Top 24 Bài tập Phân thức đại số (có lời giải)
Với bài tập Phân thức đại số lớp 8 có lời giải chi tiết sẽ giúp học sinh ôn tập, biết cách làm bài tập Phân thức đại số.
Top 24 Bài tập Phân thức đại số (có lời giải)
(199k) Học Toán 8 KNTTHọc Toán 8 CTSTHọc Toán 8 CD
Bài 1: Phân thức xác định khi
A. x ≠ 0
B. x ≠ - 2
C. x ≠ -2; x ≠ 0
D. x ≠ 3; x ≠ -2; x ≠ 0
Lời giải
ĐK: 3x2 + 6x ≠ 0 ⇔ 3x(x + 2) ≠ 0 ⇔
Đáp án cần chọn là: C
Bài 2: Đa thức thích hợp để điền vào chỗ trống trong đẳng thức là:
A. 3x(x – 2)
B. x – 2
C. 3x2(x – 2)
D. 3x(x – 2)2
Lời giải
Vậy đa thức cần tìm là 3x(x – 2)
Đáp án cần chọn là: A
Bài 3: Đa thức P trong đẳng thức là
A. P = x + y
B. P = 5(x – y)
C. P = 5(y – x)
D. P = x
Lời giải
Ta có:
Đáp án cần chọn là: D
Bài 4: Kết quả của phép tính là
Lời giải
Đáp án cần chọn là: C
Bài 5: Thực hiện phép tính sau:
A. -x
B. 2x
C. x/2
D. x
Lời giải
Ta có:
Đáp án cần chọn là: D
Bài 6: Thực hiện phép tính sau , ta được kết quả là:
Lời giải
Đáp án cần chọn là: D
Bài 7: Điền vào chỗ trống:
Lời giải
Gọi phân thức cần điền là P, khi đó
Đáp án cần chọn là: C
Bài 8: Kết quả của phép tính là:
Lời giải
Ta có:
Đáp án cần chọn là: A
Bài 9: Rút gọn biểu thức ta được
Lời giải
Đáp án cần chọn là: C
Bài 10: Chọn câu đúng
Lời giải
ĐK: x ≠ 1
Đáp án cần chọn là: A
Bài 11: Tìm P biết P +
Lời giải
ĐK x ≠ {-2; 2; 3}
Đáp án cần chọn là: B
Bài 12: Thực hiện phép tính ta được
Lời giải
Đáp án cần chọn là: D
Bài 13: Rút gọn biểu thức ta được
Lời giải
Đáp án cần chọn là: B
Bài 14: Biểu thức có kết quả rút gọn là:
Lời giải
Đáp án cần chọn là: D
Bài 15: Tìm biểu thức Q biết:
Lời giải
Đáp án cần chọn là: D
Bài 16: Tìm x, biết:
A. x = -6
B. x = -5
C. x = -7
D. không có x thỏa mãn
Lời giải
Điều kiện x ≠ {0; -1; -2; -3; -4; -5; -6}
Vậy phương trình vô nghiệm
Đáp án cần chọn là: D
Bài 17: Thực hiện phép tính ta được kết quả là
Lời giải
Đáp án cần chọn là: D
Bài 18: Tìm biểu thức M, biết
A. M = -5x(x – 2y)
B. M = 5x(x – 2y)
C. M = x(x – 2y)
D. M = 5x(x + 2y)
Lời giải
Đáp án cần chọn là: B
Bài 19: Thực hiện phép tính sau , ta được kết quả là
Lời giải
Đáp án cần chọn là: A
Bài 20: Thực hiện phép tính
Lời giải
Đáp án cần chọn là: D
Bài 21: Cho
Rút gọn Q ta được
Lời giải
Đáp án cần chọn là: D
Bài 22: Cho biểu thức
a) Rút gọn P ta được
Lời giải
Đáp án cần chọn là: C
b) Tính P khi x = -1
Lời giải
Đáp án cần chọn là: C
c) Tìm x Є Z để P + 1 Є Z
A. x Є {-25; -5; -3}
B. x Є {-25; -5; -3; 15}
C. x Є {-5; -3; 15}
D. x Є {-1;-19;1;19}
Lời giải
Theo câu trước ta có
x Є Z để P + 1 Є Z ⇒ (x + 4) Є Ư(19) = {±1; ±19}
Vậy x Є {-25; -5; -3; 15} thì P + 1 Є Z
Đáp án cần chọn là: B
Bài 23: Cho x; y; z ≠ 0 thỏa mãn x + y + z = 0. Chọn câu đúng về biểu thức
A. A < -2
B. 0 < A < 1
C. A > 0
D. A < -1
Lời giải
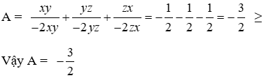
Từ x + y + z = 0 ⇒ x + y = -z ⇒ x2 + 2xy + y2 = z2 ⇒ x2 + y2 – z2 = -2xy
Tương tự ta có:
Do đó:
Suy ra A < - 1
Đáp án cần chọn là: D
Bài 24: Giá trị lớn nhất của phân thức là
A. 5
B. -5
C. 2
D. -2
Lời giải
Vậy GTLN của phân thức là 5.
