Bài 4. Cho tam giác ABC có số đo ba góc A, B, C lần lượt tỉ lệ với 1; 2; 3. Tính số đo các góc của tam giác ABC.
Bài 5. Cho số 237 thành ba phần. Phần thứ nhất và phần thứ hai tỉ lệ với 5 và 3, phần thứ hai và phần thứ ba tỉ lệ bới 8 và 5. Tìm mỗi số.
(199k) Xem Khóa học Toán 7 KNTTXem Khóa học Toán 7 CTSTXem Khóa học Toán 7 CD
Xem thêm các dạng bài tập Toán lớp 7 chọn lọc, có đáp án hay khác:
- Cách lập tỉ lệ thức từ các số đã cho cực hay, chi tiết
- Cách tìm x trong tỉ lệ thức lớp 7 cực hay, chi tiết
- Cách chứng minh tỉ lệ thức lớp 7 cực hay, chi tiết
- Cách tính giá trị biểu thức khi cho dãy tỉ số bằng nhau cực hay, chi tiết
- Cách giải bài toán chia tỉ lệ lớp 7 cực hay, chi tiết
Lời giải bài tập lớp 7 sách mới:
- Giải bài tập Lớp 7 Kết nối tri thức
- Giải bài tập Lớp 7 Chân trời sáng tạo
- Giải bài tập Lớp 7 Cánh diều
Tủ sách VIETJACK shopee lớp 6-8 (2025):
Đã có app VietJack trên điện thoại, giải bài tập SGK, SBT Soạn văn, Văn mẫu, Thi online, Bài giảng....miễn phí. Tải ngay ứng dụng trên Android và iOS.
Theo dõi chúng tôi miễn phí trên mạng xã hội facebook và youtube:Loạt bài Lý thuyết - Bài tập Toán lớp 7 có đầy đủ Lý thuyết và các dạng bài có lời giải chi tiết được biên soạn bám sát nội dung chương trình sgk Đại số 7 và Hình học 7.
Nếu thấy hay, hãy động viên và chia sẻ nhé! Các bình luận không phù hợp với nội quy bình luận trang web sẽ bị cấm bình luận vĩnh viễn.
- Giải Tiếng Anh 7 Global Success
- Giải Tiếng Anh 7 Friends plus
- Giải sgk Tiếng Anh 7 Smart World
- Giải Tiếng Anh 7 Explore English
- Lớp 7 - Kết nối tri thức
- Soạn văn 7 (hay nhất) - KNTT
- Soạn văn 7 (ngắn nhất) - KNTT
- Giải sgk Toán 7 - KNTT
- Giải sgk Khoa học tự nhiên 7 - KNTT
- Giải sgk Lịch Sử 7 - KNTT
- Giải sgk Địa Lí 7 - KNTT
- Giải sgk Giáo dục công dân 7 - KNTT
- Giải sgk Tin học 7 - KNTT
- Giải sgk Công nghệ 7 - KNTT
- Giải sgk Hoạt động trải nghiệm 7 - KNTT
- Giải sgk Âm nhạc 7 - KNTT
- Lớp 7 - Chân trời sáng tạo
- Soạn văn 7 (hay nhất) - CTST
- Soạn văn 7 (ngắn nhất) - CTST
- Giải sgk Toán 7 - CTST
- Giải sgk Khoa học tự nhiên 7 - CTST
- Giải sgk Lịch Sử 7 - CTST
- Giải sgk Địa Lí 7 - CTST
- Giải sgk Giáo dục công dân 7 - CTST
- Giải sgk Công nghệ 7 - CTST
- Giải sgk Tin học 7 - CTST
- Giải sgk Hoạt động trải nghiệm 7 - CTST
- Giải sgk Âm nhạc 7 - CTST
- Lớp 7 - Cánh diều
- Soạn văn 7 (hay nhất) - Cánh diều
- Soạn văn 7 (ngắn nhất) - Cánh diều
- Giải sgk Toán 7 - Cánh diều
- Giải sgk Khoa học tự nhiên 7 - Cánh diều
- Giải sgk Lịch Sử 7 - Cánh diều
- Giải sgk Địa Lí 7 - Cánh diều
- Giải sgk Giáo dục công dân 7 - Cánh diều
- Giải sgk Công nghệ 7 - Cánh diều
- Giải sgk Tin học 7 - Cánh diều
- Giải sgk Hoạt động trải nghiệm 7 - Cánh diều
- Giải sgk Âm nhạc 7 - Cánh diều


Giải bài tập SGK & SBT
Tài liệu giáo viên
Sách
Khóa học
Thi online
Hỏi đáp

