Cách tìm giá trị của biến x để phân thức có giá trị nguyên cực hay, có đáp
Bài viết Cách tìm giá trị của biến x để phân thức có giá trị nguyên với phương pháp giải chi tiết giúp học sinh ôn tập, biết cách làm bài tập Cách tìm giá trị của biến x để phân thức có giá trị nguyên cực.
- Cách giải bài tập tìm giá trị của biến x để phân thức có giá trị nguyên
- Ví dụ minh họa bài tập tìm giá trị của biến x để phân thức có giá trị nguyên
- Bài tập vận dụng tìm giá trị của biến x để phân thức có giá trị nguyên
- Bài tập tự luyện tìm giá trị của biến x để phân thức có giá trị nguyên
Cách tìm giá trị của biến x để phân thức có giá trị nguyên cực hay, có đáp
(199k) Xem Khóa học Toán 8 KNTTXem Khóa học Toán 8 CTSTXem Khóa học Toán 8 CD
A. Phương pháp giải
Sử dụng kiến thức về ước và bội, dấu hiệu chia hết để biện luận giá trị biểu thức là số nguyên
B. Ví dụ minh họa
Ví dụ 1: Tìm giá trị nguyên của x để giá trị phân thức là nguyên
Lời giải:
Điều kiện xác định của phân thức: x ≠ 2
Để nguyên, x - 2 là ước của 3; Ta có Ư(3) = { 1; -1; 3;-3}
x – 2 = 1⇒ x = 3 (thỏa mãn điều kiện xác định);
x - 2 = -1 ⇒ x = 1 (thỏa mãn điều kiện xác định);
x – 2 = 3 ⇒ x = 5 (thỏa mãn điều kiện xác định);
x - 2 = -3 ⇒ x = -1 (thỏa mãn điều kiện xác định);
vậy với x ∈ { -1;1;3;5} thì có giá trị nguyên
Ví dụ 2: Tìm giá trị nguyên của x để giá trị phân thức là nguyên
Lời giải:
Điều kiện xác định của phân thức: x ≠ 1/2
Để nguyên, 2x - 1 là ước của 5; Ta có Ư(5) ={-1;1;-5;5}
2x – 1 = -1 ⇒ 2x = 0 ⇒ x = 0 (thỏa mãn điều kiện xác định);
2x - 1 = 1 ⇒ 2x = 2 ⇒ x = 1 (thỏa mãn điều kiện xác định);
2x – 1 = -5 ⇒ 2x = -4 ⇒ x = -2 (thỏa mãn điều kiện xác định);
2x – 1 = 5 ⇒ 2x = 6 ⇒ x = 3 (thỏa mãn điều kiện xác định);
Vậy với x ∈ { -2; 0; 1; 3} thì có giá trị nguyên.
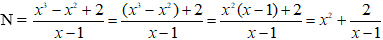
Ví dụ 3: Tìm số tự nhiên n để phân thức có giá trị là số nguyên
Lời giải:
Điều kiện xác định của phân thức: n ≠ 2
Ta có:
Vậy để N nguyên thì nguyên ⇒ n – 2 là ước của 5; Ư(5) = {-1;1;-5;5}
n - 2= -1 ⇒ n =1;
n – 2 = 1 ⇒ n =3;
n – 2 = -5 ⇒ n = - 3;
n – 2 = 5 ⇒ n = 7;
vì n ∈ N nên n = 1; n = 3; n = 7
Vậy với n ∈ { 1; 3; 7} thì có giá trị là số nguyên
C. Bài tập vận dụng
Bài 1: Giá trị nào sau đây của x để giá trị phân thức là nguyên
A. 1
B. 2
C. 3
D. 4
Lời giải:
Đáp án: B
Điều kiện xác định của phân thức: x ≠ -3
Để nguyên ⇒ x + 3 là ước của -5 hay x + 3 ∈ {-5;-1;1;5}
Với x + 3 = -5 ⇔ x = - 8 (thỏa mãn ĐKXĐ)
Với x + 3 = -1 ⇔ x = - 4 (thỏa mãn ĐKXĐ)
Với x + 3 = 1 ⇔ x = -2 (thỏa mãn ĐKXĐ)
Với x + 3 = 5 ⇔ x = 2 (thỏa mãn ĐKXĐ)
Vậy đáp án B là đáp án đúng
Bài 2: Giá trị nào sau đây của x để giá trị phân thức là nguyên
A. 1
B. -1
C. 2
D. -2
Lời giải:
Đáp án: D
Điều kiện xác định của phân thức: x ≠ -1
Để nguyên ⇒ x + 1 là ước của -1 hay x + 1 ∈ {-1;1}
Với x + 1 = -1 ⇔ x = - 2 (thỏa mãn ĐKXĐ)
