Cách chia đa thức một biến đã sắp xếp (cực hay, có lời giải)
Bài viết Cách chia đa thức một biến đã sắp xếp với phương pháp giải chi tiết giúp học sinh ôn tập, biết cách làm bài tập Cách chia đa thức một biến đã sắp xếp cực.
Cách chia đa thức một biến đã sắp xếp (cực hay, có lời giải)
(199k) Xem Khóa học Toán 8 KNTTXem Khóa học Toán 8 CTSTXem Khóa học Toán 8 CD
A. Phương pháp giải
Định nghĩa: Với A là đa thức và B là đơn thức, B ≠ 0. Ta nói A chia hết cho B nếu tìm được một biểu thức Q (Q có thể là đa thức hoặc đơn thức) sao cho A = B.Q.
Trong đó:
. A là đa thức bị chia.
. B là đơn thức chia.
. Q là thương .
Kí hiệu: Q = A : B hoặc
Quy tắc: Muốn chia đa thức A cho đơn thức B (trường hợp các hạng tử của đa thức A đều chia hết cho đơn thức B), ta chia mỗi hạng tử của A cho B rồi cộng các kết quả với nhau.
Chú ý: Trường hợp đa thức A có thể phân tích thành nhân tử, thường ta phân tích trước để rút gọn cho nhanh.
B. Ví dụ minh họa
Ví dụ 1: Thực hiện phép tính (12x4y3 + 8x3y2 - 4xy2) : 2xy
A. 6x3y2 + 4x2y - 2y
B. 6x2y2 + 4x2y - 2xy
C. 6x2y2 + 4x2y - 2xy2
D. Đáp án khác
Lời giải
(12x4y3 + 8x3y2 - 4xy2):2x = (12x4y3 : 2xy) + (8x3y2 : 2xy) - (4xy2 : 2xy)
= 6x4-1.y3-1 + 4x3-1.y2-1 - 2x1-1.y2-1 = 6x3y2 + 4x2y - 2y
Chọn A.
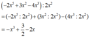
Ví dụ 2. Thực hiện phép tính (-2x5 + 6x2 - 4x3):2x2
A. – x3 + 2x – 3 B. x3- 2x- 3 C. - x3 – 2x + 3 D. - x2 + 2x - 3
Lời giải
(-2x5 + 6x2 - 4x30) : 2x2 = (-2x5 : 2x2) + (6x2 : 2x2) - (4x3 : 2x2)
= -x5-2 + 3x2-2 - 2x3-2 = -x3 + 3 - 2x
Chọn C.
Ví dụ 3. Thực hiện phép tính (-8x5 + 12x3 - 16x2) : 4x2
A. – 2x3 + 3x – 4 B. 2x2 + 3x + 4x C. 2x3 + 3x + 4 D. Đáp án khác
Lời giải
(-8x5 + 12x3 - 16x2) : 4x2
= (-8x5 : 4x2) + (12x3 : 4x2) + (-16x2 : 4x2)
= -2x3 + 3x - 4
Chọn A.
Ví dụ 4. Thực hiện phép tính
A. -2x4 + 6x2 - 4x B. -2x4 - 6x2 - 4 C. 2x4 - 6x2 - 4x D. Đáp án khác
Lời giải
C. Bài tập trắc nghiệm
Câu 1. Thực hiện phép tính (-2x5 + 3x2 - 4x3) : 2x2
Lời giải:
Chọn B.
Câu 2. Thực hiện phép tính
Lời giải:
Chọn C.
Câu 3. Thực hiện phép tính
A. -2x2 - 4xy - 6y B. -2x2 + 4y + 3y2 C. 2x2 + 4y - 6y2 D. -2x2 + 4xy - 6y2
Lời giải:
Chọn D.
Câu 4. Thực hiện phép tính (12x3y3 - 18x2y + 9xy2):6xy
Lời giải:
Chọn A.
Câu 5. Thực hiện phép tính (-8x7y3 + 12x4y - 4x3y) : 8x3y
Lời giải:
Chọn C
Câu 6. Thực hiện phép tính (15x3y3 - 10x2y3 + 25x2y2):5x2y2
A. 3xy + 2y + 5
B. 3xy – 2y + 5
C. 3xy + 2x + 5
D. 3xy – 2x + 5
Lời giải:
(15x3y3 - 10x2y3 + 25x2y2):5x2y2
= (15x3y3 : 5x2y2) - (10x2y3 : 5x2y2) + (25x2y2 : 5x2y2)
= 3xy - 2y + 5
Chọn B.
Câu 7. Thực hiện phép chia: (2x4y - 6x2y7 + 4x5) : 2x2
A. x2y - 3y7 + 2x3
B. x2y - 3xy7 + 2x3
C. 4x2y - 6y7 + 4x3
D. Đáp án khác
Lời giải:
(2x4y - 6x2y7 + 4x5):2x2
= 2x4y : 2x2 - 6x2y7 : 2x2 + 4x5 : 2x2
= x2y - 3y7 + 2x3
Chọn A.
