Lý thuyết Quy đồng mẫu thức nhiều phân thức lớp 8 (hay, chi tiết)
Bài viết Lý thuyết Quy đồng mẫu thức nhiều phân thức lớp 8 hay, chi tiết giúp bạn nắm vững kiến thức trọng tâm Lý thuyết Quy đồng mẫu thức nhiều phân thức.
Lý thuyết Quy đồng mẫu thức nhiều phân thức lớp 8 (hay, chi tiết)
(199k) Xem Khóa học Toán 8 KNTTXem Khóa học Toán 8 CTSTXem Khóa học Toán 8 CD
A. Lý thuyết
Bài giảng: Bài 4: Quy đồng mẫu thức nhiều phân thức - Cô Phạm Thị Huệ Chi (Giáo viên VietJack)
1. Tìm mẫu thức chung
Khi quy đồng mẫu thức nhiều phân thức, muốn tìm mẫu thức chung ta có thể theo hướng như sau:
+ Phân tích mẫu thức của các phân thức đã cho thành nhân tử.
+ Mẫu thức chung cần tìm là một tích mà các nhân tử được chọn như sau:
Nhân tử bằng số của mẫu thức chung là tích các nhân tử bằng số ở các mẫu thức của các phân thức đã cho. (Nếu các nhân tử bằng số ở các mẫu thức là những số nguyên dương thì nhân tử bằng số của mẫu thức chung là BCNN của chúng).
Với mỗi cơ số của luỹ thừa có mặt trong các mẫu thức ta chọn luỹ thừa với só mũ cao nhất.
Ví dụ: Tìm mẫu thức chung của hai phân thức 1/(2x2 - 4x + 2) và 2/(3x - 3).
Lời giải:
+ Phân tích các mẫu thức thành nhân tử:
2x2 - 4x + 2 = 2( x2 - 2x + 1 ) = 2( x - 1 )2
3x - 3 = 3( x - 1 )
+ Chọn mẫu thức chung là: 6( x - 1 )2.
Xác định mẫu thức chung của số nguyên là BCNN( 2,3 ) = 6.
Mẫu thức chung của lũy thừa ( x - 1 ) là ( x - 1 )2.
2. Quy đồng mẫu thức
Muốn quy đồng mẫu thức nhiều phân thức ta có thể làm như sau:
+ Phân tích các mẫu thức thành nhân tử rồi tìm mẫu thức chung
+ Tìm nhân tử phụ của mỗi mẫu thức.
+ Nhân tử và mẫu của mỗi phânthức với nhân tử phụ tương ứng
Ví dụ: Quy đồng mẫu thức của hai phân thức 1/(2x2 - 4x + 2) và 2/(3x - 3).
Lời giải:
Ở ví dụ trên mục 1, ta xác định được mẫu thức chung là 6( x - 1 )2.
+ Vì 6( x - 1 )2 = 3.2( x2 - 2x + 1 ) = 3.( 2x2 - 4x + 2 ) nên nhân tử và mẫu của phân thức thứ nhất với 3 ta được.
+ Vì 6( x - 1 )2 = 2( x - 1 ).3( x - 1 ) nên nhân cả tử và mẫu của phân thức thứ hai với 2( x - 1 ) ta được:
Ở đây ta có:
3 là nhân tử phụ của mẫu thức 2x2 - 4x + 2.
2( x - 1 ) là nhân tử phụ của mẫu thức 3x - 3.
B. Bài tập tự luyện
Bài 1: Quy đồng mẫu của các phân thức sau:
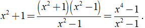
a, x2 + 1 và x4/(x2 - 1)
b, x3/(x3 - 3x2y + 3xy2 - y3) và x/(y2 - xy)
Lời giải:
a) Coi x2 + 1 = (x2 + 1)/1
⇒ Mẫu thức chung là x2 - 1.
Khi đó ta có:
b) Ta có
+ x3 - 3x2y + 3xy2 - y3 = ( x - y )3
+ y2 - xy = y( y - x ) = - y( x - y )
⇒ Mẫu thức chung là - y( x - y )3.