Với x + 1 = 1 ⇔ x = 0 (thỏa mãn ĐKXĐ)
Vậy đáp án D là đáp án đúng
Bài 3: Giá trị nào sau đây của x để giá trị phân thức là nguyên
A. 4
B. -4
C. 7
D. 14
Lời giải:
Đáp án: C
ĐKXĐ: x ≠ 0
Để nguyên ⇒ x là ước của -7 hay x ∈ {-7;-1;1;7}
Với các giá trị x = {-7;-1;1;7} thì phân thức nhận giá trị nguyên
Vậy đáp án C là đáp án đúng
Bài 4: Giá trị nào sau đây của x để giá trị phân thức là nguyên
A. 3
B. 5
C. 7
D. 9
Lời giải:
Đáp án: A
ĐKXĐ: x ≠ -1/2
Để nguyên ⇒ 2x + 1 là ước của -7 hay 2x + 1 ∈ {-7;-1;1;7}
Với 2x + 1 = -7 ⇔ 2x = - 8 ⇔ x = -4 (thỏa mãn ĐKXĐ)
Với 2x + 1 = -1 ⇔ 2x = - 2 ⇔ x = -1 (thỏa mãn ĐKXĐ)
Với 2x + 1 = 1 ⇔ 2x = 0 ⇔ x = 0 (thỏa mãn ĐKXĐ)
Với 2x + 1 = 7 ⇔ 2x = 6⇔ x = 3 (thỏa mãn ĐKXĐ)
Vậy đáp án A là đáp án đúng
Bài 5: Giá trị nào sau đây của x để giá trị phân thức là nguyên
A. -1
B. 17
C. 0
D. 4
Lời giải:
Đáp án: C
ĐKXĐ: x ≠ -1/3
Để nguyên ⇒ 3x + 1 là ước của 9 hay 3x + 1 ∈ {-9;-3;-1;1;3;9}
Bài 6: Tìm giá trị nguyên của x để giá trị phân thức là nguyên
Lời giải:
Điều kiện xác định của phân thức: x ≠ -2
Để nguyên, x + 2 là ước của 1 ⇒ x + 2 = ± 1
x + 2 =1 ⇒ x = -1 (thỏa mãn điều kiện xác định);
x + 2 = -1 ⇒ x = -3 (thỏa mãn điều kiện xác định);
Vậy với x = -1, x = -3 thì giá trị phân thức là nguyên
Bài 7: Tìm giá trị nguyên của x để giá trị phân thức là nguyên
Lời giải:
Điều kiện xác định của phân thức: x ≠ -3/2
Để nguyên, 2x + 3 là ước của -1 ⇒ 2x + 3 = ± 1
2x + 3 =1 ⇒ 2x = -2 ⇒ x = -1 (thỏa mãn điều kiện xác định);
2x + 3 = -1 ⇒ 2x = -4 ⇒ x = -2 (thỏa mãn điều kiện xác định);
Vậy với x = -1, x = -2 thì giá trị phân thức là nguyên
Bài 8: Tìm giá trị nguyên của x để giá trị phân thức là nguyên
Lời giải:
Điều kiện xác định của phân thức: x ≠ 1
Ta có
Để N nguyên nguyên ⇒ x - 1 là ước của 2
Ư(2) = {1;-1;2;-2}
x – 1 = 1 ⇒ x =2 (thỏa mãn điều kiện xác định);
x - 1 = -1 ⇒ x = 0 (thỏa mãn điều kiện xác định);
x - 1 = 2 ⇒ x = 3 (thỏa mãn điều kiện xác định);
x - 1 = -2 ⇒ x = -1 (thỏa mãn điều kiện xác định);
Vậy với x ∈ { -1;0;2;3 } thì phân thức N nhận giá trị nguyên
Bài 9: Tìm giá trị nguyên của x để giá trị phân thức là nguyên
Lời giải:
Điều kiện xác định của phân thức: x ≠ 2
Ta có
Để M nguyên, x nhận giá trị nguyên và x - 2 là ước của 4
Ư(4) = {1; -1; 2; -2; 4; -4}
x - 2 = 1 ⇒ x = 3 (thỏa mãn điều kiện xác định);
x – 2 = -1 ⇒ x = 1 (thỏa mãn điều kiện xác định);
x – 2 = 2 ⇒ x = 4 (thỏa mãn điều kiện xác định);
x - 2 = -2 ⇒ x = 0 (thỏa mãn điều kiện xác định);
x – 2 = 4 ⇒ x = 6 (thỏa mãn điều kiện xác định);
x – 2 = -4 ⇒ x = -2 (thỏa mãn điều kiện xác định);
Vậy với x ∈ {-2; 0; 1; 3; 4; 6} thì giá trị phân thức là nguyên
Bài 10: Tìm giá trị nguyên của x để giá trị phân thức là nguyên
Lời giải:
Điều kiện xác định của phân thức: x ≠ 0, x ≠ 5
Ta có
Để P nhận giá trị nguyên thì nguyên. Hay x là ước của 5. Ta có Ư(5) = { 1;-1;5;-5}.