Câu 8. Tính giá trị biểu thức A = (4x2y3z + 2x3y2z2 - x2y2) : x2y2 tại x = -2; y = 102; z= 102
A. 1029 B. -1028 C. 30 D. -1
Lời giải:
A = (4x2y3z + 2x3y2z2 - x2y2) : x2y2
= 4x2y3z : x2y2 + 2x3y2z2 : x2y2 - x2y2 : x2y2
= 4yz + 2xz2 - 1
Giá trị biểu thức tại x = -2; y = 102; z= 102 là:
A = 4.1020.102 + 2.(-2).1022 - 1
= 4.1022 - 4.1022 - 1 = -1
Chọn D.
Câu 9. Làm tính chia: (2x2z5 - y3z3 + 4z6) : z3
A. 2x2z2 – y3 + 4z3
B. 2x2z2 – y3z + 4z3
C. 2x2z2 – y3 + 4z3 + 1
D.Đáp án khác
Lời giải:
(2x2z5 - y3z3 + 4z6) : z3
= 2x2z5 : z3 - y3z3 : z3 + 4z6 : z3
= 2x2z2 – y3 + 4z3
Chọn A.
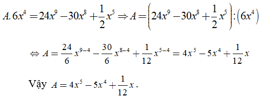
Câu 10. Tìm đa thức A biết :
Lời giải:
Chọn A.
Câu 11. Tìm đa thức A biết:
A. A = -2x3y - 3x2y + 4
B. A = -2x3y2 - 3x2y + 4
C. A = -2x2y2 - 3xy + 4
D. Đáp án khác
Lời giải:
Vậy A = -2x3y2 - 3x2y + 4.
Chọn B
(199k) Xem Khóa học Toán 8 KNTTXem Khóa học Toán 8 CTSTXem Khóa học Toán 8 CD
Xem thêm các dạng bài tập Toán lớp 8 chọn lọc, có đáp án hay khác:
- Cách chia đa thức một biến đã sắp xếp (cực hay, có lời giải)
- Cách chứng minh đa thức chia hết cho đơn thức, đa thức
- Cách tìm n để biểu thức có giá trị nguyên cực hay
- Cách nhân đơn thức với đa thức (cực hay, có lời giải)
- Cách nhân đa thức với đa thức (cực hay, có lời giải)
Xem thêm các loạt bài Để học tốt Toán lớp 8 hay khác:
Tủ sách VIETJACK shopee lớp 6-8 (2025):
Đã có app VietJack trên điện thoại, giải bài tập SGK, SBT Soạn văn, Văn mẫu, Thi online, Bài giảng....miễn phí. Tải ngay ứng dụng trên Android và iOS.
Theo dõi chúng tôi miễn phí trên mạng xã hội facebook và youtube:Loạt bài Lý thuyết & 700 Bài tập Toán lớp 8 có lời giải chi tiết có đầy đủ Lý thuyết và các dạng bài có lời giải chi tiết được biên soạn bám sát nội dung chương trình sgk Đại số 8 và Hình học 8.
Nếu thấy hay, hãy động viên và chia sẻ nhé! Các bình luận không phù hợp với nội quy bình luận trang web sẽ bị cấm bình luận vĩnh viễn.
- Giải Tiếng Anh 8 Global Success
- Giải sgk Tiếng Anh 8 Smart World
- Giải sgk Tiếng Anh 8 Friends plus
- Lớp 8 - Kết nối tri thức
- Soạn văn 8 (hay nhất) - KNTT
- Soạn văn 8 (ngắn nhất) KNTT
- Giải sgk Toán 8 - KNTT
- Giải sgk Khoa học tự nhiên 8 - KNTT
- Giải sgk Lịch Sử 8 - KNTT
- Giải sgk Địa Lí 8 - KNTT
- Giải sgk Giáo dục công dân 8 - KNTT
- Giải sgk Tin học 8 - KNTT
- Giải sgk Công nghệ 8 - KNTT
- Giải sgk Hoạt động trải nghiệm 8 - KNTT
- Giải sgk Âm nhạc 8 - KNTT
- Lớp 8 - Chân trời sáng tạo
- Soạn văn 8 (hay nhất) - CTST
- Soạn văn 8 (ngắn nhất) - CTST
- Giải sgk Toán 8 - CTST
- Giải sgk Khoa học tự nhiên 8 - CTST
- Giải sgk Lịch Sử 8 - CTST
- Giải sgk Địa Lí 8 - CTST
- Giải sgk Giáo dục công dân 8 - CTST
- Giải sgk Tin học 8 - CTST
- Giải sgk Công nghệ 8 - CTST
- Giải sgk Hoạt động trải nghiệm 8 - CTST
- Giải sgk Âm nhạc 8 - CTST
- Lớp 8 - Cánh diều
- Soạn văn 8 Cánh diều (hay nhất)
- Soạn văn 8 Cánh diều (ngắn nhất)
- Giải sgk Toán 8 - Cánh diều
- Giải sgk Khoa học tự nhiên 8 - Cánh diều
- Giải sgk Lịch Sử 8 - Cánh diều
- Giải sgk Địa Lí 8 - Cánh diều
- Giải sgk Giáo dục công dân 8 - Cánh diều
- Giải sgk Tin học 8 - Cánh diều
- Giải sgk Công nghệ 8 - Cánh diều
- Giải sgk Hoạt động trải nghiệm 8 - Cánh diều
- Giải sgk Âm nhạc 8 - Cánh diều


Giải bài tập SGK & SBT
Tài liệu giáo viên
Sách
Khóa học
Thi online
Hỏi đáp

