Lý thuyết Phép nhân các phân thức đại số lớp 8 (hay, chi tiết)
Bài viết Lý thuyết Phép nhân các phân thức đại số lớp 8 hay, chi tiết giúp bạn nắm vững kiến thức trọng tâm Lý thuyết Phép nhân các phân thức đại số.
Lý thuyết Phép nhân các phân thức đại số lớp 8 (hay, chi tiết)
(199k) Xem Khóa học Toán 8 KNTTXem Khóa học Toán 8 CTSTXem Khóa học Toán 8 CD
A. Lý thuyết
Bài giảng: Bài 7: Phép nhân các phân thức đại số - Cô Phạm Thị Huệ Chi (Giáo viên VietJack)
1. Quy tắc phép nhân.
Muốn nhân hai phân thức với nhau, ta nhân các tử thức với nhau, các mẫu thức với nhau.
Ta có thể viết như sau:
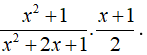
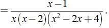
Ví dụ: Nhân hai phân thức
Lời giải:
Ta có:
2. Các tính chất của phép nhân phân thức
Phép nhân phân thức có các tính chất sau:
Giao hoán:
Kết hợp:
Phân phối đối với phép cộng:
Ví dụ: Nhân các phân thức
Lời giải:
Ta có:
B. Bài tập tự luyện
Bài 1: Thực hiện các phép tính sau:
Lời giải:
a) Ta có:
b) Ta có:
Bài 2: Rút gọn rồi tính giá trị biểu thức
với x= 14 và y= -15
Lời giải:
Ta có:
Với x= 14 và y= -15, ta có:
Bài giảng: Bài 7: Phép nhân các phân thức đại số - Cô Vương Thị Hạnh (Giáo viên VietJack)
(199k) Xem Khóa học Toán 8 KNTTXem Khóa học Toán 8 CTSTXem Khóa học Toán 8 CD
Xem thêm các phần lý thuyết, các dạng bài tập Toán lớp 8 có đáp án chi tiết hay khác:
- Bài tập Phép nhân các phân thức đại số
- Lý thuyết Phép chia các phân thức đại số
- Bài tập Phép chia các phân thức đại số
- Lý thuyết Biến đổi các biểu thức hữu tỉ. Giá trị của phân thức
- Bài tập Biến đổi các biểu thức hữu tỉ. Giá trị của phân thức
- Tổng hợp Lý thuyết & Bài tập Phân thức đại số
Xem thêm các loạt bài Để học tốt Toán lớp 8 hay khác:
Tủ sách VIETJACK shopee lớp 6-8 (2025):
Đã có app VietJack trên điện thoại, giải bài tập SGK, SBT Soạn văn, Văn mẫu, Thi online, Bài giảng....miễn phí. Tải ngay ứng dụng trên Android và iOS.
Theo dõi chúng tôi miễn phí trên mạng xã hội facebook và youtube:Loạt bài Lý thuyết & 700 Bài tập Toán lớp 8 có lời giải chi tiết có đầy đủ Lý thuyết và các dạng bài có lời giải chi tiết được biên soạn bám sát nội dung chương trình sgk Đại số 8 và Hình học 8.
Nếu thấy hay, hãy động viên và chia sẻ nhé! Các bình luận không phù hợp với nội quy bình luận trang web sẽ bị cấm bình luận vĩnh viễn.
- Giải Tiếng Anh 8 Global Success
- Giải sgk Tiếng Anh 8 Smart World
- Giải sgk Tiếng Anh 8 Friends plus
- Lớp 8 - Kết nối tri thức
- Soạn văn 8 (hay nhất) - KNTT
- Soạn văn 8 (ngắn nhất) KNTT
- Giải sgk Toán 8 - KNTT
- Giải sgk Khoa học tự nhiên 8 - KNTT
- Giải sgk Lịch Sử 8 - KNTT
- Giải sgk Địa Lí 8 - KNTT
- Giải sgk Giáo dục công dân 8 - KNTT
- Giải sgk Tin học 8 - KNTT
- Giải sgk Công nghệ 8 - KNTT
- Giải sgk Hoạt động trải nghiệm 8 - KNTT
- Giải sgk Âm nhạc 8 - KNTT
- Lớp 8 - Chân trời sáng tạo
- Soạn văn 8 (hay nhất) - CTST
- Soạn văn 8 (ngắn nhất) - CTST
- Giải sgk Toán 8 - CTST
- Giải sgk Khoa học tự nhiên 8 - CTST
- Giải sgk Lịch Sử 8 - CTST
- Giải sgk Địa Lí 8 - CTST
- Giải sgk Giáo dục công dân 8 - CTST
- Giải sgk Tin học 8 - CTST
- Giải sgk Công nghệ 8 - CTST
- Giải sgk Hoạt động trải nghiệm 8 - CTST
- Giải sgk Âm nhạc 8 - CTST
- Lớp 8 - Cánh diều
- Soạn văn 8 Cánh diều (hay nhất)
- Soạn văn 8 Cánh diều (ngắn nhất)
- Giải sgk Toán 8 - Cánh diều
- Giải sgk Khoa học tự nhiên 8 - Cánh diều
- Giải sgk Lịch Sử 8 - Cánh diều
- Giải sgk Địa Lí 8 - Cánh diều
- Giải sgk Giáo dục công dân 8 - Cánh diều
- Giải sgk Tin học 8 - Cánh diều
- Giải sgk Công nghệ 8 - Cánh diều
- Giải sgk Hoạt động trải nghiệm 8 - Cánh diều
- Giải sgk Âm nhạc 8 - Cánh diều


Giải bài tập SGK & SBT
Tài liệu giáo viên
Sách
Khóa học
Thi online
Hỏi đáp

