Cách tìm giá trị của biến x để phân thức có giá trị bằng lớp 8 (cực hay, có đáp án)
Bài viết Cách tìm giá trị của biến x để phân thức có giá trị bằng với phương pháp giải chi tiết giúp học sinh ôn tập, biết cách làm bài tập Cách tìm giá trị của biến x để phân thức có giá trị bằng.
- Cách giải bài tập tìm giá trị của biến x để phân thức có giá trị bằng
- Ví dụ minh họa bài tập tìm giá trị của biến x để phân thức có giá trị bằng
- Bài tập vận dụng tìm giá trị của biến x để phân thức có giá trị bằng
Cách tìm giá trị của biến x để phân thức có giá trị bằng lớp 8 (cực hay, có đáp án)
(199k) Xem Khóa học Toán 8 KNTTXem Khóa học Toán 8 CTSTXem Khóa học Toán 8 CD
A. Phương pháp giải
Bước 1: Tìm điều kiện để phân thức có nghĩa
Bước 2: Vận dụng các tính chất của phân thức để khử dạng phân thức, đưa bài toán về dạng bài tìm x
Bước 3: Đối chiều giá trị của biến tìm được với điều kiện và trả lời
B. Ví dụ minh họa
Ví dụ 1: Với giá trị nào của x để phân thức có giá trị bằng 1
Lời giải:
Phân thức xác định khi 3x + 3 ≠ 0 ⇔ 3x ≠ - 3 ⇔ x ≠ -1
Ví dụ 2: Với giá trị nào của x để phân thức có giá trị bằng 0
Lời giải:
Điều kiện để phân thức xác định:
2x – x2 – 1 ≠ 0 ⇔ -(x - 1)2 ≠ 0 ⇔ x ≠ 1
= 0 ⇔ x - 2 = 0 ⇔ x = 2 (tm đk x ≠ 1)
Vậy với x = 2 thì phân thức có giá trị bằng 0
Ví dụ 3: Cho biểu thức . Tìm x để
Lời giải:
C. Bài tập vận dụng
Bài 1: Với giá trị nào của x để
A. 1
B. 2
C. - 5
D. -3
Lời giải:
Đáp án: C.
ĐKXĐ: x ≠ 3
Bài 2: Với giá trị nào của x để
A. 2
B. -2
C. 8
D. -8
Lời giải:
Đáp án: C
ĐKXĐ: x ≠ -4
Bài 3: Với giá trị nào của x để
A. 5
B. -5
C. 2
D. -2
Lời giải:
Đáp án: B.
ĐKXĐ: x ≠ - 2
Bài 4: Với giá trị nào của x để
A. 1
B. 2
C. -1/2
D. -3/2
Lời giải:
Đáp án: C
ĐKXĐ: x ≠ -1; x ≠ 0.
Ta có:
Bài 5: Với giá trị nào của x để
A. 7
B. 5
C. 3
D. -1
Lời giải:
Đáp án: A
ĐKXĐ: x ≠ 3; x ≠ 5.
Ta có:
Bài 6: Cho biểu thức . Tìm x để A = 0
Lời giải:
Điều kiện để A xác định: x2 – 10x + 9 ≠ 0 ⇔ (x - 1)(x - 9) ≠ 0 ⇔ x ≠ 1, x ≠ 9
Ta có:
Để A = 0 ⇔ ⇔ x - 4 = 0 ⇒ x = 4(tm đk)
Vậy với x = 4 thì A = 0
Bài 7: Cho biểu thức
Lời giải:
Điều kiện xác định 2x2 – x3 ≠ 0 ⇔ x2(2 – x)≠ 0 ⇔ x ≠ 0, x ≠ 2
Bài 8: Tìm giá trị của x để phân thức có giá trị bằng 2
Lời giải:
Điều kiện để phân thức có nghĩa: x3 – 2x2 ≠ 0 ⇔ x2(x -2) ≠ 0⇔ x ≠ 0, x ≠ 2
Ta có:
Để B = 2 ⇔ ⇔ 2x = x - 2 ⇔ x = -2 (tmđk x ≠ 0, x ≠ 2)
Vậy với x = -2 thì B = 2
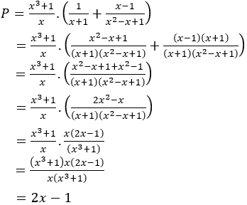
Bài 9: Cho biểu thức . Tìm x để P = 5
Lời giải:
Điều kiện xác định của P là x ≠ 0, x ≠ -1
Ta có:
⇒ P = 2x – 1 = 5 ⇔ 2x = 5+1 ⇔ x = 3 (tm đk x ≠ 0, x ≠ -1)
