Tính giá trị của phân thức tại một giá trị của biến cực hay
Bài viết Tính giá trị của phân thức tại một giá trị của biến với phương pháp giải chi tiết giúp học sinh ôn tập, biết cách làm bài tập Tính giá trị của phân thức tại một giá trị của biến.
- Cách giải bài tập Tính giá trị của phân thức tại một giá trị của biến
- Ví dụ minh họa bài tập Tính giá trị của phân thức tại một giá trị của biến
- Bài tập vận dụng Tính giá trị của phân thức tại một giá trị của biến
Tính giá trị của phân thức tại một giá trị của biến cực hay
(199k) Xem Khóa học Toán 8 KNTTXem Khóa học Toán 8 CTSTXem Khóa học Toán 8 CD
A. Phương pháp giải
Khi tính giá trị của phân thức tại một giá trị của biến, trước hết phải tìm ĐK của biến để giá trị tương ứng của mẫu thức khác 0. Đó là điều kiện để giá trị của phân thức được xác định. Nếu tại giá trị của biến mà giá trị của một phân thức được xác định thì phân thức đã cho và phân thức rút gọn của nó có cùng một giá trị
B. Ví dụ minh họa
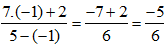
Ví dụ 1: Tính giá trị của biểu thức ;
Lời giải:
Điều kiện xác định của phân thức: x ≠ 0
Với thỏa mãn ĐKXĐ của biến nên thay
vào phân thức
ta được:
Ví dụ 2: Tính giá trị của biểu thức với x = 98
Lời giải: Điều kiện xác định của phân thức: x ≠ 0, x ≠ -2, x ≠ 2
Ta có x = 98 thỏa mãn ĐKXĐ của biến nên thay x = 98 vào phân thức ta được
Ví dụ 3: Tính giá trị của biểu thức ;
Lời giải:
Điều kiện xác định của phân thức: ax ≠ 0
Với thỏa mãn ĐKXĐ nên thay
vào biểu thức ta được:
C. Bài tập vận dụng
Bài 1: Giá trị của phân thức tại x = 1 là
A. 1
B. 1/2
C. 3/2
D. 3
Lời giải:
Đáp án: B
Thay x = 1 vào phân thức ta được
Bài 2: Giá trị của phân thức tại x = - 2 là
A. 6/7
B. 1/2
C. -2
D. -6/ 7
Lời giải:
Đáp án: A
Thay x = -2 vào phân thức ta được
Bài 3: Giá trị của phân thức tại x = -1 là
A. 6/5
B. 7/6
C. -5/6
D. -6/ 7
Lời giải:
Đáp án: C
Thay x = -1 vào phân thức ta được
Bài 4: Giá trị của phân thức tại x = -4; y = 2 là
A. 4
B. 2
C. -1/2
D. -2
Lời giải:
Đáp án: D
ĐKXĐ của phân thức x ≠ ±y
Giá trị x = -4; y = 2 thỏa mãn ĐKXĐ nên thay giá trị x = -4; y = 2 vào phân thức ta được:
Đáp án đúng là đáp án D
Bài 5: Giá trị của phân thức tại x = 1 là
A. 1/4
B. 2 /3
C. -1/2
D. -2/3
Lời giải:
Đáp án: A
ĐKXĐ
x = 1 thỏa mãn ĐKXĐ của phân thức nên thay giá trị x = 1 vào phân thức ta được:
Đáp án A là đáp án đúng
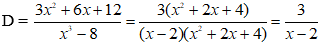
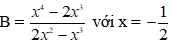
Bài 6: Tính giá trị của biểu thức ;
Lời giải:
Điều kiện xác định của phân thức: x ≠ 0, x ≠ 2
Ta có
Với x = - thỏa mãn điều kiện xác định của phân thức ⇒ B =
Bài 7: Tính giá trị của biểu thức
Lời giải:
Điều kiện xác định của phân thức: a ≠ 0, b ≠ 0 , b ≠ a/2
Với thỏa mãn điều kiện xác định của phân thức
Bài 8: Tính giá trị của biểu thức ;
Lời giải:
Điều kiện xác định của phân thức: x ≠ 2