Dấu "=" xảy ra khi (x – 3)2 = 0 hay x = 3
Đáp án cần chọn là: A
(199k) Học Toán 8 KNTTHọc Toán 8 CTSTHọc Toán 8 CD
Xem thêm các bài tập trắc nghiệm Toán lớp 8 có đáp án chi tiết hay khác:
- Trắc nghiệm Phép cộng các phân thức đại số
- Trắc nghiệm Phép nhân các phân thức đại số
- Trắc nghiệm Biến đổi các biểu thức hữu tỉ. Giá trị của phân thức
- Top 24 Bài tập Phân thức đại số (có lời giải)
Xem thêm các loạt bài Để học tốt Toán lớp 8 hay khác:
Tủ sách VIETJACK shopee lớp 6-8 (2025):
Đã có app VietJack trên điện thoại, giải bài tập SGK, SBT Soạn văn, Văn mẫu, Thi online, Bài giảng....miễn phí. Tải ngay ứng dụng trên Android và iOS.
Theo dõi chúng tôi miễn phí trên mạng xã hội facebook và youtube:Loạt bài Lý thuyết & 700 Bài tập Toán lớp 8 có lời giải chi tiết có đầy đủ Lý thuyết và các dạng bài có lời giải chi tiết được biên soạn bám sát nội dung chương trình sgk Đại số 8 và Hình học 8.
Nếu thấy hay, hãy động viên và chia sẻ nhé! Các bình luận không phù hợp với nội quy bình luận trang web sẽ bị cấm bình luận vĩnh viễn.
- Giải Tiếng Anh 8 Global Success
- Giải sgk Tiếng Anh 8 Smart World
- Giải sgk Tiếng Anh 8 Friends plus
- Lớp 8 - Kết nối tri thức
- Soạn văn 8 (hay nhất) - KNTT
- Soạn văn 8 (ngắn nhất) KNTT
- Giải sgk Toán 8 - KNTT
- Giải sgk Khoa học tự nhiên 8 - KNTT
- Giải sgk Lịch Sử 8 - KNTT
- Giải sgk Địa Lí 8 - KNTT
- Giải sgk Giáo dục công dân 8 - KNTT
- Giải sgk Tin học 8 - KNTT
- Giải sgk Công nghệ 8 - KNTT
- Giải sgk Hoạt động trải nghiệm 8 - KNTT
- Giải sgk Âm nhạc 8 - KNTT
- Lớp 8 - Chân trời sáng tạo
- Soạn văn 8 (hay nhất) - CTST
- Soạn văn 8 (ngắn nhất) - CTST
- Giải sgk Toán 8 - CTST
- Giải sgk Khoa học tự nhiên 8 - CTST
- Giải sgk Lịch Sử 8 - CTST
- Giải sgk Địa Lí 8 - CTST
- Giải sgk Giáo dục công dân 8 - CTST
- Giải sgk Tin học 8 - CTST
- Giải sgk Công nghệ 8 - CTST
- Giải sgk Hoạt động trải nghiệm 8 - CTST
- Giải sgk Âm nhạc 8 - CTST
- Lớp 8 - Cánh diều
- Soạn văn 8 Cánh diều (hay nhất)
- Soạn văn 8 Cánh diều (ngắn nhất)
- Giải sgk Toán 8 - Cánh diều
- Giải sgk Khoa học tự nhiên 8 - Cánh diều
- Giải sgk Lịch Sử 8 - Cánh diều
- Giải sgk Địa Lí 8 - Cánh diều
- Giải sgk Giáo dục công dân 8 - Cánh diều
- Giải sgk Tin học 8 - Cánh diều
- Giải sgk Công nghệ 8 - Cánh diều
- Giải sgk Hoạt động trải nghiệm 8 - Cánh diều
- Giải sgk Âm nhạc 8 - Cánh diều


Giải bài tập SGK & SBT
Tài liệu giáo viên
Sách
Khóa học
Thi online
Hỏi đáp