Vì điều kiện xác định của phân thức là x ≠ 0, x≠ 5
Vậy x ∈ { 1;-1;-5} thì giá trị phân thức là nguyên
D. Bài tập tự luyện
Bài 1. Tìm giá trị nguyên của x để biểu thức có giá trị nguyên.
Bài 2. Tìm giá trị nguyên của x để biểu thức có giá trị nguyên.
Bài 3. Tìm giá trị nguyên của x để biểu thức có giá trị nguyên.
Bài 4. Tìm giá trị nguyên của x để biểu thức có giá trị nguyên.
Bài 5. Tìm giá trị nguyên của x để biểu thức có giá trị nguyên.
(199k) Xem Khóa học Toán 8 KNTTXem Khóa học Toán 8 CTSTXem Khóa học Toán 8 CD
Xem thêm các dạng bài tập Toán lớp 8 chọn lọc, có đáp án hay khác:
- Cách rút gọn biểu thức hữu tỉ cực hay, có đáp án
- Cách tìm giá trị của biến x để phân thức có giá trị bằng cực hay, có đáp án
- Tính giá trị của phân thức tại một giá trị của biến cực hay
- Tìm giá trị của phân thức khi biến thỏa mãn điều kiện cho trước
Xem thêm các loạt bài Để học tốt Toán lớp 8 hay khác:
Tủ sách VIETJACK shopee lớp 6-8 (2025):
Đã có app VietJack trên điện thoại, giải bài tập SGK, SBT Soạn văn, Văn mẫu, Thi online, Bài giảng....miễn phí. Tải ngay ứng dụng trên Android và iOS.
Theo dõi chúng tôi miễn phí trên mạng xã hội facebook và youtube:Loạt bài Lý thuyết & 700 Bài tập Toán lớp 8 có lời giải chi tiết có đầy đủ Lý thuyết và các dạng bài có lời giải chi tiết được biên soạn bám sát nội dung chương trình sgk Đại số 8 và Hình học 8.
Nếu thấy hay, hãy động viên và chia sẻ nhé! Các bình luận không phù hợp với nội quy bình luận trang web sẽ bị cấm bình luận vĩnh viễn.
- Giải Tiếng Anh 8 Global Success
- Giải sgk Tiếng Anh 8 Smart World
- Giải sgk Tiếng Anh 8 Friends plus
- Lớp 8 - Kết nối tri thức
- Soạn văn 8 (hay nhất) - KNTT
- Soạn văn 8 (ngắn nhất) KNTT
- Giải sgk Toán 8 - KNTT
- Giải sgk Khoa học tự nhiên 8 - KNTT
- Giải sgk Lịch Sử 8 - KNTT
- Giải sgk Địa Lí 8 - KNTT
- Giải sgk Giáo dục công dân 8 - KNTT
- Giải sgk Tin học 8 - KNTT
- Giải sgk Công nghệ 8 - KNTT
- Giải sgk Hoạt động trải nghiệm 8 - KNTT
- Giải sgk Âm nhạc 8 - KNTT
- Lớp 8 - Chân trời sáng tạo
- Soạn văn 8 (hay nhất) - CTST
- Soạn văn 8 (ngắn nhất) - CTST
- Giải sgk Toán 8 - CTST
- Giải sgk Khoa học tự nhiên 8 - CTST
- Giải sgk Lịch Sử 8 - CTST
- Giải sgk Địa Lí 8 - CTST
- Giải sgk Giáo dục công dân 8 - CTST
- Giải sgk Tin học 8 - CTST
- Giải sgk Công nghệ 8 - CTST
- Giải sgk Hoạt động trải nghiệm 8 - CTST
- Giải sgk Âm nhạc 8 - CTST
- Lớp 8 - Cánh diều
- Soạn văn 8 Cánh diều (hay nhất)
- Soạn văn 8 Cánh diều (ngắn nhất)
- Giải sgk Toán 8 - Cánh diều
- Giải sgk Khoa học tự nhiên 8 - Cánh diều
- Giải sgk Lịch Sử 8 - Cánh diều
- Giải sgk Địa Lí 8 - Cánh diều
- Giải sgk Giáo dục công dân 8 - Cánh diều
- Giải sgk Tin học 8 - Cánh diều
- Giải sgk Công nghệ 8 - Cánh diều
- Giải sgk Hoạt động trải nghiệm 8 - Cánh diều
- Giải sgk Âm nhạc 8 - Cánh diều


Giải bài tập SGK & SBT
Tài liệu giáo viên
Sách
Khóa học
Thi online
Hỏi đáp

