Cách rút gọn biểu thức hữu tỉ lớp 8 (cực hay, có đáp án)
Bài viết Cách rút gọn biểu thức hữu tỉ với phương pháp giải chi tiết giúp học sinh ôn tập, biết cách làm bài tập Cách rút gọn biểu thức hữu tỉ.
- Cách giải bài tập rút gọn biểu thức hữu tỉ
- Ví dụ minh họa bài tập rút gọn biểu thức hữu tỉ
- Bài tập vận dụng rút gọn biểu thức hữu tỉ
Cách rút gọn biểu thức hữu tỉ lớp 8 (cực hay, có đáp án)
(199k) Xem Khóa học Toán 8 KNTTXem Khóa học Toán 8 CTSTXem Khóa học Toán 8 CD
A. Phương pháp giải
Sử dụng các quy tắc của các phép toán cộng, trừ, nhân, chia phân thức và tính chất cơ bản của phân thức để Rút gọn biểu thức.
B. Ví dụ minh họa
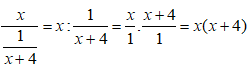
Ví dụ 1: Rút gọn biểu thức
Lời giải:
Ví dụ 2: Rút gọn biểu thức
Lời giải:
Ví dụ 3: Rút gọn biểu thức
Lời giải:
C. Bài tập vận dụng
Bài 1: Kết quả rút gọn biểu thức bằng
Lời giải:
Đáp án: C
Bài 2: Kết quả rút gọn biểu thức bằng
Lời giải:
Đáp án: A
Bài 3: Kết quả rút gọn biểu thức bằng
Lời giải:
Đáp án: B
Bài 4: Kết quả rút gọn biểu thức bằng
Lời giải:
Đáp án: B
Bài 5: Kết quả rút gọn biểu thức bằng
Lời giải:
Đáp án: B
Bài 6: Rút gọn biểu thức:
Lời giải:
Bài 7: Rút gọn biểu thức
Lời giải:
Bài 8: Rút gọn biểu thức
Lời giải:
Bài 9: Rút gọn biểu thức
Lời giải:
Bài 10: Rút gọn biểu thức
Lời giải:
(199k) Xem Khóa học Toán 8 KNTTXem Khóa học Toán 8 CTSTXem Khóa học Toán 8 CD
Xem thêm các dạng bài tập Toán lớp 8 chọn lọc, có đáp án hay khác:
- Cách tìm giá trị của biến x để phân thức có giá trị bằng cực hay, có đáp án
- Cách tìm giá trị của biến x để phân thức có giá trị nguyên cực hay, có đáp
- Tính giá trị của phân thức tại một giá trị của biến cực hay
- Tìm giá trị của phân thức khi biến thỏa mãn điều kiện cho trước
Xem thêm các loạt bài Để học tốt Toán lớp 8 hay khác:
Tủ sách VIETJACK shopee lớp 6-8 (2025):
Đã có app VietJack trên điện thoại, giải bài tập SGK, SBT Soạn văn, Văn mẫu, Thi online, Bài giảng....miễn phí. Tải ngay ứng dụng trên Android và iOS.
Theo dõi chúng tôi miễn phí trên mạng xã hội facebook và youtube:Loạt bài Lý thuyết & 700 Bài tập Toán lớp 8 có lời giải chi tiết có đầy đủ Lý thuyết và các dạng bài có lời giải chi tiết được biên soạn bám sát nội dung chương trình sgk Đại số 8 và Hình học 8.
Nếu thấy hay, hãy động viên và chia sẻ nhé! Các bình luận không phù hợp với nội quy bình luận trang web sẽ bị cấm bình luận vĩnh viễn.
- Giải Tiếng Anh 8 Global Success
- Giải sgk Tiếng Anh 8 Smart World
- Giải sgk Tiếng Anh 8 Friends plus
- Lớp 8 - Kết nối tri thức
- Soạn văn 8 (hay nhất) - KNTT
- Soạn văn 8 (ngắn nhất) KNTT
- Giải sgk Toán 8 - KNTT
- Giải sgk Khoa học tự nhiên 8 - KNTT
- Giải sgk Lịch Sử 8 - KNTT
- Giải sgk Địa Lí 8 - KNTT
- Giải sgk Giáo dục công dân 8 - KNTT
- Giải sgk Tin học 8 - KNTT
- Giải sgk Công nghệ 8 - KNTT
- Giải sgk Hoạt động trải nghiệm 8 - KNTT
- Giải sgk Âm nhạc 8 - KNTT
- Lớp 8 - Chân trời sáng tạo
- Soạn văn 8 (hay nhất) - CTST
- Soạn văn 8 (ngắn nhất) - CTST
- Giải sgk Toán 8 - CTST
- Giải sgk Khoa học tự nhiên 8 - CTST
- Giải sgk Lịch Sử 8 - CTST
- Giải sgk Địa Lí 8 - CTST
- Giải sgk Giáo dục công dân 8 - CTST
- Giải sgk Tin học 8 - CTST
- Giải sgk Công nghệ 8 - CTST
- Giải sgk Hoạt động trải nghiệm 8 - CTST
- Giải sgk Âm nhạc 8 - CTST
- Lớp 8 - Cánh diều
- Soạn văn 8 Cánh diều (hay nhất)
- Soạn văn 8 Cánh diều (ngắn nhất)
- Giải sgk Toán 8 - Cánh diều
- Giải sgk Khoa học tự nhiên 8 - Cánh diều
- Giải sgk Lịch Sử 8 - Cánh diều
- Giải sgk Địa Lí 8 - Cánh diều
- Giải sgk Giáo dục công dân 8 - Cánh diều
- Giải sgk Tin học 8 - Cánh diều
- Giải sgk Công nghệ 8 - Cánh diều
- Giải sgk Hoạt động trải nghiệm 8 - Cánh diều
- Giải sgk Âm nhạc 8 - Cánh diều


Giải bài tập SGK & SBT
Tài liệu giáo viên
Sách
Khóa học
Thi online
Hỏi đáp