Ta có
Với thỏa mãn điều kiện xác định của phân thức
Bài 9: Cho biểu thức . Chứng minh giá trị P = 10 với mọi x ≠ ±10
Lời giải:
Điều kiện xác định của phân thức: x ≠ -10, x ≠ 10
Vậy giá trị P =10 với mọi x ≠ ± 10
Bài 10: Tính giá trị của biểu thức với a = 0,1;
Lời giải:
Điều kiện xác định của phân thức: a ≠ 0, a ≠ -1
Với a = 0,1 thỏa mãn điều kiện xác định của phân thức
(199k) Xem Khóa học Toán 8 KNTTXem Khóa học Toán 8 CTSTXem Khóa học Toán 8 CD
Xem thêm các dạng bài tập Toán lớp 8 chọn lọc, có đáp án hay khác:
- Cách rút gọn biểu thức hữu tỉ cực hay, có đáp án
- Cách tìm giá trị của biến x để phân thức có giá trị bằng cực hay, có đáp án
- Cách tìm giá trị của biến x để phân thức có giá trị nguyên cực hay, có đáp
- Tìm giá trị của phân thức khi biến thỏa mãn điều kiện cho trước
Xem thêm các loạt bài Để học tốt Toán lớp 8 hay khác:
Tủ sách VIETJACK shopee lớp 6-8 (2025):
Đã có app VietJack trên điện thoại, giải bài tập SGK, SBT Soạn văn, Văn mẫu, Thi online, Bài giảng....miễn phí. Tải ngay ứng dụng trên Android và iOS.
Theo dõi chúng tôi miễn phí trên mạng xã hội facebook và youtube:Loạt bài Lý thuyết & 700 Bài tập Toán lớp 8 có lời giải chi tiết có đầy đủ Lý thuyết và các dạng bài có lời giải chi tiết được biên soạn bám sát nội dung chương trình sgk Đại số 8 và Hình học 8.
Nếu thấy hay, hãy động viên và chia sẻ nhé! Các bình luận không phù hợp với nội quy bình luận trang web sẽ bị cấm bình luận vĩnh viễn.
- Giải Tiếng Anh 8 Global Success
- Giải sgk Tiếng Anh 8 Smart World
- Giải sgk Tiếng Anh 8 Friends plus
- Lớp 8 - Kết nối tri thức
- Soạn văn 8 (hay nhất) - KNTT
- Soạn văn 8 (ngắn nhất) KNTT
- Giải sgk Toán 8 - KNTT
- Giải sgk Khoa học tự nhiên 8 - KNTT
- Giải sgk Lịch Sử 8 - KNTT
- Giải sgk Địa Lí 8 - KNTT
- Giải sgk Giáo dục công dân 8 - KNTT
- Giải sgk Tin học 8 - KNTT
- Giải sgk Công nghệ 8 - KNTT
- Giải sgk Hoạt động trải nghiệm 8 - KNTT
- Giải sgk Âm nhạc 8 - KNTT
- Lớp 8 - Chân trời sáng tạo
- Soạn văn 8 (hay nhất) - CTST
- Soạn văn 8 (ngắn nhất) - CTST
- Giải sgk Toán 8 - CTST
- Giải sgk Khoa học tự nhiên 8 - CTST
- Giải sgk Lịch Sử 8 - CTST
- Giải sgk Địa Lí 8 - CTST
- Giải sgk Giáo dục công dân 8 - CTST
- Giải sgk Tin học 8 - CTST
- Giải sgk Công nghệ 8 - CTST
- Giải sgk Hoạt động trải nghiệm 8 - CTST
- Giải sgk Âm nhạc 8 - CTST
- Lớp 8 - Cánh diều
- Soạn văn 8 Cánh diều (hay nhất)
- Soạn văn 8 Cánh diều (ngắn nhất)
- Giải sgk Toán 8 - Cánh diều
- Giải sgk Khoa học tự nhiên 8 - Cánh diều
- Giải sgk Lịch Sử 8 - Cánh diều
- Giải sgk Địa Lí 8 - Cánh diều
- Giải sgk Giáo dục công dân 8 - Cánh diều
- Giải sgk Tin học 8 - Cánh diều
- Giải sgk Công nghệ 8 - Cánh diều
- Giải sgk Hoạt động trải nghiệm 8 - Cánh diều
- Giải sgk Âm nhạc 8 - Cánh diều


Giải bài tập SGK & SBT
Tài liệu giáo viên
Sách
Khóa học
Thi online
Hỏi đáp

