15 Bài tập Phép cộng các phân thức đại số lớp 8 (có đáp án)
Bài viết 15 Bài tập Phép cộng các phân thức đại số có đáp án gồm các dạng bài tập về Phép cộng các phân thức đại số lớp 8 từ cơ bản đến nâng cao giúp học sinh lớp 8 biết cách làm bài tập Phép cộng các phân thức đại số.
15 Bài tập Phép cộng các phân thức đại số lớp 8 (có đáp án)
(199k) Xem Khóa học Toán 8 KNTTXem Khóa học Toán 8 CTSTXem Khóa học Toán 8 CD
Bài 1: Kết quả của phép cộnglà ?
Lời giải:
Ta có:
⇒ MTC = - 2( x - 1 )( x + 1 ).
Khi đó ta có:
Chọn đáp án B.
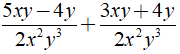
Bài 2: Kết quả của phép cộng
là ?
A. 4/(xy2)
B. 4/(xy3)
C. 2/(x2y2)
D. 2/(yx2)
Lời giải:
Ta có
Chọn đáp án A.
Bài 3: Rút gọn biểu thức
được kết quả là ?
A. 3 B. -3
C. 3/(x - 5) D. (- 3)/(x - 5).
Lời giải:
Ta có:
Chọn đáp án A.
Bài 4: Rút gọn biểu thức
được kết quả là ?
A. 3 - x. B. x - 3
C. x + 3. D. - x - 3.
Lời giải:
Ta có:
Chọn đáp án B.
Bài 5: Rút gọn biểu thức
được kết quả là ?
A. (2x + y)/(xy)
B. (2x - y)/(xy)
C. (- 2x - y)/(xy)
D. (y - 2x)/(xy)
Lời giải:
Ta có:
⇒ MTC = - xy( 2x - y ).
Khi đó ta có:
Chọn đáp án C.
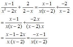
Bài 6: Làm tính cộng:
Lời giải:
Ta có: x2 – 4 = (x + 2).(x - 2) và x2 – 2x = x.(x – 2)
Do đó, mẫu thức chung là: x(x + 2).(x - 2)
Chọn đáp án A
Bài 7: Làm tính cộng:
Lời giải:
Chọn đáp án B
Bài 8: Làm tính cộng:
Lời giải:
Chọn đáp án C
Bài 9: Làm tính cộng:
Lời giải:
Chọn đáp án D
Bài 10: Làm tính cộng:
Lời giải:
Chọn đáp án B
Bài 11: Phép tính có kết quả là?
Lời giải
Đáp án cần chọn là: A
Bài 12: Phép tính có kết quả là?
Lời giải
Đáp án cần chọn là: B
Bài 13: Kết quả gọn nhất của phép tính là một phân thức có tử thức là?
A. 2x2 + 5x - 4
B.
C. 2x2 - 4x - 4
D. 2x2 - 5x - 4
Lời giải
Đáp án cần chọn là: D
Bài 14: Điền vào chỗ trống: .
Lời giải
Phân thức cần tìm là:
Đáp án cần chọn là: C
Bài 15: Chọn câu đúng?
Lời giải
Đáp án cần chọn là: C
(199k) Xem Khóa học Toán 8 KNTTXem Khóa học Toán 8 CTSTXem Khóa học Toán 8 CD
Xem thêm các phần lý thuyết, các dạng bài tập Toán lớp 8 có đáp án chi tiết hay khác:
- Lý thuyết Quy đồng mẫu thức nhiều phân thức
- Bài tập Quy đồng mẫu thức nhiều phân thức
- Lý thuyết Phép cộng các phân thức đại số
- Lý thuyết Phép trừ các phân thức đại số
- Bài tập Phép trừ các phân thức đại số
Xem thêm các loạt bài Để học tốt Toán lớp 8 hay khác:
Tủ sách VIETJACK shopee lớp 6-8 (2025):
Đã có app VietJack trên điện thoại, giải bài tập SGK, SBT Soạn văn, Văn mẫu, Thi online, Bài giảng....miễn phí. Tải ngay ứng dụng trên Android và iOS.
Theo dõi chúng tôi miễn phí trên mạng xã hội facebook và youtube:Loạt bài Lý thuyết & 700 Bài tập Toán lớp 8 có lời giải chi tiết có đầy đủ Lý thuyết và các dạng bài có lời giải chi tiết được biên soạn bám sát nội dung chương trình sgk Đại số 8 và Hình học 8.
Nếu thấy hay, hãy động viên và chia sẻ nhé! Các bình luận không phù hợp với nội quy bình luận trang web sẽ bị cấm bình luận vĩnh viễn.
- Giải Tiếng Anh 8 Global Success
- Giải sgk Tiếng Anh 8 Smart World
- Giải sgk Tiếng Anh 8 Friends plus
- Lớp 8 - Kết nối tri thức
- Soạn văn 8 (hay nhất) - KNTT
- Soạn văn 8 (ngắn nhất) KNTT
- Giải sgk Toán 8 - KNTT
- Giải sgk Khoa học tự nhiên 8 - KNTT
- Giải sgk Lịch Sử 8 - KNTT
- Giải sgk Địa Lí 8 - KNTT
- Giải sgk Giáo dục công dân 8 - KNTT
- Giải sgk Tin học 8 - KNTT
- Giải sgk Công nghệ 8 - KNTT
- Giải sgk Hoạt động trải nghiệm 8 - KNTT
- Giải sgk Âm nhạc 8 - KNTT
- Lớp 8 - Chân trời sáng tạo
- Soạn văn 8 (hay nhất) - CTST
- Soạn văn 8 (ngắn nhất) - CTST
- Giải sgk Toán 8 - CTST
- Giải sgk Khoa học tự nhiên 8 - CTST
- Giải sgk Lịch Sử 8 - CTST
- Giải sgk Địa Lí 8 - CTST
- Giải sgk Giáo dục công dân 8 - CTST
- Giải sgk Tin học 8 - CTST
- Giải sgk Công nghệ 8 - CTST
- Giải sgk Hoạt động trải nghiệm 8 - CTST
- Giải sgk Âm nhạc 8 - CTST
- Lớp 8 - Cánh diều
- Soạn văn 8 Cánh diều (hay nhất)
- Soạn văn 8 Cánh diều (ngắn nhất)
- Giải sgk Toán 8 - Cánh diều
- Giải sgk Khoa học tự nhiên 8 - Cánh diều
- Giải sgk Lịch Sử 8 - Cánh diều
- Giải sgk Địa Lí 8 - Cánh diều
- Giải sgk Giáo dục công dân 8 - Cánh diều
- Giải sgk Tin học 8 - Cánh diều
- Giải sgk Công nghệ 8 - Cánh diều
- Giải sgk Hoạt động trải nghiệm 8 - Cánh diều
- Giải sgk Âm nhạc 8 - Cánh diều


Giải bài tập SGK & SBT
Tài liệu giáo viên
Sách
Khóa học
Thi online
Hỏi đáp