Khi đó ta có:
+
+
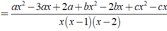
Bài 2: Xác định giá trị a, b, c để
Lời giải:
Ta có:
Dùng phương pháp hệ số bất định, khi đó ta có hệ:
Vậy giá trị của a, b, c cần tìm là a = 2; b = 3; c = 4.
Bài giảng: Bài 4: Quy đồng mẫu thức nhiều phân thức - Cô Vương Thị Hạnh (Giáo viên VietJack)
(199k) Xem Khóa học Toán 8 KNTTXem Khóa học Toán 8 CTSTXem Khóa học Toán 8 CD
Xem thêm các phần lý thuyết, các dạng bài tập Toán lớp 8 có đáp án chi tiết hay khác:
- Bài tập Quy đồng mẫu thức nhiều phân thức
- Lý thuyết Phép cộng các phân thức đại số
- Bài tập Phép cộng các phân thức đại số
- Lý thuyết Phép trừ các phân thức đại số
- Bài tập Phép trừ các phân thức đại số
Xem thêm các loạt bài Để học tốt Toán lớp 8 hay khác:
Tủ sách VIETJACK shopee lớp 6-8 (2025):
Đã có app VietJack trên điện thoại, giải bài tập SGK, SBT Soạn văn, Văn mẫu, Thi online, Bài giảng....miễn phí. Tải ngay ứng dụng trên Android và iOS.
Theo dõi chúng tôi miễn phí trên mạng xã hội facebook và youtube:Loạt bài Lý thuyết & 700 Bài tập Toán lớp 8 có lời giải chi tiết có đầy đủ Lý thuyết và các dạng bài có lời giải chi tiết được biên soạn bám sát nội dung chương trình sgk Đại số 8 và Hình học 8.
Nếu thấy hay, hãy động viên và chia sẻ nhé! Các bình luận không phù hợp với nội quy bình luận trang web sẽ bị cấm bình luận vĩnh viễn.
- Giải Tiếng Anh 8 Global Success
- Giải sgk Tiếng Anh 8 Smart World
- Giải sgk Tiếng Anh 8 Friends plus
- Lớp 8 - Kết nối tri thức
- Soạn văn 8 (hay nhất) - KNTT
- Soạn văn 8 (ngắn nhất) KNTT
- Giải sgk Toán 8 - KNTT
- Giải sgk Khoa học tự nhiên 8 - KNTT
- Giải sgk Lịch Sử 8 - KNTT
- Giải sgk Địa Lí 8 - KNTT
- Giải sgk Giáo dục công dân 8 - KNTT
- Giải sgk Tin học 8 - KNTT
- Giải sgk Công nghệ 8 - KNTT
- Giải sgk Hoạt động trải nghiệm 8 - KNTT
- Giải sgk Âm nhạc 8 - KNTT
- Lớp 8 - Chân trời sáng tạo
- Soạn văn 8 (hay nhất) - CTST
- Soạn văn 8 (ngắn nhất) - CTST
- Giải sgk Toán 8 - CTST
- Giải sgk Khoa học tự nhiên 8 - CTST
- Giải sgk Lịch Sử 8 - CTST
- Giải sgk Địa Lí 8 - CTST
- Giải sgk Giáo dục công dân 8 - CTST
- Giải sgk Tin học 8 - CTST
- Giải sgk Công nghệ 8 - CTST
- Giải sgk Hoạt động trải nghiệm 8 - CTST
- Giải sgk Âm nhạc 8 - CTST
- Lớp 8 - Cánh diều
- Soạn văn 8 Cánh diều (hay nhất)
- Soạn văn 8 Cánh diều (ngắn nhất)
- Giải sgk Toán 8 - Cánh diều
- Giải sgk Khoa học tự nhiên 8 - Cánh diều
- Giải sgk Lịch Sử 8 - Cánh diều
- Giải sgk Địa Lí 8 - Cánh diều
- Giải sgk Giáo dục công dân 8 - Cánh diều
- Giải sgk Tin học 8 - Cánh diều
- Giải sgk Công nghệ 8 - Cánh diều
- Giải sgk Hoạt động trải nghiệm 8 - Cánh diều
- Giải sgk Âm nhạc 8 - Cánh diều


Giải bài tập SGK & SBT
Tài liệu giáo viên
Sách
Khóa học
Thi online
Hỏi đáp

