Lý thuyết Rút gọn phân thức lớp 8 (hay, chi tiết)
Bài viết Lý thuyết Rút gọn phân thức lớp 8 hay, chi tiết giúp bạn nắm vững kiến thức trọng tâm Lý thuyết Rút gọn phân thức.
Lý thuyết Rút gọn phân thức lớp 8 (hay, chi tiết)
(199k) Xem Khóa học Toán 8 KNTTXem Khóa học Toán 8 CTSTXem Khóa học Toán 8 CD
A. Lý thuyết
Bài giảng: Bài 3: Rút gọn phân thức - Cô Phạm Thị Huệ Chi (Giáo viên VietJack)
1. Quy tắc rút gọn một phân thức
Muốn rút gọn một phân thức đại số ta cần phải:
+ Đặt điều kiện xác định cho mẫu thức.
+ Phân tích tử và mẫu thành nhân tử (nếu cần) để tìm nhân tử chung
+ Chia cả tử và mẫu cho nhân tử chung giống nhau
Chú ý:
+ Có khi cần đổi dấu tử hoặc mẫu thức để xuất hiện nhân tử chung.
+ Cần chú ý tính chất A = - ( - A ).
2. Ví dụ áp dụng
Ví dụ 1: Rút gọn phân thức.
Lời giải:
Điều kiện xác định x ≠ 0; x ≠ 1.
Ta có:
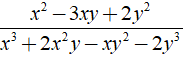
Ví dụ 2: Rút gọn phân thức
Lời giải:
Điều kiện xác định xy ≠ 0; x + y ≠ 0.
Ta có:
B. Bài tập tự luyện
Bài 1: Rút gọn các biểu thức sau
Lời giải:
a) Ta có:
b) Ta có:
c) Ta có:
Bài 2: Rút gọn phân thức sau:
Lời giải:
a) Ta có:
b) Ta có:
Bài giảng: Bài 3: Rút gọn phân thức - Cô Vương Thị Hạnh (Giáo viên VietJack)
(199k) Xem Khóa học Toán 8 KNTTXem Khóa học Toán 8 CTSTXem Khóa học Toán 8 CD
Xem thêm các phần lý thuyết, các dạng bài tập Toán lớp 8 có đáp án chi tiết hay khác:
- Bài tập Rút gọn phân thức
- Lý thuyết Quy đồng mẫu thức nhiều phân thức
- Bài tập Quy đồng mẫu thức nhiều phân thức
- Lý thuyết Phép cộng các phân thức đại số
Xem thêm các loạt bài Để học tốt Toán lớp 8 hay khác:
Tủ sách VIETJACK shopee lớp 6-8 (2025):
Đã có app VietJack trên điện thoại, giải bài tập SGK, SBT Soạn văn, Văn mẫu, Thi online, Bài giảng....miễn phí. Tải ngay ứng dụng trên Android và iOS.
Theo dõi chúng tôi miễn phí trên mạng xã hội facebook và youtube:Loạt bài Lý thuyết & 700 Bài tập Toán lớp 8 có lời giải chi tiết có đầy đủ Lý thuyết và các dạng bài có lời giải chi tiết được biên soạn bám sát nội dung chương trình sgk Đại số 8 và Hình học 8.
Nếu thấy hay, hãy động viên và chia sẻ nhé! Các bình luận không phù hợp với nội quy bình luận trang web sẽ bị cấm bình luận vĩnh viễn.
- Giải Tiếng Anh 8 Global Success
- Giải sgk Tiếng Anh 8 Smart World
- Giải sgk Tiếng Anh 8 Friends plus
- Lớp 8 - Kết nối tri thức
- Soạn văn 8 (hay nhất) - KNTT
- Soạn văn 8 (ngắn nhất) KNTT
- Giải sgk Toán 8 - KNTT
- Giải sgk Khoa học tự nhiên 8 - KNTT
- Giải sgk Lịch Sử 8 - KNTT
- Giải sgk Địa Lí 8 - KNTT
- Giải sgk Giáo dục công dân 8 - KNTT
- Giải sgk Tin học 8 - KNTT
- Giải sgk Công nghệ 8 - KNTT
- Giải sgk Hoạt động trải nghiệm 8 - KNTT
- Giải sgk Âm nhạc 8 - KNTT
- Lớp 8 - Chân trời sáng tạo
- Soạn văn 8 (hay nhất) - CTST
- Soạn văn 8 (ngắn nhất) - CTST
- Giải sgk Toán 8 - CTST
- Giải sgk Khoa học tự nhiên 8 - CTST
- Giải sgk Lịch Sử 8 - CTST
- Giải sgk Địa Lí 8 - CTST
- Giải sgk Giáo dục công dân 8 - CTST
- Giải sgk Tin học 8 - CTST
- Giải sgk Công nghệ 8 - CTST
- Giải sgk Hoạt động trải nghiệm 8 - CTST
- Giải sgk Âm nhạc 8 - CTST
- Lớp 8 - Cánh diều
- Soạn văn 8 Cánh diều (hay nhất)
- Soạn văn 8 Cánh diều (ngắn nhất)
- Giải sgk Toán 8 - Cánh diều
- Giải sgk Khoa học tự nhiên 8 - Cánh diều
- Giải sgk Lịch Sử 8 - Cánh diều
- Giải sgk Địa Lí 8 - Cánh diều
- Giải sgk Giáo dục công dân 8 - Cánh diều
- Giải sgk Tin học 8 - Cánh diều
- Giải sgk Công nghệ 8 - Cánh diều
- Giải sgk Hoạt động trải nghiệm 8 - Cánh diều
- Giải sgk Âm nhạc 8 - Cánh diều


Giải bài tập SGK & SBT
Tài liệu giáo viên
Sách
Khóa học
Thi online
Hỏi đáp

