Bài tập về phép trừ phân thức đại số lớp 8 (cực hay, có đáp án)
Bài viết Bài tập về phép trừ phân thức đại số với phương pháp giải chi tiết giúp học sinh ôn tập, biết cách làm bài tập Bài tập về phép trừ phân thức đại số.
- Cách giải bài tập phép trừ phân thức đại số
- Ví dụ minh họa bài tập phép trừ phân thức đại số
- Bài tập vận dụng phép trừ phân thức đại số
- Bài tập tự luyện phép trừ phân thức đại số
Bài tập về phép trừ phân thức đại số lớp 8 (cực hay, có đáp án)
(199k) Xem Khóa học Toán 8 KNTTXem Khóa học Toán 8 CTSTXem Khóa học Toán 8 CD
A. Phương pháp giải
1) Phân thức đối:
- Hai phân thức được gọi là đối nhau nếu tổng của chúng bằng 0.
- Công thức:
2) Phép trừ:
- Quy tắc:
Muốn trừ phân thức cho phân thức
, ta cộng
với phân thức đối của
- Công thức:
B. Ví dụ minh họa
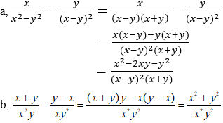
Ví dụ 1: Làm tính trừ các phân thức:
Lời giải:
Ví dụ 2: Làm tính trừ phân thức:
Lời giải:
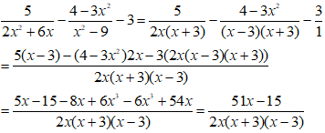
Ví dụ 3: Thực hiện phép tính sau:
Lời giải:
C. Bài tập vận dụng
Bài 1: Kết quả phép tính là
Lời giải:
Đáp án: A
Bài 2: Kết quả phép trừ bằng
Lời giải:
Đáp án: C
Bài 3: Trừ hai phân thức , ta được kết quả là:
Lời giải:
Đáp án: D
Bài 4: Biểu thức bằng
Lời giải:
Đáp án: B
MT1: 5x + 5 = 5(x + 1)
MT2: x – 1
MTC: 5(x + 1)(x – 1) = 5(x2 - 1)
Bài 5: Làm tính trừ các phân thức:
Lời giải:
Bài 6: Làm tính trừ các phân thức:
Lời giải:
Bài 7: Làm tính trừ các phân thức:
Lời giải:
Bài 8: Làm tính:
Lời giải:
Bài 9: Tính
Lời giải:
Bài 10: Thực hiện phép tính:
Lời giải:
D. Bài tập tự luyện
Bài 1. Thực hiện phép tính:
a)
b)
Bài 2. Thực hiện phép tính:
a)
b)
Bài 3. Thực hiện phép tính:
a)
b)
Bài 4. Thực hiện phép tính:
a)
b)
Bài 5. Thực hiện phép tính:
a)
b)
(199k) Xem Khóa học Toán 8 KNTTXem Khóa học Toán 8 CTSTXem Khóa học Toán 8 CD
Xem thêm các dạng bài tập Toán lớp 8 chọn lọc, có đáp án hay khác:
- Cách tìm mẫu thức chung cực hay, nhanh nhất
- Bài tập về phép cộng phân thức đại số cực hay, có đáp án
- Bài tập về phép nhân, phép chia phân thức đại số cực hay, có đáp án
- Cách rút gọn biểu thức hữu tỉ cực hay, có đáp án
Xem thêm các loạt bài Để học tốt Toán lớp 8 hay khác:
Tủ sách VIETJACK shopee lớp 6-8 (2025):
Đã có app VietJack trên điện thoại, giải bài tập SGK, SBT Soạn văn, Văn mẫu, Thi online, Bài giảng....miễn phí. Tải ngay ứng dụng trên Android và iOS.
Theo dõi chúng tôi miễn phí trên mạng xã hội facebook và youtube:Loạt bài Lý thuyết & 700 Bài tập Toán lớp 8 có lời giải chi tiết có đầy đủ Lý thuyết và các dạng bài có lời giải chi tiết được biên soạn bám sát nội dung chương trình sgk Đại số 8 và Hình học 8.
Nếu thấy hay, hãy động viên và chia sẻ nhé! Các bình luận không phù hợp với nội quy bình luận trang web sẽ bị cấm bình luận vĩnh viễn.
- Giải Tiếng Anh 8 Global Success
- Giải sgk Tiếng Anh 8 Smart World
- Giải sgk Tiếng Anh 8 Friends plus
- Lớp 8 - Kết nối tri thức
- Soạn văn 8 (hay nhất) - KNTT
- Soạn văn 8 (ngắn nhất) KNTT
- Giải sgk Toán 8 - KNTT
- Giải sgk Khoa học tự nhiên 8 - KNTT
- Giải sgk Lịch Sử 8 - KNTT
- Giải sgk Địa Lí 8 - KNTT
- Giải sgk Giáo dục công dân 8 - KNTT
- Giải sgk Tin học 8 - KNTT
- Giải sgk Công nghệ 8 - KNTT
- Giải sgk Hoạt động trải nghiệm 8 - KNTT
- Giải sgk Âm nhạc 8 - KNTT
- Lớp 8 - Chân trời sáng tạo
- Soạn văn 8 (hay nhất) - CTST
- Soạn văn 8 (ngắn nhất) - CTST
- Giải sgk Toán 8 - CTST
- Giải sgk Khoa học tự nhiên 8 - CTST
- Giải sgk Lịch Sử 8 - CTST
- Giải sgk Địa Lí 8 - CTST
- Giải sgk Giáo dục công dân 8 - CTST
- Giải sgk Tin học 8 - CTST
- Giải sgk Công nghệ 8 - CTST
- Giải sgk Hoạt động trải nghiệm 8 - CTST
- Giải sgk Âm nhạc 8 - CTST
- Lớp 8 - Cánh diều
- Soạn văn 8 Cánh diều (hay nhất)
- Soạn văn 8 Cánh diều (ngắn nhất)
- Giải sgk Toán 8 - Cánh diều
- Giải sgk Khoa học tự nhiên 8 - Cánh diều
- Giải sgk Lịch Sử 8 - Cánh diều
- Giải sgk Địa Lí 8 - Cánh diều
- Giải sgk Giáo dục công dân 8 - Cánh diều
- Giải sgk Tin học 8 - Cánh diều
- Giải sgk Công nghệ 8 - Cánh diều
- Giải sgk Hoạt động trải nghiệm 8 - Cánh diều
- Giải sgk Âm nhạc 8 - Cánh diều


Giải bài tập SGK & SBT
Tài liệu giáo viên
Sách
Khóa học
Thi online
Hỏi đáp

