Lý thuyết Phép cộng các phân thức đại số lớp 8 (hay, chi tiết)
Bài viết Lý thuyết Phép cộng các phân thức đại số lớp 8 hay, chi tiết giúp bạn nắm vững kiến thức trọng tâm Lý thuyết Phép cộng các phân thức đại số.
Lý thuyết Phép cộng các phân thức đại số lớp 8 (hay, chi tiết)
(199k) Xem Khóa học Toán 8 KNTTXem Khóa học Toán 8 CTSTXem Khóa học Toán 8 CD
A. Lý thuyết
Bài giảng: Bài 5: Phép cộng các phân thức đại số - Cô Phạm Thị Huệ Chi (Giáo viên VietJack)
1. Cộng hai phân thức cùng mẫu thức
Muốn cộng hai phân thức cùng mẫu thức ta cộng các tử thức với nhau, giữ nguyên mẫu thức.
Ta có thể viết như sau:
Ví dụ: Cộng hai phân thức
Lời giải:
Ta có:
+ Cộng hai phân thức
Ta có:
2. Cộng hai phân thức có mẫu thức khác nhau.
Muốn cộng hai phân thức có mẫu thức khác nhau, ta quy đồng mẫu thức rồi cộng các phân thức có cùng mẫu thức vừa tìm được.
Ta có thể viết như sau:
Ví dụ 1: Cộng hai phân thức
Lời giải:
Ta có: 2x - 2 = 2( x - 1 ); x2 - 1 = ( x - 1 )( x + 1 ) ⇒ MTC = 2( x - 1 )( x + 1 ).
Khi đó ta có:
Chú ý: Phép cộng phân thức có các tính chất sau:
Giao hoán:
Kết hợp:
Ví dụ 2: Cộng các phân thức
Lời giải:
Ta có:
B. Bài tập tự luyện
Bài 1: Thực hiện phép cộng các phân thức sau:
Lời giải:
a) Ta có:
+
⇒ MTC = 2x( x + 3 )
Khi đó ta có:
b) Ta có:
c) Ta có:
+
⇒ MTC = - ( x - 1 )( x2 + x + 1 )
Khi đó ta có:
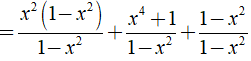
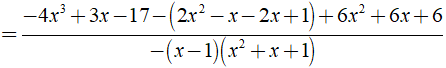
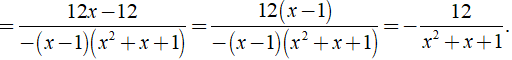
Bài 2: Rút gọn biểu thức
Lời giải:
Ta có:
Vậy
Bài giảng: Bài 5: Phép cộng các phân thức đại số - Cô Vương Thị Hạnh (Giáo viên VietJack)
(199k) Xem Khóa học Toán 8 KNTTXem Khóa học Toán 8 CTSTXem Khóa học Toán 8 CD
Xem thêm các phần lý thuyết, các dạng bài tập Toán lớp 8 có đáp án chi tiết hay khác:
- Lý thuyết Quy đồng mẫu thức nhiều phân thức
- Bài tập Quy đồng mẫu thức nhiều phân thức
- Bài tập Phép cộng các phân thức đại số
- Lý thuyết Phép trừ các phân thức đại số
- Bài tập Phép trừ các phân thức đại số
Xem thêm các loạt bài Để học tốt Toán lớp 8 hay khác:
Tủ sách VIETJACK shopee lớp 6-8 (2025):
Đã có app VietJack trên điện thoại, giải bài tập SGK, SBT Soạn văn, Văn mẫu, Thi online, Bài giảng....miễn phí. Tải ngay ứng dụng trên Android và iOS.
Theo dõi chúng tôi miễn phí trên mạng xã hội facebook và youtube:Loạt bài Lý thuyết & 700 Bài tập Toán lớp 8 có lời giải chi tiết có đầy đủ Lý thuyết và các dạng bài có lời giải chi tiết được biên soạn bám sát nội dung chương trình sgk Đại số 8 và Hình học 8.
Nếu thấy hay, hãy động viên và chia sẻ nhé! Các bình luận không phù hợp với nội quy bình luận trang web sẽ bị cấm bình luận vĩnh viễn.
- Giải Tiếng Anh 8 Global Success
- Giải sgk Tiếng Anh 8 Smart World
- Giải sgk Tiếng Anh 8 Friends plus
- Lớp 8 - Kết nối tri thức
- Soạn văn 8 (hay nhất) - KNTT
- Soạn văn 8 (ngắn nhất) KNTT
- Giải sgk Toán 8 - KNTT
- Giải sgk Khoa học tự nhiên 8 - KNTT
- Giải sgk Lịch Sử 8 - KNTT
- Giải sgk Địa Lí 8 - KNTT
- Giải sgk Giáo dục công dân 8 - KNTT
- Giải sgk Tin học 8 - KNTT
- Giải sgk Công nghệ 8 - KNTT
- Giải sgk Hoạt động trải nghiệm 8 - KNTT
- Giải sgk Âm nhạc 8 - KNTT
- Lớp 8 - Chân trời sáng tạo
- Soạn văn 8 (hay nhất) - CTST
- Soạn văn 8 (ngắn nhất) - CTST
- Giải sgk Toán 8 - CTST
- Giải sgk Khoa học tự nhiên 8 - CTST
- Giải sgk Lịch Sử 8 - CTST
- Giải sgk Địa Lí 8 - CTST
- Giải sgk Giáo dục công dân 8 - CTST
- Giải sgk Tin học 8 - CTST
- Giải sgk Công nghệ 8 - CTST
- Giải sgk Hoạt động trải nghiệm 8 - CTST
- Giải sgk Âm nhạc 8 - CTST
- Lớp 8 - Cánh diều
- Soạn văn 8 Cánh diều (hay nhất)
- Soạn văn 8 Cánh diều (ngắn nhất)
- Giải sgk Toán 8 - Cánh diều
- Giải sgk Khoa học tự nhiên 8 - Cánh diều
- Giải sgk Lịch Sử 8 - Cánh diều
- Giải sgk Địa Lí 8 - Cánh diều
- Giải sgk Giáo dục công dân 8 - Cánh diều
- Giải sgk Tin học 8 - Cánh diều
- Giải sgk Công nghệ 8 - Cánh diều
- Giải sgk Hoạt động trải nghiệm 8 - Cánh diều
- Giải sgk Âm nhạc 8 - Cánh diều


Giải bài tập SGK & SBT
Tài liệu giáo viên
Sách
Khóa học
Thi online
Hỏi đáp