Vậy với x = 3 thì P = 5
Bài 10: Cho biểu thức . Tìm x để Q = 1
Lời giải:
Điều kiện xác định của Q là x ≠0 , x ≠ -5
Ta có:
(199k) Xem Khóa học Toán 8 KNTTXem Khóa học Toán 8 CTSTXem Khóa học Toán 8 CD
Xem thêm các dạng bài tập Toán lớp 8 chọn lọc, có đáp án hay khác:
- Cách rút gọn biểu thức hữu tỉ cực hay, có đáp án
- Cách tìm giá trị của biến x để phân thức có giá trị nguyên cực hay, có đáp
- Tính giá trị của phân thức tại một giá trị của biến cực hay
- Tìm giá trị của phân thức khi biến thỏa mãn điều kiện cho trước
Xem thêm các loạt bài Để học tốt Toán lớp 8 hay khác:
Tủ sách VIETJACK shopee lớp 6-8 (2025):
Đã có app VietJack trên điện thoại, giải bài tập SGK, SBT Soạn văn, Văn mẫu, Thi online, Bài giảng....miễn phí. Tải ngay ứng dụng trên Android và iOS.
Theo dõi chúng tôi miễn phí trên mạng xã hội facebook và youtube:Loạt bài Lý thuyết & 700 Bài tập Toán lớp 8 có lời giải chi tiết có đầy đủ Lý thuyết và các dạng bài có lời giải chi tiết được biên soạn bám sát nội dung chương trình sgk Đại số 8 và Hình học 8.
Nếu thấy hay, hãy động viên và chia sẻ nhé! Các bình luận không phù hợp với nội quy bình luận trang web sẽ bị cấm bình luận vĩnh viễn.
- Giải Tiếng Anh 8 Global Success
- Giải sgk Tiếng Anh 8 Smart World
- Giải sgk Tiếng Anh 8 Friends plus
- Lớp 8 - Kết nối tri thức
- Soạn văn 8 (hay nhất) - KNTT
- Soạn văn 8 (ngắn nhất) KNTT
- Giải sgk Toán 8 - KNTT
- Giải sgk Khoa học tự nhiên 8 - KNTT
- Giải sgk Lịch Sử 8 - KNTT
- Giải sgk Địa Lí 8 - KNTT
- Giải sgk Giáo dục công dân 8 - KNTT
- Giải sgk Tin học 8 - KNTT
- Giải sgk Công nghệ 8 - KNTT
- Giải sgk Hoạt động trải nghiệm 8 - KNTT
- Giải sgk Âm nhạc 8 - KNTT
- Lớp 8 - Chân trời sáng tạo
- Soạn văn 8 (hay nhất) - CTST
- Soạn văn 8 (ngắn nhất) - CTST
- Giải sgk Toán 8 - CTST
- Giải sgk Khoa học tự nhiên 8 - CTST
- Giải sgk Lịch Sử 8 - CTST
- Giải sgk Địa Lí 8 - CTST
- Giải sgk Giáo dục công dân 8 - CTST
- Giải sgk Tin học 8 - CTST
- Giải sgk Công nghệ 8 - CTST
- Giải sgk Hoạt động trải nghiệm 8 - CTST
- Giải sgk Âm nhạc 8 - CTST
- Lớp 8 - Cánh diều
- Soạn văn 8 Cánh diều (hay nhất)
- Soạn văn 8 Cánh diều (ngắn nhất)
- Giải sgk Toán 8 - Cánh diều
- Giải sgk Khoa học tự nhiên 8 - Cánh diều
- Giải sgk Lịch Sử 8 - Cánh diều
- Giải sgk Địa Lí 8 - Cánh diều
- Giải sgk Giáo dục công dân 8 - Cánh diều
- Giải sgk Tin học 8 - Cánh diều
- Giải sgk Công nghệ 8 - Cánh diều
- Giải sgk Hoạt động trải nghiệm 8 - Cánh diều
- Giải sgk Âm nhạc 8 - Cánh diều


Giải bài tập SGK & SBT
Tài liệu giáo viên
Sách
Khóa học
Thi online
Hỏi đáp

